Видеокамеры JVC GZ-MS125 - инструкция пользователя по применению, эксплуатации и установке на русском языке. Мы надеемся, она поможет вам решить возникшие у вас вопросы при эксплуатации техники.
Если остались вопросы, задайте их в комментариях после инструкции.
"Загружаем инструкцию", означает, что нужно подождать пока файл загрузится и можно будет его читать онлайн. Некоторые инструкции очень большие и время их появления зависит от вашей скорости интернета.

Р
УССКИЙ
до
По
ЛНИТ
еЛЬН
аЯ
ИНФ
оР
ма
ЦИЯ
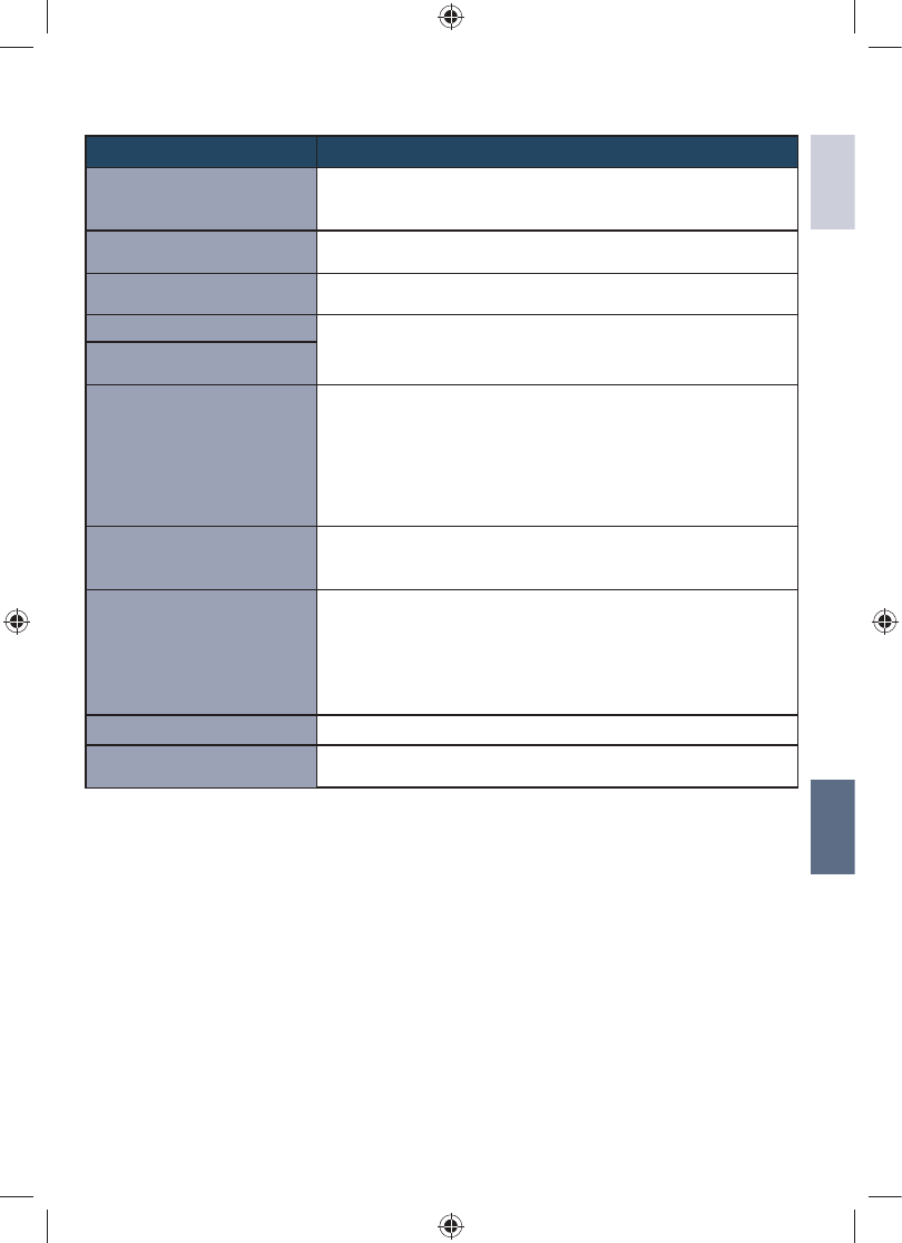
Индикация
действие
УСТаНов. даТУ/вРемЯ!
•
Установите часы. Если сообщение появляется и после
установки часов, это означает, что батарея для часов
разрядилась. Обратитесь к ближайшему дилеру JVC.
оШИБКа оБмеНа
даННымИ
•
Убедитесь, чтовыиспользуетеаккумуляторныеблокиJVC.
Не оТФоРмаТИРоваНо
•
Выберите [OK] и затем для выполнения форматирования
выберите [ДА].
оШИБКа ФоРмаТа!
•
Проверьте порядок проведения операции и затем выполните
ее еще раз.
•
Выключите видеокамеру и вновь включите ее.
оШИБКа УдаЛеНИЯ
даННыХ
оШИБКа КаРТы ПамЯТИ!
•
Выключите видеокамеру и вновь включите ее.
•
Извлеките и вновь вставьте SD-карту. (Использование
карты MultiMediaCard невозможно.)
•
Удалите загрязнения с контактов SD-карты.
•
Вставьте SD-карту перед включением питания.
•
Если проблему не удается устранить, выполните резервное
копирование всех данных и затем форматирование. (При
этом все данные будут удалены).
в НаСТоЯЩее вРемЯ
НеЛЬЗЯ СдеЛаТЬ
БоЛЬШе СНИмКов
•
Остановите запись видео и затем запишите неподвижный
кадр. (Если SD-карта извлечена или вставлена во время
записи видео, запись неподвижного кадра невозможна.)
ЗаПИСЬ оТмеНеНа
•
Вставьте новую или отформатированную SD-карту.
Установите настройку [ВЫБОР ЯЧЕЙКИ ВИДЕО] на другой
слот, затем выполните запись на SD-карту, находящуюся в
[ЯЧЕЙКА A] или [ЯЧЕЙКА B].
•
Выключите видеокамеру и вновь включите ее.
•
Не следует допускать воздействия на видеокамеру
вибрации и ударов.
оШИБКа ЗаПИСИ
•
Выключите видеокамеру и вновь включите ее.
ИCПоЛЬЗУЙТе СеТевоЙ
адаПТеР
•
Используйте адаптер АС в качестве источника питания.
Предупреждающая индикация
GZ-MS125ER_GB_RU.indb 63
1/3/2009 5:57:06 PM











