Весы Cas CI-6000A1 - инструкция пользователя по применению, эксплуатации и установке на русском языке. Мы надеемся, она поможет вам решить возникшие у вас вопросы при эксплуатации техники.
Если остались вопросы, задайте их в комментариях после инструкции.
"Загружаем инструкцию", означает, что нужно подождать пока файл загрузится и можно будет его читать онлайн. Некоторые инструкции очень большие и время их появления зависит от вашей скорости интернета.

23
АВТОМАТИЧЕСКОЕ
ДОЗИРОВАНИЕ
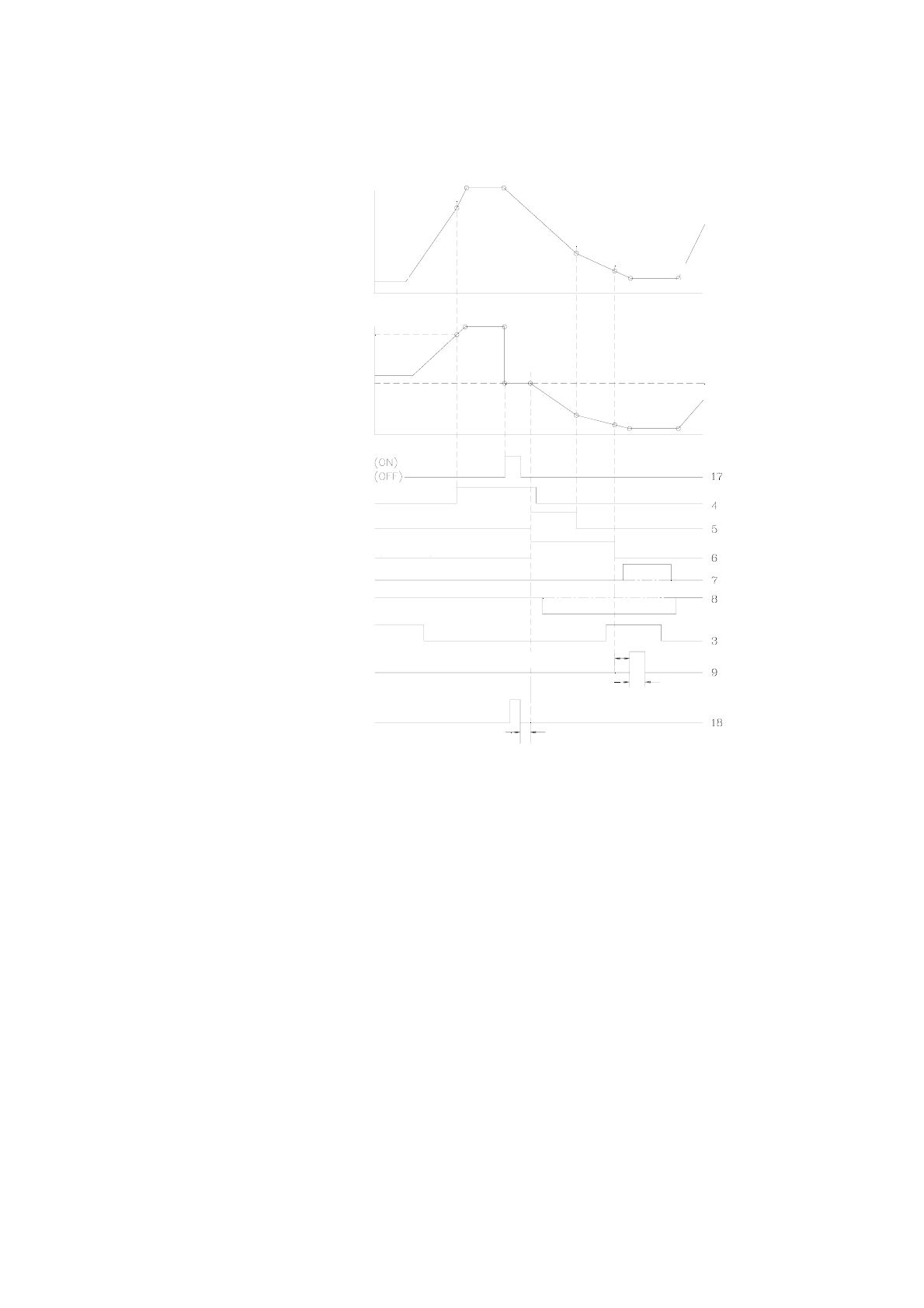
Типовая
временная
диаграмма
имеет
вид
❏
Дополнительная
уставка
–
сигнал
появляется
,
когда
вес
брутто
превысит
заданное
зна
-
чение
(
Дополнительная
уставка
)
и
снимается
,
когда
вес
брутто
меньше
окончательного
веса
.
❏
Нажмите
клавишу
ТАРА
;
на
дисплее
будет
показан
вес
нетто
0
кг
.
❏
При
нажатии
клавиши
START
срабатывают
сигналы
«
Дополнительная
уставка
»,
«
Уставка
»
и
«
Окончательный
вес
».
❏
Уставка
–
сигнал
снимается
,
когда
вес
нетто
превысит
заданное
значение
(
Око
-
нчательный
вес
-
Уставка
).
❏
Окончательный
вес
–
сигнал
снимается
,
когда
вес
нетто
превысит
заданное
значение
(
Окончательный
вес
–
Свободный
столб
).
❏
Верхний
предел
–
сигнал
появляется
,
когда
вес
нетто
превысит
заданное
значение
(
Окончательный
вес
+
Верхний
предел
)
после
появления
сигнала
Окончательного
веса
.
❏
Нижний
предел
–
сигнал
появляется
,
когда
вес
нетто
превысит
заданное
значение
(
Окончательный
вес
-
Нижний
предел
)
после
появления
сигнала
Окончательного
веса
.
❏
Завершение
цикла
–
сигнал
появляется
после
успокоения
показаний
спустя
заданную
временную
задержку
(F21)
и
снмается
после
временной
задержки
(
функция
F19)
или
в
со
-
ответствии
с
диапазоном
сигнала
«
Завершение
цикла
» (
функция
F22).
❏
Нулевая
полоса
–
сигнал
появляется
,
когда
вес
брутто
меньше
заданного
значения
(
Ну
-
левая
полоса
).
❏
Передача
данных
происходит
после
сигнала
Окончательного
веса
.
❏
Выполните
подготовку
к
следующему
циклу
дозирования
.
Фактическая
масса
Дисплей
Тара
/
Нуль
(Tare/Zero)
Уставка
(2-
ая
ступень
) (Preliminary)
Дополнительная
уставка
(1-
ая
ступень
) (Optional Preliminary)
Окончательный
вес
(3-
я
ступень
) (Fall)
Перегрузка
(Over)
Недогрузка
(Under)
Уровень
нуля
(Zero Band)
Завершение
цикла
(Finish)
Сигнал
«
Старт
» (Start)
Пусто
Дополнитель
-
ная
уставка
Дополнитель
-
ная
уставка
Уставка
Свободный
столб
Окончательный
вес
Старт
№
контакта
Временная
задержка
перед
сигналом
(
функция
F21)
Продолжительность
сигнала
(
функция
F19)
Диапазон
отключения
сигнала
(
функция
F22)
Задержка
появления
сигнала
(
функция
F18)
Завершение
цикла
