Варочная панель Bosch NeoKlassik Serie | 6 PIE611FC5R - инструкция пользователя по применению, эксплуатации и установке на русском языке. Мы надеемся, она поможет вам решить возникшие у вас вопросы при эксплуатации техники.
Если остались вопросы, задайте их в комментариях после инструкции.
"Загружаем инструкцию", означает, что нужно подождать пока файл загрузится и можно будет его читать онлайн. Некоторые инструкции очень большие и время их появления зависит от вашей скорости интернета.

ru
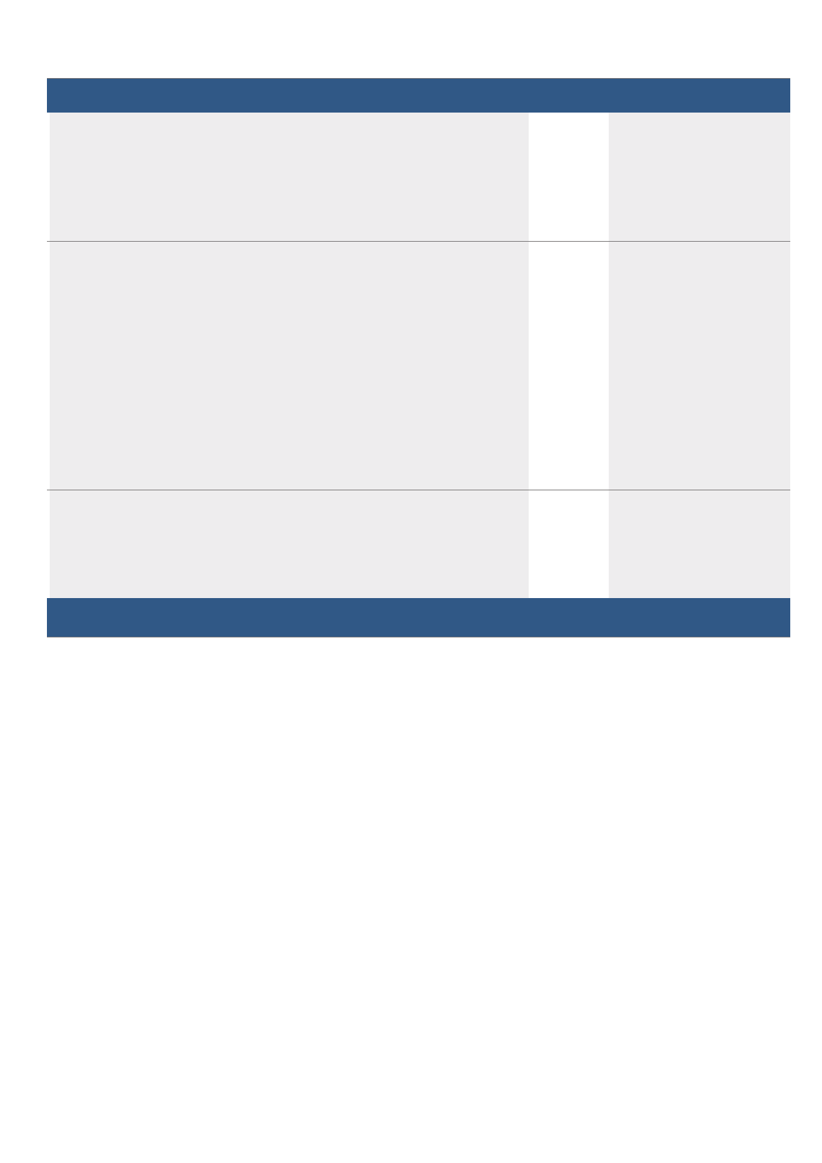
Сенсорный
режим
жарения
18
Овощи
Чеснок
,
репчатый
лук
min
2 - 10
Кабачки
цуккини
,
баклажаны
low
4 - 12
Сладкий
перец
,
зелёная
спаржа
low
4 - 15
Грибы
med
10 - 15
Глазированные
овощи
low
6 - 10
Продукты
глубокой
заморозки
Шницель
med
15 - 20
Кордон
блю
*
med
10 - 30
Грудка
птицы
*
med
10 - 30
Куриные
нагеты
med
10 - 15
Гирос
,
кебаб
low
5 - 10
Рыбное
филе
,
в
панировке
или
без
low
10 - 20
Рыбные
палочки
med
8 - 12
Картофель
фри
max
4 - 6
Блюда
для
жарения
,
например
,
обжаренные
на
сковороде
овощи
с
курицей
low
6 - 10
Весенние
рулеты
med
10 - 30
Камамбер
/
сыр
low
10 - 15
Прочее
Камамбер
/
сыр
low
7 - 10
Готовые
сухие
продукты
,
с
добавлением
воды
,
например
,
Макароны
min
5 - 10
Крутоны
low
6 - 10
миндаль
/
грецкие
орехи
/
кедровые
орехи
med
3 - 15
Температур
-
ный
режим
Общее
время
приготовления
по
-
сле
звукового
сигнала
(
мин
)
*
Несколько
раз
перевернуть
.
**
Общее
время
приготовления
каждой
порции
Жарить
одну
порцию
за
другой
.