Умные часы Samsung Galaxy Watch4 Classic 42mm черный (SM-R880N) - инструкция пользователя по применению, эксплуатации и установке на русском языке. Мы надеемся, она поможет вам решить возникшие у вас вопросы при эксплуатации техники.
Если остались вопросы, задайте их в комментариях после инструкции.
"Загружаем инструкцию", означает, что нужно подождать пока файл загрузится и можно будет его читать онлайн. Некоторые инструкции очень большие и время их появления зависит от вашей скорости интернета.

Приложения и функции
62
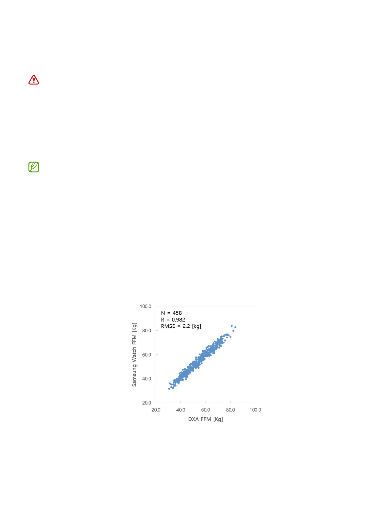
Состав тела
Устройство позволяет анализировать состав тела, например мышечную или жировую массу.
•
Эта функция предназначена только для общего благополучия и поддержания формы.
Следовательно, не используйте ее в медицинских целях, например, для диагностики симптомов,
лечения или предупреждения заболевания.
•
Не выполняйте анализ состава тела в случае наличия имплантированного кардиостимулятора,
дефибриллятора или любого другого электронного устройства в теле.
•
Во время анализа состава тела устройство испускает малый электрический ток. Несмотря на
то, что этот ток безвреден для человека, анализ состава тела не следует проводить во время
беременности.
•
Для точности измерений наденьте устройство Watch так, чтобы оно располагалось плотно чуть
выше запястья. Дополнительные сведения см. в разделе
Ношение устройства Watch для точности
.
•
Если результаты анализа состава тела неточны, проверьте свой профиль пользователя в
приложении Samsung Health на смартфоне и внесите необходимые изменения.
•
В отличие от профессиональных приборов для анализа состава тела, устройство Watch, надетое
на запястье, анализирует состав верхней части тела и в результатах показывает расчетные
параметры состава всего тела. Следовательно, результаты анализа состава тела могут быть
неточными в следующих случаях: при слишком большой несбалансированности состава верхней
и нижней части тела, при сильном ожирении или при слишком малом объеме мышц.
•
При анализе состава тела устройство Watch использует метод биоимпедансометрии (БИА),
который более чем на 98 % точнее в сравнении с методом двухэнергетической рентгеновской
абсорбциометрии (ДЭРА), считающимся «золотым» стандартом.
Содержание
- 3 Приложения и функции
- 4 Использование устройства; поддержания здорового образа; Приложение; 34 Устранение неполадок; Приложение Galaxy
- 5 Об устройстве Galaxy Watch Active2
- 8 Предостережения о перегреве
- 9 Watch Active2
- 10 Обозначения, используемые в данном руководстве; Внешний вид устройства; Комплект поставки
- 11 Galaxy Watch Active2
- 13 Клавиши; Беспроводное зарядное устройство
- 14 Аккумулятор; Зарядка аккумулятора
- 15 Проверка состояния заряда аккумулятора
- 16 Беспроводная зарядка
- 17 Зарядка аккумулятора с помощью функции Wireless PowerShare
- 19 Режим энергосбережения; Ношение устройства Galaxy Watch Active2; Надевание устройства Galaxy Watch Active2
- 20 Советы и меры предосторожности при использовании ремешка
- 21 Присоединение или замена ремешка; Присоединение ремешка
- 22 Замена ремешка
- 23 Включение и выключение устройства Galaxy; Перезапуск устройства Galaxy Watch Active2
- 24 Установка приложения Galaxy Wearable; Подключение устройства Galaxy Watch Active2 к мобильному
- 26 Удаленное подключение
- 27 Управление экраном; Сенсорный безель; Перемещение между экранами
- 28 Выбор объекта
- 29 Сенсорный экран; Касание
- 30 Нажатие и удерживание
- 31 Двойное касание
- 32 Структура экрана; Добавление виджетов
- 33 Включение и выключение экрана; Переключение между экранами; Переход между экранами часов и приложений; Экран приложений
- 34 Закрытие приложений; Возврат на предыдущий экран
- 35 Экран блокировки; Настройка блокировки экрана; Часы; Экран часов
- 36 Изменение вида часов
- 37 Установка фотографии в качестве типа часов; Включение функции постоянного отображения часов
- 38 Панель уведомлений
- 39 Просмотр входящих уведомлений; Удаление уведомлений
- 40 Выбор приложений, от которых поступают уведомления
- 41 Просмотр значков состояния; Просмотр значков быстрых настроек
- 42 Добавление значка быстрых настроек
- 43 Включение режима отхода ко сну
- 44 Включение кинорежима
- 45 Включение автономного режима; Включение режима блокировки в воде; Подключение гарнитуры Bluetooth
- 46 Открытие меню управления аккумулятором; Включение звука, режима вибрации или беззвучного режима; Подключение к сети мобильной связи
- 47 Воспроизведение музыки/приостановка воспроизведения; Включение функции чувствительности к прикосновениям; Ввод текста; Введение
- 48 Использование функции голосового ввода
- 49 Использование смайликов; Использование режима рукописного ввода или клавиатуры
- 50 Изменение режима ввода; Изменение языка ввода; Использование клавиатуры
- 51 Просмотр сообщений; Отправка сообщений
- 52 Удаление сообщений
- 53 Телефон; Ответ на вызов
- 54 Отклонение вызова; Пропущенные вызовы
- 55 Выполнение вызовов; Возможности во время вызовов; Использование экрана вызовов
- 56 Доступ к клавиатуре
- 57 Добавление контактов; Добавление медицинской информации в профиль пользователя
- 58 Samsung Pay; Настройка Samsung Pay; Осуществление платежей
- 60 Правильное ношение устройства Galaxy Watch Active2
- 62 Активность; Просмотр ежедневной активности
- 63 Настройка желаемого уровня ежедневной активности; Настройка уведомлений; Шаги
- 64 Установка цели для прохождения шагов
- 65 Этажи; Определение пройденных этажей; Установка цели для прохождения этажей
- 66 Упражнение; Начало тренировки
- 70 Упражнения с повторениями
- 72 Автоматическое определение тренировки
- 73 Калории; Сон
- 74 Анализ режима сна
- 75 Пульс
- 76 Измерение пульса
- 77 Стресс; Измерение вашего уровня стресса
- 78 Борьба со стрессом; Пища; Регистрация калорий
- 79 Удаление журналов; Установка целей потребления калорий
- 80 Контроль веса
- 81 Вода; Учет потребления воды; Установка целей потребления
- 82 Кофеин; Учет количества выпитого кофе; Установка предельного количества кофе
- 83 Together
- 85 GPS
- 86 Музыка; Импорт музыкальных файлов
- 87 Воспроизведение музыки с помощью устройства Galaxy Watch; Воспроизведение музыки с мобильного устройства
- 88 Напоминания; Создание напоминания
- 89 Завершение или удаление напоминания; Календарь
- 90 Bixby; Запуск приложения Bixby; Пробуждение Bixby с помощью клавиши «Главный экран»
- 91 Погода; Установка сигналов
- 92 Выключение сигнала; Мировое время; Выбор мирового времени
- 93 Таймер
- 94 Галерея; Импорт и экспорт изображений
- 95 Просмотр изображений; Увеличение и уменьшение масштаба; Удаление изображений
- 96 Просмотр расположения мобильного устройства; Найти часы
- 97 Удаленное управление устройством Galaxy Watch Active2; Экстренные сообщения; Настройка экстренных сообщений; Добавление экстренных контактов
- 98 Отправка экстренных сообщений
- 99 Чтение сообщений электронной почты
- 101 Звук и вибрация
- 102 Экран
- 104 Подключения; Bluetooth; Мобильные сети
- 107 Осуществление платежей с помощью функции NFC
- 108 Оповещения
- 109 Местоположение; Приложения; Макет; Разрешения
- 110 Сообщения; Безопасность; Блокировка; Учетная запись
- 111 Общие; Ввод
- 112 Синтез речи; Сброс; Оптимизация заряда
- 113 Подкл. к новому телефону
- 114 Приложение Galaxy Wearable
- 116 Оплата
Характеристики
Остались вопросы?Не нашли свой ответ в руководстве или возникли другие проблемы? Задайте свой вопрос в форме ниже с подробным описанием вашей ситуации, чтобы другие люди и специалисты смогли дать на него ответ. Если вы знаете как решить проблему другого человека, пожалуйста, подскажите ему :)