Триммеры Bosch ART 23-18 LI 0.600.8A5.C05 - инструкция пользователя по применению, эксплуатации и установке на русском языке. Мы надеемся, она поможет вам решить возникшие у вас вопросы при эксплуатации техники.
Если остались вопросы, задайте их в комментариях после инструкции.
"Загружаем инструкцию", означает, что нужно подождать пока файл загрузится и можно будет его читать онлайн. Некоторые инструкции очень большие и время их появления зависит от вашей скорости интернета.

198
| Română
F 016 L81 652 | (14.9.16)
Bosch Power Tools
Montare şi funcţionare
Punere în funcţiune
Pentru siguranţa dumneavoastră
Atenţie: înainte de efectuarea reglajelor sau a curăţării
sculei electrice de grădină, opriţi-o şi extrageţi
acumulatorul din aceasta.
După deconectarea trimerului de gazon cu acumulator
cuţitul de tăiere se mai roteşte din inerţie încă câteva
secunde. Aşteptaţi ca motorul/cuţitul de tăiere să se
oprească complet înainte de a reporni scula electrică.
Nu deconectaţi şi apoi reconectaţi imediat scula
electrică.
Se recomandă utilizarea elementelor de tăiere
recomandate de Bosch. În cazul folosirii altor elemente
de tăiere, rezultatul obţinut poate fi diferit de
aşteptări.
Încărcarea acumulatorului
Nu folosiţi alt încărcător.
Încărcătorul din setul de livrare
este adaptat acumulatorului litiu-ion incorporat în scula
dumneavoastră electrică de grădină.
Respectaţi tensiunea de alimentare!
Tensiunea sursei
de curent trebuie să coincidă cu datele de pe plăcuţa
indicatoare a tipului încărcătorului. Încărcătoarele
inscripţionate cu 230 V pot funcţiona şi la 220 V.
Acumulatorul este echipat cu un sistem de supraveghere a
temperaturi care-i permite încărcarea numai în domeniul de
temperaturi cuprins între 0 ° C şi 45 ° C. Astfel se obţine o
durată de viaţă îndelungată a acumulatorului.
Indicaţie:
Acumulatorul se livrează parţial încărcat. Pentru a
asigura funcţionarea la capacitatea nominală a
acumulatorului, înainte de prima utilizare încărcaţi complet
acumulatorul în încărcător.
Acumulatorul cu tehnologie litiu-ion poate fi încărcat în orice
moment, fără ca prin aceasta să i se reducă durata de viaţă. O
întrerupere a procesului de încărcare nu dăunează acumula-
torului.
Acumulatorul litiu-ion este protejat împotriva descărcării
profunde prin „Electronic Cell Protection (ECP)“. Când
acumulatorul este descărcat, scula electrică de grădină este
oprită din funcţionare prin intermediul unui circuit de
protecţie: scula electrică de grădină nu mai funcţionează.
După deconectarea automată a sculei
electrice de grădină nu mai apăsaţi
întrerupătorul pornit/oprit.
Acumulatorul se poate
deteriora.
Procesul de încărcare
Procesul de încărcare începe imediat după introducerea în
priză a ştecherului încărcătorului şi a acumulatorului în
compartimentul de încărcare .
Prin procesul de încărcare inteligentă, starea de încărcare a
acumulatorului este sesizată automat iar acumulatorul va fi
încărcat cu un curent de încărcare întotdeauna optim, în
funcţie de temperatura şi tensiunea sa.
În acest mod acumulatorul este menajat, iar în cazul păstrării
sale în încărcător, el va fi întotdeauna încărcat la capacitate
maximă.
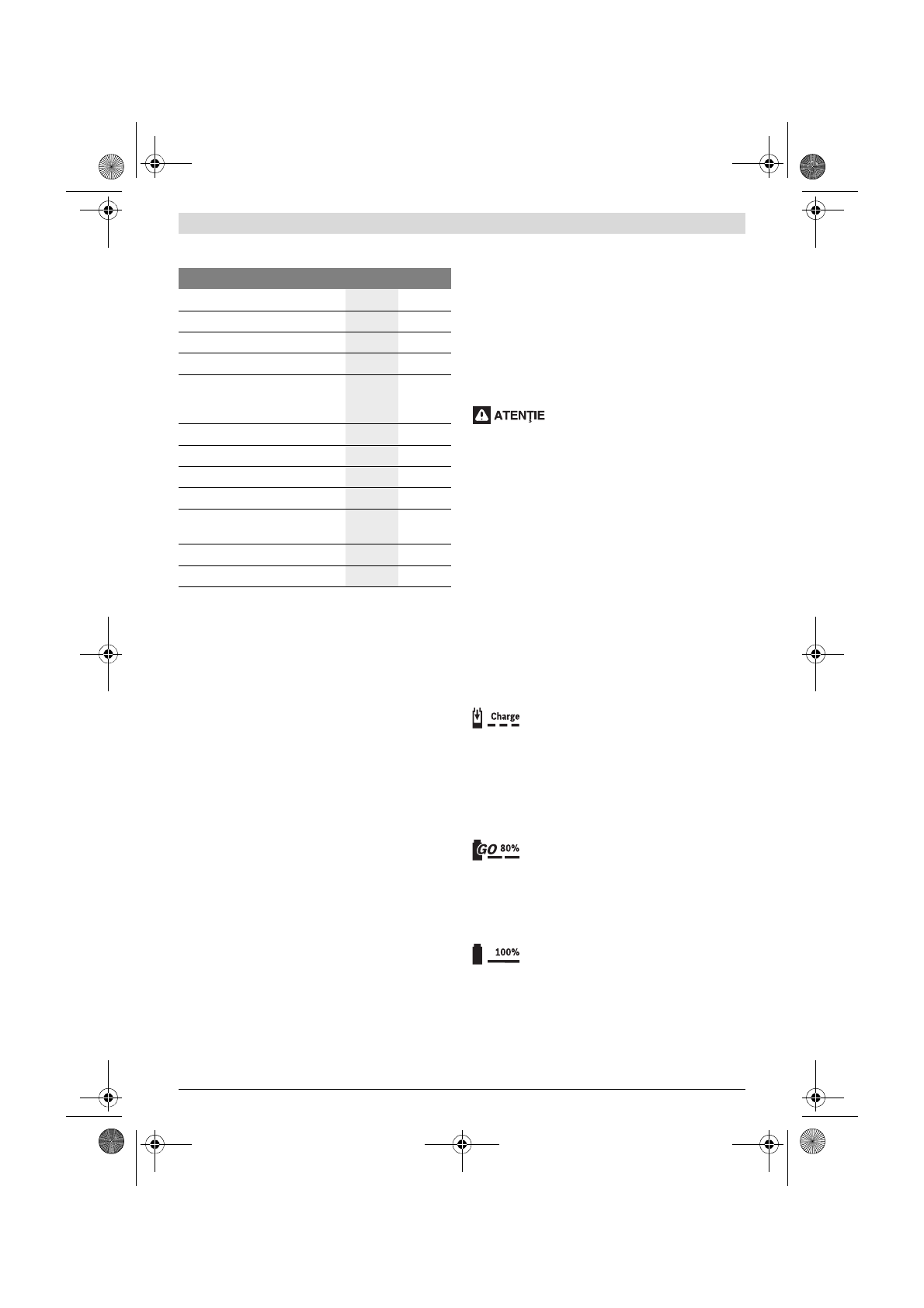
Semnificaţia elementelor indicatoare
Clipire (rapidă) a indicatorului verde de încărcare
a acumulatorului
Procesul de încărcare rapidă este semnalizat
de
clipirea rapidă
a indicatorului
verde
de
încărcare a acumulatorului.
Indicaţie:
Încărcarea rapidă este posibilă numai când
temperatura acumulatorului se află în domeniul
temperaturilor admise, vezi paragraful „Date tehnice“.
Clipire (lentă) a indicatorului verde de încărcare
a acumulatorului
Când nivelul de încărcare a acumulatorului
este de
80 %
clipeşte lent
indicatorul verde
de încărcare a acumulatorului .
Acumulatorul poate fi extras în scopul utilizării imediate.
Lumina continuă a indicatorului verde de
încărcare a acumulatorului
Lumina continuă
a indicatorului
verde
de
încărcare a acumulatorului semnalizează faptul
că acumulatorul este complet încărcat.
Dacă acumulatorul nu este introdus în încărcător,
lumina
continuă
emisă de indicatorul de încărcare a acumulatorului
semnalizează faptul că ştecherul este introdus în priză iar
încărcătorul este în stare de funcţionare.
Scopul acţiunii
Figura
Pagina
Set de livrare
1
274
Montare apărătoare de protecţie
2
274
Reglarea mânerului
3
275
Montarea roţilor
4
275
Încărcarea acumulatorului
Introducerea şi extragerea
acumulatorului
5
275
Verificarea cuțitului
6
276
Schimbarea cuţitelor
7
276
Reglarea unghiului de lucru
8
276
Pornire/oprire
9
277
Indicaţii de lucru
Reglarea înălţimii de lucru
10
277
Întreţinere, curăţare şi depozitare
11
277
Alegerea accesoriilor
12
278
OBJ_BUCH-1981-005.book Page 198 Wednesday, September 14, 2016 4:27 PM













