Тонометры Omron MIT - инструкция пользователя по применению, эксплуатации и установке на русском языке. Мы надеемся, она поможет вам решить возникшие у вас вопросы при эксплуатации техники.
Если остались вопросы, задайте их в комментариях после инструкции.
"Загружаем инструкцию", означает, что нужно подождать пока файл загрузится и можно будет его читать онлайн. Некоторые инструкции очень большие и время их появления зависит от вашей скорости интернета.

КОРОТКО ОБ АРТЕРИАЛЬНОМ ДАВЛЕНИИ
Артериальное давление — это давление крови на стенки со-
судов, возникающее в результате работы сердца. Смена циклов
сокращения и расширения сердца является причиной изменения
артериального давления. Максимальное давление крови на стен-
ку артерии в момент сокращения сердца называется систоличес-
ким давлением. Давление крови на стенку артерии в тот момент,
когда сердце максимально расслаблено, называется диастоличе-
ским. Артериальное давление принято измерять в миллиметрах
ртутного столба. Обе величины важны врачу для того, чтобы оп-
ределить состояние пациента. Значение артериального давления
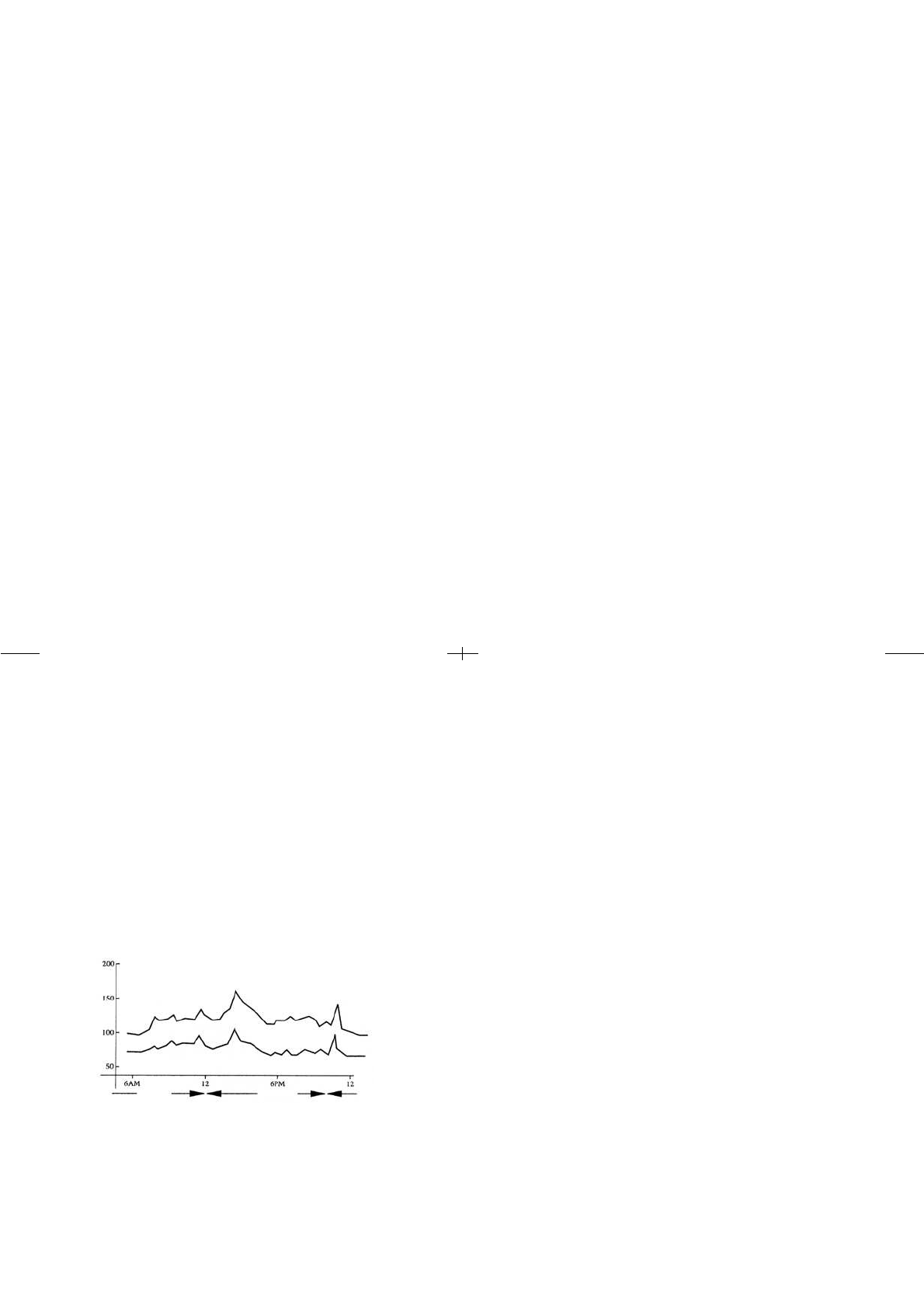
изменяется в течение дня и даже ежеминутно. Приведенная диа-
грамма наглядно демонстрирует скачкообразный характер изме-
нения артериального давления. Стандарты повышенного и пони-
женного артериального давления, установленные Всемирной Ор-
ганизацией Здравоохранения, приведены в таблице ниже.
Нормальное
критический предел
высокое давление
Систолическое
до 140 мм рт.ст.
от 140 до .
свыше 160 мм рт.ст.
давление
160 мм рт.ст
Диастолическое до 90 мм рт.ст.
от 90 до
свыше 95 мм рт.ст.
давление
95 мм рт.ст.
ВОПРОСЫ И ОТВЕТЫ ОТНОСИТЕЛЬНО ИЗМЕРЕ-
НИЯ АРТЕРИАЛЬНОГО ДАВЛЕНИЯ
Величина артериального дав-
ления сильно зависит от Вашего
психологического состояния во вре-
мя измерения. Если оно измеряется
врачом или медсестрой в больнице,
то полученные показания часто ока-
зываются выше, поскольку Вы нахо-
дитесь в состоянии стресса.
Систолическое артериальное
давление может подняться на 25–30
мм рт.ст., и даже на 50 мм рт.ст. До-
ма, где Вы можете расслабиться, ре-
зультаты измерения артериального
давления могут стабильно быть бли-
зки к естественной величине Вашего
давления.
Величина артериального дав-
ления едва уловимо колеблется. Она
меняется с каждым ударом сердца.
Вам может показаться, что величина
Вашего артериального давления по-
стоянна, потому что Вы ее не ощу-
щаете, однако она постоянно меня-
ется. Результаты измерения, полу-
ченные утром и вечером, будут раз-
ными; показания будут зависеть так-
же от времени года и температуры
воздуха. Кроме факторов окружаю-
щей среды на величину артериаль-
ного давления влияет также Ваше
психологическое состояние. Поэто-
му пусть у Вас не вызывает беспо-
Почему результа-
ты измерения артери-
ального давления в
больнице и дома от-
личаются?
Почему каждый
раз, когда Вы измеря-
ете артериальное да-
вление, результаты
измерения оказыва-
ются разными?
Почему нужно
следить за величиной
артериального давле-
ния в домашних усло-
виях?

