Тонометры Omron M5-I - инструкция пользователя по применению, эксплуатации и установке на русском языке. Мы надеемся, она поможет вам решить возникшие у вас вопросы при эксплуатации техники.
Если остались вопросы, задайте их в комментариях после инструкции.
"Загружаем инструкцию", означает, что нужно подождать пока файл загрузится и можно будет его читать онлайн. Некоторые инструкции очень большие и время их появления зависит от вашей скорости интернета.

M5I
Повышенное артериальное давление также может явиться следствием наследственной пред1
расположенности, и если Вам был поставлен диагноз «гипертония», посоветуйте Вашим близ1
ким родственникам тщательно проверить их артериальное давление.
Если Вы хотите правильно измерять артериальное давление, то следует знать, что оно вместе
с атмосферным меняется даже у здоровых людей как в течение суток, так и на протяжении
коротких промежутков времени в зависимости от физической нагрузки, эмоциональной
возбудимости, от режима питания, не говоря уже о влиянии принимаемых лекарств, курении и
употреблении спиртных напитков. Например, у многих давление может измениться из1за
волнения, связанного с самой процедурой его измерения. Разница в показаниях у здоровых
людей колеблется при изменении «верхнего» (систолического) давления в пределах до 30 мм
рт. ст. и «нижнего» (диастолического) в пределах до 10 мм рт. ст.
Почему предпочтительнее измерять артериальное давление в домашних условиях?
Процедура измерения артериального давления, производимая врачом, может вызвать у Вас
состояние беспокойства, которое в свою очередь способно стать причиной получения завы1
шенных показаний. Если при изменении условий измерения показатели артериального давле1
ния снижаются, результаты единичного, не соответствующего общей тенденции измерения не
следует учитывать при постановке диагноза.
Артериальное давление, измеренное утром, сразу после того как Вы встали, до приема пищи,
называется базовым артериальным давлением. На практике бывает чрезвычайно сложно по1
лучить показания базового артериального давления, однако они очень важны, и необходимо
постараться получить их в условиях, наиболее полно обеспечивающих состояние физическо1
го и эмоционального покоя.
Классификация артериального давления, принятая Всемирной организацией
здравоохранения
Классификация артериального давления,
показанная на рисунке, разработана Все1
мирной организацией здравоохранения и
Международной Лигой Гипертонии.
В основу этой классификации положены ре1
зультаты измерения артериального давле1
ния у пациентов амбулаторных отделений
больниц. Давление пациентам измерялось
в положении сидя.
*Эти данные не являются критерием для постановки диагноза «гипотония».
Однако, если пациент имеет показатели артериального давления ниже
100 мм рт. ст., в этом случае можно предположить у него наличие склонно
сти к гипотонии.
14
Прогрессирующая форма гипертонии
Гипертония средней тяжести
Нормальное значение
артериального давления
Оптим. значение
артер. давления
(конт. значение)
Тяжелая форма гипертонии
Нормальное значение
систолического давления
180
Систолическое артериальное давление
(мм рт. ст.)
Диастолическое
артериальное
давление
(мм рт. ст.)
160
140
130
120
80
85
90
100
110
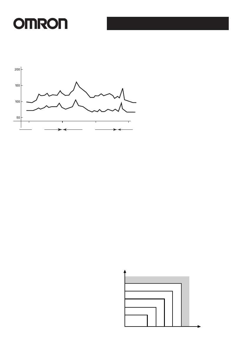
Приход
на работу
Телефонные
переговоры
Споры на
совещании
Уход
с работы
Ужин
Отход
ко сну
Утро
День
Вечер
Систолическое
давление
Диастолическое
давление
Подъем
Колебания артериального давления в течение дня
(пациент — мужчина, 35 лет)
6
12
18
24
Содержание
- 2 СОДЕРЖАНИЕ; OMRON HEALTHCARE
- 3 Измеритель М51I не подходит
- 7 Начало измерений; ) и значения Вашего давления; Считывание показаний; одновременно; нажмите кнопки «М»; Внимание
- 8 . Для выяснения причин неисправностей, пожа1; РЕКОМЕНДАЦИИ
- 9 Err
- 10 УХОД И ХРАНЕНИЕ
- 13 КОРОТКО ОБ АРТЕРИАЛЬНОМ ДАВЛЕНИИ
- 16 СВЕДЕНИЯ О ПОВЕРКЕ; Модель; OMRON М57I; Производственный филиал: