Сварочное оборудование СТАВР САИ-320ЭУ - инструкция пользователя по применению, эксплуатации и установке на русском языке. Мы надеемся, она поможет вам решить возникшие у вас вопросы при эксплуатации техники.
Если остались вопросы, задайте их в комментариях после инструкции.
"Загружаем инструкцию", означает, что нужно подождать пока файл загрузится и можно будет его читать онлайн. Некоторые инструкции очень большие и время их появления зависит от вашей скорости интернета.

складских помещениях и прочее.
0
50
100
150
Вых
одной т
ок, а
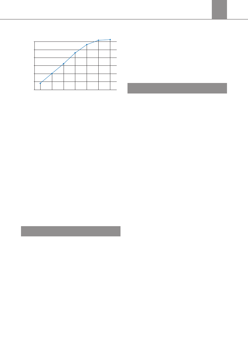
Напряжение сети, В
200
250
300
120
140
160
180
200
220
240
В результате понижения входного на-
пряжения будет наблюдаться спад вы-
ходной мощности сварочного аппарата
и, как следствие, снижение сварочного
тока.
При снижении входного напряжения уве-
личивается нагрузка на силовой блок
сварочного аппарата, что повышает на-
грев внутренних элементов и снижает
рабочий цикл.
ВНИМАНИЕ!
Будьте предельно внима-
тельны при работе с пониженным или
нестабильным входным напряжением.
Отключайте сварочный аппарат при
возникновении любых неполадок в ра-
боте.
8 ТЕХНИЧЕСКОЕ ОБСЛУЖИВАНИЕ
8.1 После окончания работ необходимо
провести очистку изделия от пыли и гря-
зи. Особое внимание необходимо уде-
лить вентиляционным отверстиям.
Для чистки корпуса не следует использо-
вать чистящие средства, которые могут
привести к образованию ржавчины на
металлических частях изделия или по-
вредить пластиковую поверхность. Про-
трите корпус изделия влажной мягкой
тканью, после чего вытрите насухо.
8.2 В процессе эксплуатации угольные
щетки подвержены износу. Своевремен-
ная замена угольных щеток значительно
увеличит срок службы изделия. Для их
замены обращайтесь в авторизованный
сервисный центр.
8.3 Регулярно проверяйте надежность
крепления всех винтов. При обнаруже-
нии ослабленного винта немедленно за-
тяните его. В противном случае Вы под-
вергаете себя риску получения травмы.
9 ПРАВИЛА ХРАНЕНИЯ
9.1 Хранить изделие необходимо при
температуре окружающей среды от 0°С
до +40°С и относительной влажности
воздуха не более 80% в месте, недо-
ступном для детей и животных.
9.2 Во избежание повреждений пере-
возите изделие только в заводской
упаковке. После транспортировки или
хранения изделия при пониженной тем-
пературе необходимо выдержать его
при комнатной температуре не менее
двух часов.
9.3 При перевозке, погрузке, разгрузке и
хранении изделия следует руководство-
ваться, помимо изложенных в руковод-
стве по эксплуатации, следующими тре-
бованиями:
- запрещается подвергать изделие су-
щественным механическим нагрузкам,
которые могут привести к повреждению
изделия и /или нарушению целостности
его упаковки;
- необходимо избегать попадания на
упаковку изделия воды и других жидко-
стей.
9.4 Перед перевозкой или передачей на
хранение при отрицательной темпера-
туре, бывшего в эксплуатации, изделия
необходимо убедиться в том, что в изде-
лии отсутствует вода. Все поверхности
изделия должны быть сухими.
9.5 Оберегайте изделие от значитель-
ных перепадов температур и воздей-
ствия прямых солнечных лучей.
9.6 Неправильная утилизация изделия
наносит непоправимый вред окружаю-
РУКОВОДСТВО ПО ЭКСПЛУАТАЦИИ
14
RUS
Характеристики
Остались вопросы?Не нашли свой ответ в руководстве или возникли другие проблемы? Задайте свой вопрос в форме ниже с подробным описанием вашей ситуации, чтобы другие люди и специалисты смогли дать на него ответ. Если вы знаете как решить проблему другого человека, пожалуйста, подскажите ему :)

 
  
  
  
  
  
  
  
  
  
  
  
  
  
  
  
  
  
  
  
  
  
  
  
  
  
  
  
  
  
  
  
 











