Стабилизатор напряжения ЭРА СНПТ-2000-Ц - инструкция пользователя по применению, эксплуатации и установке на русском языке. Мы надеемся, она поможет вам решить возникшие у вас вопросы при эксплуатации техники.
Если остались вопросы, задайте их в комментариях после инструкции.
"Загружаем инструкцию", означает, что нужно подождать пока файл загрузится и можно будет его читать онлайн. Некоторые инструкции очень большие и время их появления зависит от вашей скорости интернета.

Сведения о мощности того или иного прибора
содержатся в его паспортных данных
(инструкции по эксплуатации), при этом
важно учесть такой момент: при расчете
мощности используется не номинальная
мощность электроприбора, а его полная
мощность. Значительная доля бытовой
техники (холодильник, стиральная машина,
вентилятор, пылесос) имеет в своем
составе электродвигатель, для которого
характерны высокие пусковые токи. Помимо
электродвигателей высокими пусковыми
токами обладают также компрессоры и
насосы. Пусковые токи могут превышать
номинальную мощность прибора в 3-7 раз,
поэтому при расчете суммарной мощности
потребителей необходимо учитывать пиковые
характеристики мощности каждого прибора.
Для примера рассмотрим привычные
холодильник и кондиционер:
номинальная мощность современного
холодильника – 150-200Вт, пусковая
мощность – 1кВт; номинальная мощность
кондиционера – 750Вт, пусковая мощность
– 3кВт. В случае, когда в состав нагрузки
входит электродвигатель, который является
основным потребителем в данном устройстве
(например, погружной насос, холодильник), но
его пусковой ток неизвестен, то паспортную
потребляемую мощность двигателя
рекомендуется умножить минимум на 3
во избежание перегрузки стабилизатора
напряжения в момент включения устройства.
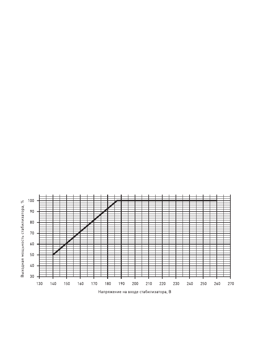
Помимо правильного расчета мощности
необходимо знать, что при уменьшении
входного напряжения увеличивается
входной ток и как следствие уменьшается
максимальная мощность стабилизатора.
Ниже представлен график зависимости
выходной мощности стабилизаторов от
входного напряжения:
Качественные показатели вашего участка
электросети – важный критерий при выборе
модели стабилизатора. Перед покупкой
необходимо оценить, насколько повышено
либо понижено напряжение в электросети,
определить характер помех. Диапазон
рабочего напряжения стабилизатора
должен быть шире, чем некондиционное
напряжение в электросети, особенно стоит
уделить внимание нижней границе диапазона
стабилизатора.
Рекомендуется выбирать модель стабилизатора напряжения с 25% запасом от
потребляемой мощности нагрузки. Во-первых, Вы обеспечите “щадящий” режим
работы стабилизатора, тем самым увеличив его срок службы, во-вторых, создадите
себе резерв мощности для подключения нового оборудования.
Содержание
- 2 Внимательно изучите данное; ПОМНИТЕ! Переменное напряжение 220В опасно для жизни!
- 3 Назначение стабилизатора
- 4 Выбор стабилизатора напряжения
- 6 Порядок подключения и режимы работы
- 8 Транспортировка хранение и утилизация.
- 10 ГАРАНТИЙНЫЙ ТАЛОН; Гарантийный ремонт производится при наличии у покупателя; Гарантийный ремонт не производится в случаях:
Характеристики
Остались вопросы?Не нашли свой ответ в руководстве или возникли другие проблемы? Задайте свой вопрос в форме ниже с подробным описанием вашей ситуации, чтобы другие люди и специалисты смогли дать на него ответ. Если вы знаете как решить проблему другого человека, пожалуйста, подскажите ему :)













