Стабилизатор напряжения ЭРА СНПТ-1000-Ц - инструкция пользователя по применению, эксплуатации и установке на русском языке. Мы надеемся, она поможет вам решить возникшие у вас вопросы при эксплуатации техники.
Если остались вопросы, задайте их в комментариях после инструкции.
"Загружаем инструкцию", означает, что нужно подождать пока файл загрузится и можно будет его читать онлайн. Некоторые инструкции очень большие и время их появления зависит от вашей скорости интернета.

Сведения о мощности того или иного прибора 
содержатся в его паспортных данных 
(инструкции по эксплуатации), при этом 
важно учесть такой момент: при расчете 
мощности используется не номинальная 
мощность электроприбора, а его полная 
мощность. Значительная доля бытовой 
техники (холодильник, стиральная машина, 
вентилятор, пылесос) имеет в своем 
составе электродвигатель, для которого 
характерны высокие пусковые токи. Помимо 
электродвигателей высокими пусковыми 
токами обладают также компрессоры и 
насосы. Пусковые токи могут превышать 
номинальную мощность прибора в 3-7 раз, 
поэтому при расчете суммарной мощности 
потребителей необходимо учитывать пиковые 
характеристики мощности каждого прибора. 
Для примера рассмотрим привычные 
холодильник и кондиционер:
номинальная мощность современного 
холодильника – 150-200Вт, пусковая 
мощность – 1кВт; номинальная мощность 
кондиционера – 750Вт, пусковая мощность 
– 3кВт. В случае, когда в состав нагрузки 
входит электродвигатель, который является 
основным потребителем в данном устройстве 
(например, погружной насос, холодильник), но 
его пусковой ток неизвестен, то паспортную 
потребляемую мощность двигателя 
рекомендуется умножить минимум на 3 
во избежание перегрузки стабилизатора 
напряжения в момент включения устройства. 
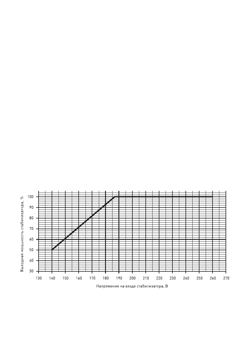
Помимо правильного расчета мощности 
необходимо знать, что при уменьшении 
входного напряжения увеличивается 
входной ток и как следствие уменьшается 
максимальная мощность стабилизатора.
Ниже представлен график зависимости 
выходной мощности стабилизаторов от 
входного напряжения:  
Качественные показатели вашего участка 
электросети – важный критерий при выборе 
модели стабилизатора. Перед покупкой 
необходимо оценить, насколько повышено 
либо понижено напряжение в электросети, 
определить характер помех. Диапазон 
рабочего напряжения стабилизатора 
должен быть шире, чем некондиционное 
напряжение в электросети, особенно стоит 
уделить внимание нижней границе диапазона 
стабилизатора.
Рекомендуется выбирать модель стабилизатора напряжения с 25% запасом от 
потребляемой мощности нагрузки. Во-первых, Вы обеспечите “щадящий” режим 
работы стабилизатора, тем самым увеличив его срок службы, во-вторых, создадите 
себе резерв мощности для подключения нового оборудования.
Содержание
- 2 Внимательно изучите данное; ПОМНИТЕ! Переменное напряжение 220В опасно для жизни!
- 3 Назначение стабилизатора
- 4 Выбор стабилизатора напряжения
- 6 Порядок подключения и режимы работы
- 8 Транспортировка хранение и утилизация.
- 10 ГАРАНТИЙНЫЙ ТАЛОН; Гарантийный ремонт производится при наличии у покупателя; Гарантийный ремонт не производится в случаях:
Характеристики
Остались вопросы?Не нашли свой ответ в руководстве или возникли другие проблемы? Задайте свой вопрос в форме ниже с подробным описанием вашей ситуации, чтобы другие люди и специалисты смогли дать на него ответ. Если вы знаете как решить проблему другого человека, пожалуйста, подскажите ему :)

 
  
  
  
  
  
  
  
  
  
  
  
 











