Стабилизатор напряжения Ресанта АСН-600/1-И - инструкция пользователя по применению, эксплуатации и установке на русском языке. Мы надеемся, она поможет вам решить возникшие у вас вопросы при эксплуатации техники.
Если остались вопросы, задайте их в комментариях после инструкции.
"Загружаем инструкцию", означает, что нужно подождать пока файл загрузится и можно будет его читать онлайн. Некоторые инструкции очень большие и время их появления зависит от вашей скорости интернета.

Ред. 3
9
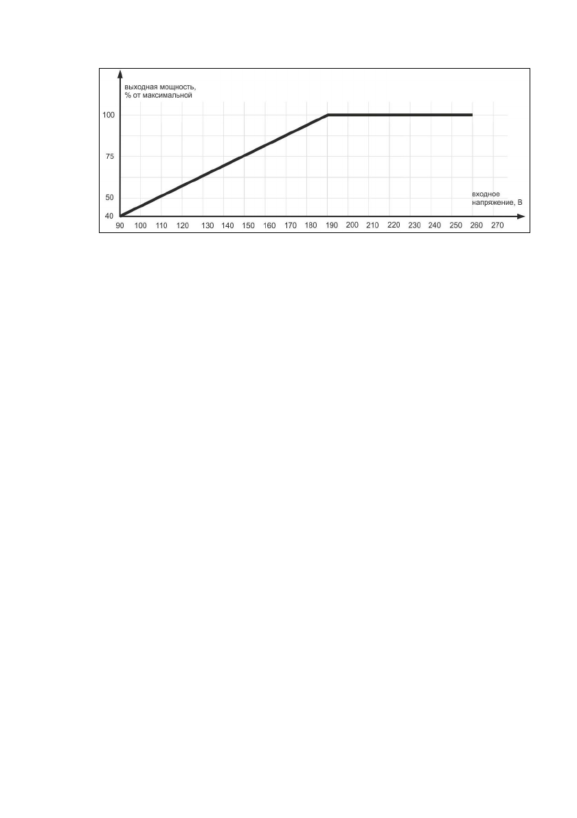
Рис.
2 График зависимости выходной мощности стабилизатора от входного
напряжения
Чтобы сделать выбор модели стабилизатора напряжения по
критерию необходимой мощности, необходимо рассчитать суммарную
мощность, потребляемую нагрузкой.
Мощность, потребляемую конкретным устройством, можно
узнать из паспорта или инструкции по эксплуатации. Иногда
потребляемая мощность вместе с напряжением питания и частотой
сети указывается на задней стенке прибора или устройства.
Следует
иметь
в
виду,
что
ток,
потребляемый
электродвигателем во время включения, в несколько раз больше, чем
в штатном режиме. Соотношение величины потребляемого тока в
момент пуска (включения) устройства к величине тока в
установившемся режиме называется кратностью пускового тока.
Данная величина зависит от типа и конструкции электродвигателя,
наличия или отсутствия устройства плавного запуска, и может иметь
значение от 3 до 7. В
случае, когда в состав нагрузки входит
электродвигатель, который является основным потребителем в
данном устройстве (например, погружной насос, холодильник), но его
пусковой ток неизвестен, то паспортную потребляемую мощность
двигателя необходимо умножить
минимум на 3, во избежание
перегрузки стабилизатора напряжения в момент включения
устройства. Большие пусковые токи могут наблюдаться и у других
устройств.
Рекомендуется выбирать модель стабилизатора напряжения с
небольшим запасом по мощности, который позволит создать резерв
для подключения нового оборудования.
Содержание
- 4 ОГЛАВЛЕНИЕ
- 8 Таблица; РЕКОМЕНДАЦИИ ПО ВЫБОРУ СТАБИЛИЗАТОРА; Мощность стабилизатора определяет максимально допустимую
- 9 напряжения
- 10 ПОДГОТОВКА К РАБОТЕ И ПОРЯДОК РАБОТЫ; механических повреждений.
- 11 Таблица 2. Возможные неисправности и способы их устранения
- 14 ГАРАНТИЙНЫЙ ТАЛОН; Стабилизатор напряжения
- 15 СЕРВИСНЫЕ ЦЕНТРЫ; Мензелинский