Стабилизатор напряжения Ресанта АСН-5000/1-Ц - инструкция пользователя по применению, эксплуатации и установке на русском языке. Мы надеемся, она поможет вам решить возникшие у вас вопросы при эксплуатации техники.
Если остались вопросы, задайте их в комментариях после инструкции.
"Загружаем инструкцию", означает, что нужно подождать пока файл загрузится и можно будет его читать онлайн. Некоторые инструкции очень большие и время их появления зависит от вашей скорости интернета.

Ред. 19
11
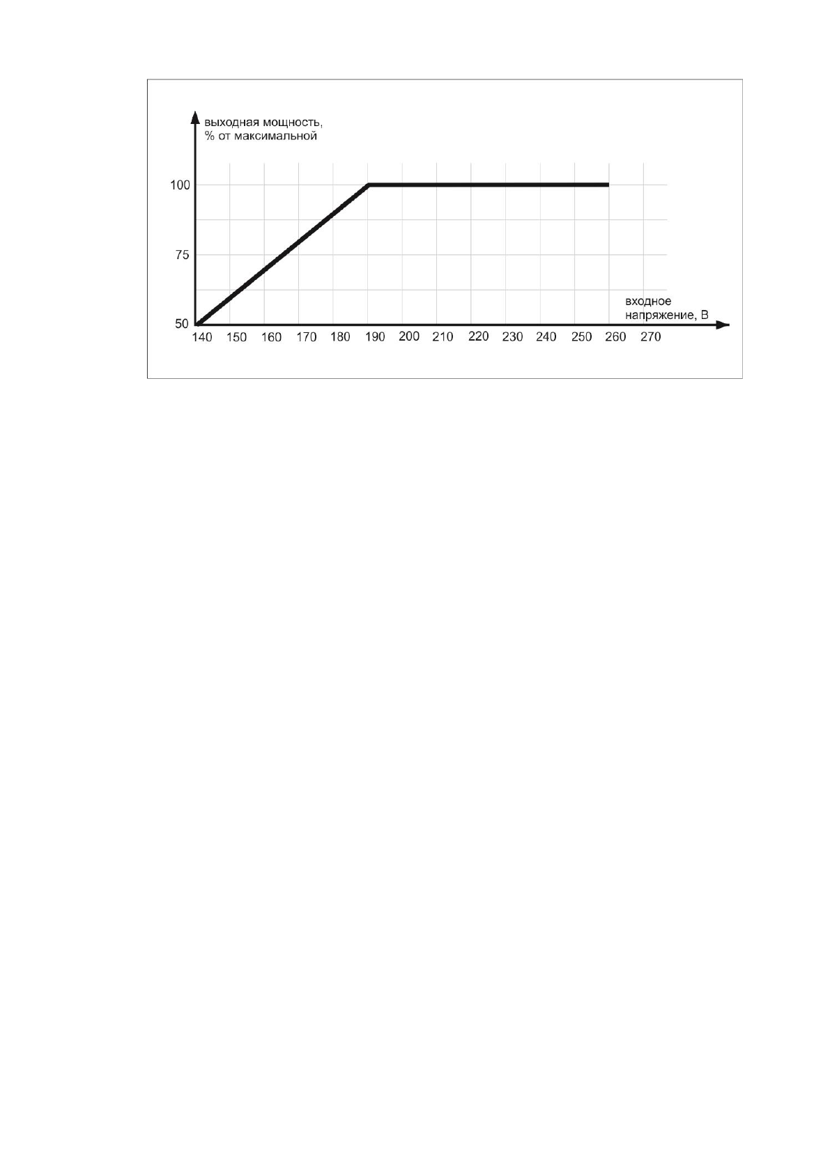
Рис. 2. График зависимости выходной мощности стабилизатора от входного
напряжения
Следует иметь в виду, что ток, потребляемый электродвигателем во
время  включения,  в  несколько  раз  больше,  чем  в  штатном  режиме. 
Соотношение  величины  потребляемого  тока  в  момент  пуска  (включения) 
устройства  к  величине  тока  в  установившемся  режиме  называется 
кратностью  пускового  тока.  Данная  величина  зависит  от  типа  и 
конструкции  электродвигателя,  наличия  или  отсутствия  устройства 
плавного  запуска,  и  может  иметь  значение  от  3  до  7.  В  случае,  когда  в 
состав  нагрузки  входит  электродвигатель,  который  является  основным 
потребителем  в  данном  устройстве  (например,  погружной  насос, 
холодильник),  но  его  пусковой  ток  неизвестен,  то  паспортную 
потребляемую  мощность  двигателя  необходимо  умножить  минимум  на  3, 
во  избежание  перегрузки  стабилизатора  напряжения  в  момент  включения 
устройства.  Большие  пусковые  токи  могут  наблюдаться  и  у  других 
устройств.  Ниже  в  таблице  приведены  параметры  кратности  некоторых 
бытовых потребителей. 
 
 
 
 
 
 
 
 
 
 
 
 
 
Содержание
- 4 ОГЛАВЛЕНИЕ
- 7 КОМПЛЕКТНОСТЬ; Таблица 1. Комплектность; ОБЩИЙ ВИД УСТРОЙСТВА
- 8 Широкий диапазон входных напряжений 140-260 В.; Таблица 2. Технические характеристики; установлен
- 9 РЕКОМЕНДАЦИИ ПО ВЫБОРУ СТАБИЛИЗАТОРА; Перегрузка стабилизатора не допускается!; .1 Принцип подбора стабилизатора
- 11 напряжения; Следует иметь в виду, что ток, потребляемый электродвигателем во
- 12 Наименование прибора; При длительной работе стабилизатора, при напряжении Uвх. < 170 В
- 13 индивидуальной мощности
- 14 ПОДГОТОВКА К РАБОТЕ И ПОРЯДОК РАБОТЫ; Прибор не предназначен для использования лицами (включая детей); Подготовка к работе стабилизатора и принцип работы
- 16 Рис.10. Показания дисплея после включения; Данные модели стабилизаторов напряжения , кроме моделей АСН; Защита от низкого выходного напряжения стабилизатора; Резкие провалы напряжения питающей сети или превышение
- 18 Возможная причина и ее устранение
- 20 ГАРАНТИЙНЫЕ ОБЯЗАТЕЛЬСТВА
- 23 СЕРВИСНЫЕ ЦЕНТРЫ
- 24 Полный актуальный список сервисных центров Вы так же можете
 
  
  
  
  
  
  
  
  
  
  
  
  
  
  
  
  
  
  
  
  
  
  
  
  
  
  
  
 











