Стабилизатор напряжения Ресанта АСН-10000БА - инструкция пользователя по применению, эксплуатации и установке на русском языке. Мы надеемся, она поможет вам решить возникшие у вас вопросы при эксплуатации техники.
Если остались вопросы, задайте их в комментариях после инструкции.
"Загружаем инструкцию", означает, что нужно подождать пока файл загрузится и можно будет его читать онлайн. Некоторые инструкции очень большие и время их появления зависит от вашей скорости интернета.

Ред.
22
11
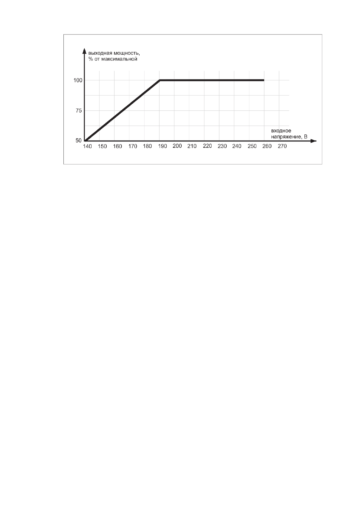
Рис. 2.
График зависимости выходной мощности стабилизатора от входного
напряжения
Следует иметь в виду, что ток, потребляемый электродвигателем во
время включения, в несколько раз больше, чем в штатном режиме.
Соотношение величины потребляемого тока в момент пуска (включения)
устройства к величине тока в установившемся режиме называется
кратностью
пускового тока. Данная величина зависит от типа и
конструкции электродвигателя, наличия или отсутствия устройства
плавного запуска, и может иметь значение от 3 до 7. В случае, когда в
состав нагрузки входит электродвигатель, который является основным
потребителем в данном устройстве (например, погружной насос,
холодильник), но его пусковой ток неизвестен, то паспортную
потребляемую мощность двигателя необходимо умножить минимум на 3,
во избежание перегрузки стабилизатора напряжения в момент включения
устройства. Большие пусковые токи могут наблюдаться и у других
устройств. Ниже
в таблице приведены параметры кратности некоторых
бытовых потребителей.
Содержание
- 4 ОГЛАВЛЕНИЕ
- 7 КОМПЛЕКТНОСТЬ; Таблица 1. Комплектность; ОБЩИЙ ВИД УСТРОЙСТВА; Общий вид моделей
- 8 Технические характеристики
- 9 РЕКОМЕНДАЦИИ ПО ВЫБОРУ СТАБИЛИЗАТОРА; Перегрузка стабилизатора не допускается!; .1 Принцип подбора стабилизатора
- 11 напряжения
- 12 Наименование прибора
- 13 предназначенные только для однофазных сетей!; индивидуальной мощности
- 14 обратиться к нашим специалистам.; ПОДГОТОВКА К РАБОТЕ И ПОРЯДОК РАБОТЫ; с соблюдением требований ПУЭ, ПТБ и настоящей инструкции.; Подготовка к работе стабилизатора
- 16 Защита от низкого выходного напряжения стабилизатора
- 19 обратиться за помощью к специалистам.; УСЛОВИЯ ЭКСПЛУАТАЦИИ
- 20 ГАРАНТИЙНЫЕ ОБЯЗАТЕЛЬСТВА
- 22 ГАРАНТИЙНЫЙ ТАЛОН
- 23 СЕРВИСНЫЕ ЦЕНТРЫ
Характеристики
Остались вопросы?Не нашли свой ответ в руководстве или возникли другие проблемы? Задайте свой вопрос в форме ниже с подробным описанием вашей ситуации, чтобы другие люди и специалисты смогли дать на него ответ. Если вы знаете как решить проблему другого человека, пожалуйста, подскажите ему :)