Стабилизатор напряжения Ресанта АСН-100000/3-ЭМ - инструкция пользователя по применению, эксплуатации и установке на русском языке. Мы надеемся, она поможет вам решить возникшие у вас вопросы при эксплуатации техники.
Если остались вопросы, задайте их в комментариях после инструкции.
"Загружаем инструкцию", означает, что нужно подождать пока файл загрузится и можно будет его читать онлайн. Некоторые инструкции очень большие и время их появления зависит от вашей скорости интернета.

Ред. 9.2
10
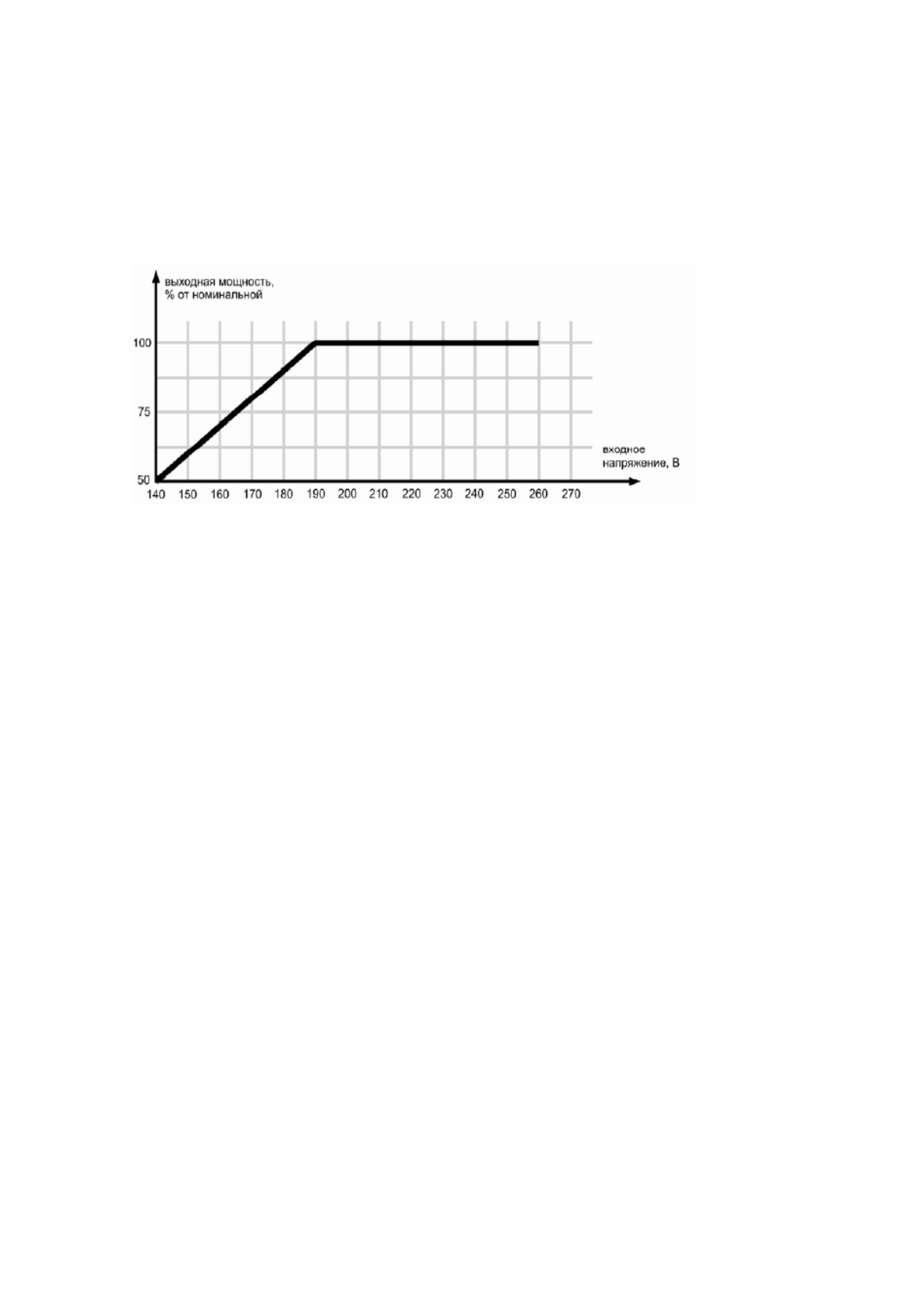
РЕКОМЕНДАЦИИ ПО ВЫБОРУ СТАБИЛИЗАТОРА
Мощность стабилизатора определяет максимально допустимую суммарную
мощность нагрузки, которую можно подключить к стабилизатору.
ВНИМАНИЕ!
При выборе стабилизатора напряжения необходимо знать о
том, что при уменьшении входного напряжения увеличивается входной ток,
а, следовательно, уменьшается допустимая мощность подключаемой
нагрузки (см. график).
Чтобы сделать выбор модели стабилизатора напряжения по критерию
необходимой мощности, необходимо рассчитать суммарную мощность,
потребляемую нагрузкой.
Мощность, потребляемую конкретным устройством, можно узнать из
паспорта или инструкции по эксплуатации. Иногда потребляемая мощность
вместе с напряжением питания и частотой сети указывается на задней стенке
прибора или устройства.
Любой электродвигатель в момент включения потребляет энергии в
несколько раз больше, чем в штатном режиме. Соотношение величины
потребляемого тока в момент пуска (включения) устройства к величине тока
в установившемся режиме называется кратностью пускового тока. Данная
величина зависит от типа и конструкции электродвигателя, наличия или
отсутствия устройства плавного запуска, и может иметь значение от 3 до 7. В
случае, когда в состав нагрузки входит электродвигатель, который является
основным потребителем в данном устройстве (например, погружной насос,
холодильник), но его пусковой ток неизвестен, то паспортную потребляемую
мощность двигателя необходимо умножить минимум на 3, во избежание
перегрузки стабилизатора напряжения в момент включения устройства.
Большие пусковые токи могут наблюдаться и у других устройств.
Рекомендуется выбирать модель стабилизатора напряжения с небольшим
запасом по мощности, который позволит создать резерв для подключения
нового оборудования.
Срок службы стабилизатора составляет 5 лет.
Содержание
- 4 Подключение стабилизатора осуществляется с помощью панели с
- 5 В случае несоблюдения этого требования гарантийный ремонт не
- 8 ТРАНСПОРТИРОВКА
- 9 ВОЗМОЖНЫЕ НЕПОЛАДКИ, ВОЗНИКАЮЩИЕ ПРИ РАБОТЕ; Неполадки
- 10 РЕКОМЕНДАЦИИ ПО ВЫБОРУ СТАБИЛИЗАТОРА; При выборе стабилизатора напряжения необходимо знать о
- 12 Полный актуальный список сервисных центров Вы так же можете
- 13 ГАРАНТИЙНЫЕ ОБЯЗАТЕЛЬСТВА
- 14 ФИО и подпись покупателя