Стабилизатор напряжения Ресанта АСН-10000/1-Ц - инструкция пользователя по применению, эксплуатации и установке на русском языке. Мы надеемся, она поможет вам решить возникшие у вас вопросы при эксплуатации техники.
Если остались вопросы, задайте их в комментариях после инструкции.
"Загружаем инструкцию", означает, что нужно подождать пока файл загрузится и можно будет его читать онлайн. Некоторые инструкции очень большие и время их появления зависит от вашей скорости интернета.

Ред. 19
11
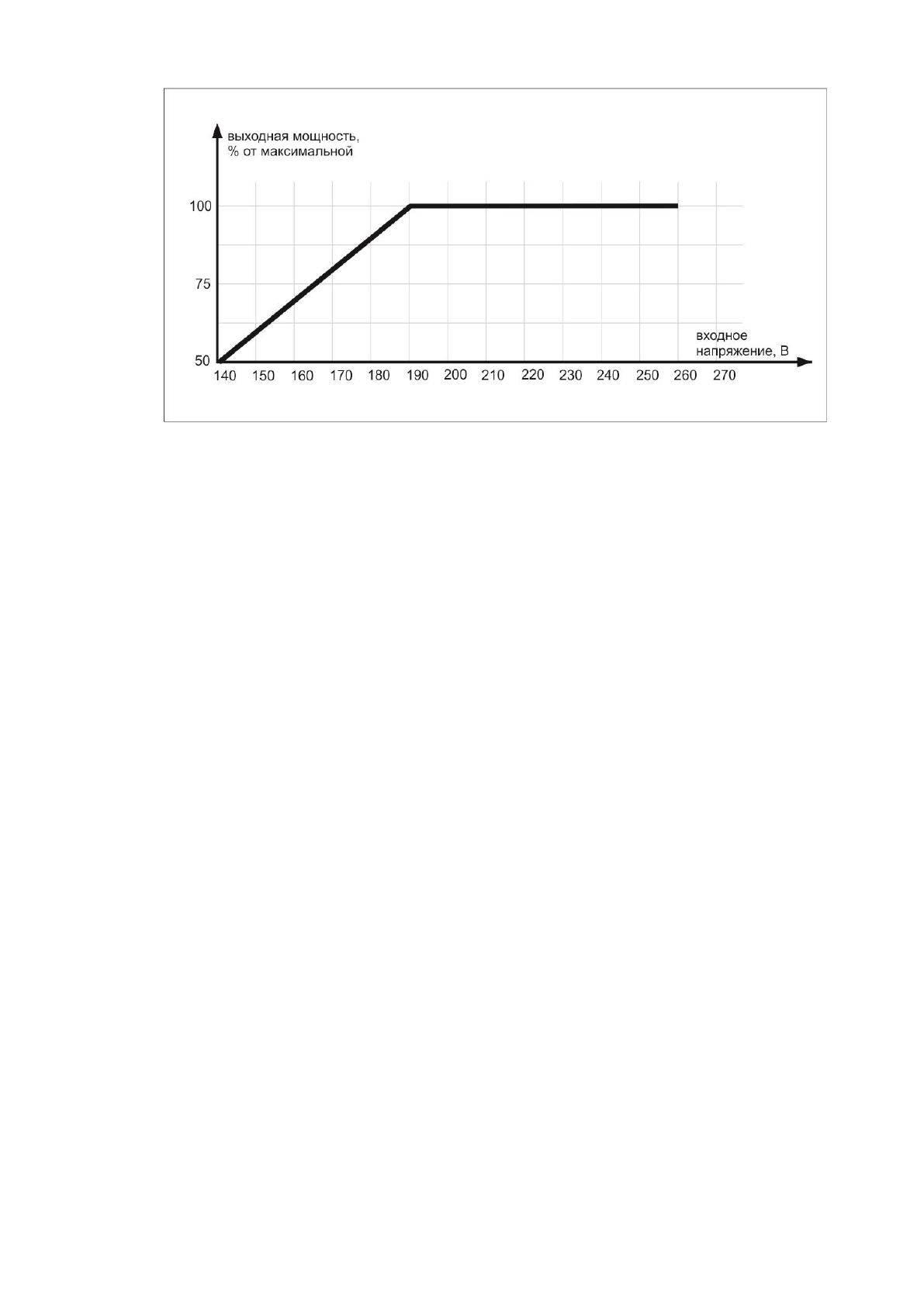
Рис. 2. График зависимости выходной мощности стабилизатора от входного
напряжения
Следует иметь в виду, что ток, потребляемый электродвигателем во
время включения, в несколько раз больше, чем в штатном режиме.
Соотношение величины потребляемого тока в момент пуска (включения)
устройства к величине тока в установившемся режиме называется
кратностью пускового тока. Данная величина зависит от типа и
конструкции электродвигателя, наличия или отсутствия устройства
плавного запуска, и может иметь значение от 3 до 7. В случае, когда в
состав нагрузки входит электродвигатель, который является основным
потребителем в данном устройстве (например, погружной насос,
холодильник), но его пусковой ток неизвестен, то паспортную
потребляемую мощность двигателя необходимо умножить минимум на 3,
во избежание перегрузки стабилизатора напряжения в момент включения
устройства. Большие пусковые токи могут наблюдаться и у других
устройств. Ниже в таблице приведены параметры кратности некоторых
бытовых потребителей.
Содержание
- 4 ОГЛАВЛЕНИЕ
- 7 КОМПЛЕКТНОСТЬ; Таблица 1. Комплектность; ОБЩИЙ ВИД УСТРОЙСТВА
- 8 Широкий диапазон входных напряжений 140-260 В.; Таблица 2. Технические характеристики; установлен
- 9 РЕКОМЕНДАЦИИ ПО ВЫБОРУ СТАБИЛИЗАТОРА; Перегрузка стабилизатора не допускается!; .1 Принцип подбора стабилизатора
- 11 напряжения; Следует иметь в виду, что ток, потребляемый электродвигателем во
- 12 Наименование прибора; При длительной работе стабилизатора, при напряжении Uвх. < 170 В
- 13 индивидуальной мощности
- 14 ПОДГОТОВКА К РАБОТЕ И ПОРЯДОК РАБОТЫ; Прибор не предназначен для использования лицами (включая детей); Подготовка к работе стабилизатора и принцип работы
- 16 Рис.10. Показания дисплея после включения; Данные модели стабилизаторов напряжения , кроме моделей АСН; Защита от низкого выходного напряжения стабилизатора; Резкие провалы напряжения питающей сети или превышение
- 18 Возможная причина и ее устранение
- 20 ГАРАНТИЙНЫЕ ОБЯЗАТЕЛЬСТВА
- 23 СЕРВИСНЫЕ ЦЕНТРЫ
- 24 Полный актуальный список сервисных центров Вы так же можете