Страница 2 - Содержание; Элементы, заблокированные с помощью
2 Содержание Расположение элементов управления Передняя/правая сторона ..................................... 3Задняя/левая/нижняя сторона .............................. 4Пульт дистанционного управления .................... 5 Соединения и подготовка Установка устройства .................................
Страница 3 - Передняя/правая сторона; Индикаторы; Разъем IR IN; Ввод сигналов для управления проектором.; Разъем REMOTE; Прочее
3 Передняя/правая сторона Индикаторы a Индикатор ON/STANDBY (стр. 37) b Индикатор WARNING (стр. 37) Разъемы c Разъем LAN (стр. 33) d Разъем HDMI 1/HDMI 2 (стр. 10) e Разъем TRIGGER 1/TRIGGER 2 (стр. 30) f Разъем IR IN Ввод сигналов для управления проектором. g Разъем REMOTE Используется для подключе...
Страница 6 - Установка устройства; Вид сверху; Соединения и подготовка
6 Установка устройства Расстояние для установки между устройством и экраном различается в зависимости от размера экрана, а также от того, используются ли функции сдвига объектива. Установите это устройство таким образом, чтобы оно соответствовало размеру экрана. Для получения дополнительной информац...
Страница 7 - Чтобы сделать изображение больше, нажмите
7 В зависимости от расположения установки устройства, возможно, не удастся управлять устройством с помощью пульта дистанционного управления. В этом случае направьте пульт дистанционного управления на датчик дистанционного управления устройства или экрана. 1 После подключения кабеля питания переменно...
Страница 8 - Регулировка вертикального положения; Нажмите; Вид сбоку
8 5 Отрегулируйте положение изображения.Нажмите кнопку LENS ADJUSTMENT (SHIFT), чтобы отобразить окно регулировки “Сдвиг объект.” (тестовый образец). Отрегулируйте надлежащее положение изображения с помощью кнопки M / m / < / , . Совет При каждом нажатии кнопки тестовый образец исчезает. При регу...
Страница 10 - При подключении выполните следующие действия:; • См. инструкции по эксплуатации подключенного оборудования.
10 Подключение к видеооборудованию или компьютеру При подключении DVD-проигрывателя/записывающего устройства, проигрывателя/записывающего устройства Blu-ray Disc или PlayStation ® , оснащенных выходом HDMI, ко входу HDMI устройства обеспечивается изображение высокого качества. При подключении выполн...
Страница 11 - которого следует выполнять проецирование.; Нажмите кнопку; Регулировка/настройка функций 3D; Проецирование; Выключение питания
11 Проецирование изображения 1 Включите устройство и оборудование, подключенное к устройству. 2 Нажмите INPUT для отображения панели входа на экране. 3 Выберите оборудование, с которого следует отображать изображения.Нажимайте повторно INPUT или нажмите M / m / (ввод) для выбора оборудования, с кото...
Страница 12 - Повернитесь к экрану.; Меры предосторожности при использовании; • Вблизи устройства расположены другие; Диапазон связи 3D-очков; Вид сверху или сбоку; Отобразится панель выбора Полож. изображ.; Использование 3D-очков
12 1 Включите 3D-очки и зарегистрируйте их на устройстве.Для получения дополнительной информации о том, как зарегистрировать 3D-очки см. инструкции по эксплуатации, прилагаемые к 3D-очкам. 2 Наденьте 3D-очки. 3 Повернитесь к экрану. Меры предосторожности при использовании В следующих случаях может н...
Страница 13 - Изображение движущегося объектива
13 Изображение движущегося объектива На следующем примере изображения с форматным соотношением 1.78:1 (16:9) и 2.35:1 проецируются на экране 2.35:1. • После выбора и подтверждения положения объектива объектив начнет движение. Не прикасайтесь к объективу и не располагайте ничего рядом, в противном сл...
Страница 15 - Нажмите одну из кнопок CALIBRATED PRESET.
15 Выбор режима просмотра изображений Можно выбрать режим просмотра изображений, который наилучшим образом подходит к типу видеоисточника или условиям помещения.Можно сохранить и использовать различные режимы предварительных настроек для изображений 2D/3D соответственно. Нажмите одну из кнопок CALIB...
Страница 16 - Использование меню
16 Дисплеи меню, приведенные в качестве пояснений, могут отличаться от имеющегося дисплея меню. Управление с помощью меню В устройстве предусмотрено экранное меню для выполнения различных регулировок и настроек. Если выбрать пункт меню, после имени которого показана стрелка ( B ), появляется следующ...
Страница 17 - Закрытие меню
17 4 Выполните настройку или регулировку пункта. При регулировке уровня Нажмите кнопку M / , для увеличения значения и нажмите кнопку m / < для уменьшения значения.Нажмите , чтобы сохранить настройку и восстановить оригинальный экран меню. При изменении настройки Нажмите M / m , чтобы изменить на...
Страница 18 - Меню Изображ. используется для настройки изображения.
18 Меню Изображ. Меню Изображ. используется для настройки изображения. В зависимости от типа входного сигнала эти элементы могут быть недоступны или их не удастся отрегулировать. Для получения дополнительной информации см. раздел “Входные сигналы и позиции регулировки/настроек” (стр. 42).Названия пу...
Страница 23 - Меню Улучшенное изображ.
23 Меню Улучшенное изображ. Можно отрегулировать цветовые пробелы, вызванные продолжительным использованием. • Автокалибровка используется для относительно грубой калибровки. Не гарантируется совпадение настроек цвета с заводскими значениями по умолчанию. • Цвета проецируются автоматически при выпол...
Страница 24 - Меню Экран; Можно настроить размер изображения, форматное соотношение и т.д.
24 Меню Экран Можно настроить размер изображения, форматное соотношение и т.д. В зависимости от типа входного сигнала эти пункты могут быть недоступны. Для получения дополнительной информации см. раздел “Входные сигналы и позиции регулировки/настроек” (стр. 42). Названия пунктов в скобках указывают ...
Страница 26 - Меню Настройка
26 Меню Настройка Меню Настройка используется для изменения заводских настроек про умолчанию и т.д. Настраиваемые элементы Описание Состояния Используется для выбора, будут ли отображаться экранные индикаторы. Вкл : отображение экранных сообщений и меню. Выкл: выключение экранных индикаторов, кроме ...
Страница 27 - Меню Функция
27 Меню Функция Меню Функция используется для изменения настроек различных функций устройства. Настраиваемые элементы Описание 3D-настройки Можно изменить настройки функции 3D. Выб. отобр. 2D-3D Для переключения видеоизображения на “2D” или “3D”. Авто: отображение 3D-видеоизображений при входе сигна...
Страница 29 - Элементы, заблокированные с помощью функции Блок. настроек
29 Группа 1 Группа 2 Элементы, заблокированные с помощью функции Блок. настроек Меню Изображ. СбросЕстест. изображ.Установка усоверш. диафр. и лазераУлучшение контр.MotionflowКонтрастЯркостьЦветностьОттенокЦвет. темп.РезкостьNRMPEG NRПлавный переходРежим фильмаГамма-корр.Корр. цветностиЧистый белыйx...
Страница 30 - Меню Монтаж; Меню Монтаж используется для изменения настроек установки.
30 Меню Монтаж Меню Монтаж используется для изменения настроек установки. Настраиваемые элементы Описание Перевер.изобр Переворачивает изображение на экране горизонтально и/или вертикально. Гориз-вертик.: изображение переворачивается по горизонтали и вертикали. Горизонт.: изображение переворачиваетс...
Страница 32 - Меню Информация; Память для предварительной настройки
32 Меню Информация В меню “Информация” отображаются наименование модели, серийный номер, тип/формат входного сигнала, версия ПО и суммарное количество часов использования источника света. Не удастся выполнить настройку и внести изменения на экранах, перечисленных выше. Данное устройство имеет данные...
Страница 33 - Подсоедините кабель LAN.; При подключении по адресу IPv6; Использование сетевых функций
33 Подключение к сети позволяет использовать следующие функции:• Проверка текущего состояния устройства в веб- браузере. • Выполнение настроек сети для устройства.• Мониторинг сети и управление с помощью протокола управления (Реклама, ADCP, AMX DDDP (динамический протокол обнаружения устройств), Cre...
Страница 34 - Переключение страниц
34 Использование окна управления Нажмите одну из кнопок переключения страниц, чтобы открыть требуемую страницу настроек. Можно ограничить доступ пользователя к определенным страницам. Administrator: доступ ко всем страницам User: доступ ко всем страницам, за исключением страницы Setup При первом отк...
Страница 35 - Поиск и устранение неисправностей; Питание; Устранение ошибок
35 Поиск и устранение неисправностей Если устройство работает неустойчиво, попробуйте выполнить диагностику и исправить проблему с помощью следующих инструкций. Если проблему не удастся устранить, обратитесь к квалифицированному персоналу Sony. Питание Изображение Устранение ошибок Симптом Вероятная...
Страница 37 - Об индикаторах
37 Об индикаторах Индикатор ON/STANDBY или WARNING загорается или мигает при наличии какой-либо неисправности проектора. Если симптомы остаются даже после выполнения вышеуказанных действий, обратитесь к квалифицированному персоналу компании Sony.Если индикатор начинает мигать иначе, чем описано выше...
Страница 38 - Список сообщений; Предупреждающие сообщения
38 Список сообщений Предупреждающие сообщения Предостерегающие сообщения Симптом Вероятная причина и метод устранения Стр. Выс. темп.! Свет выкл. чер. 1 мин. Выключение питания. – Убедитесь в том, что вентиляционные отверстия не заблокированы. 3, 4 Частота вне диапазона! Частота вне диапазона. Подай...
Страница 39 - О функции 3D-имитации; • Используйте функцию 3D-имитации с учетом; Информация о товарных знаках; • “PlayStation” является зарегистрированным
39 Обновление программного обеспечения Можно загрузить файлы для обновления программного обеспечения устройства. Скопируйте загруженные файлы на накопитель USB, вставьте накопитель USB в разъем USB устройства, затем выполните обновление.Для использования обновленных функций вставьте накопитель USB в...
Страница 40 - Технические характеристики
40 Технические характеристики • Для массы и размеров указаны приблизительные значения.• Не все дополнительные принадлежности доступны во всех странах и регионах. Обратитесь к местному уполномоченному дилеру Sony. • Информация о дополнительных аксессуарах в этом руководстве является актуальной по сос...
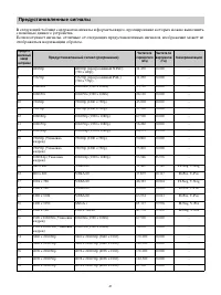
Страница 41 - Предустановленные сигналы
41 В следующей таблице содержатся сигналы и форматы видео, проецирование которых можно выполнить с помощью данного устройства.Если поступают сигналы, отличные от следующих предустановленных сигналов, изображение может не отображаться надлежащим образом. Предустановленные сигналы Предуста- новленный ...
Страница 42 - Цифровой сигнал; Входные сигналы и позиции регулировки/настроек
42 Номера памяти предварительной настройки для каждого входного сигнала Цифровой сигнал * Некоторые входы цифрового сигнала с компьютера могут отображаться как номер памяти предварительной настройки компонентного сигнала или видеосигнала GBR. Доступные элементы в меню для регулировки различаются в з...
Страница 43 - Данное устройство поддерживает следующие типы 3D-сигналов.; Совместимые 3D-сигналы
43 z : можно отрегулировать/настроить –: невозможно отрегулировать/настроить*1: Для получения дополнительной информации см. следующие таблицы в разделе “Motionflow” (стр. 46). Меню Экран z : можно отрегулировать/настроить –: невозможно отрегулировать/настроить*1: Для получения дополнительной информа...
Страница 44 - Они указаны в следующих таблицах.; D-сигналы и регулируемые элементы/элементы настройки
44 Некоторые элементы меню, возможно, не удастся отрегулировать/настроить в зависимости от 3D-сигналов.Те элементы, которые невозможно отрегулировать, не показаны в меню. Они указаны в следующих таблицах. z : можно отрегулировать/настроить –: невозможно отрегулировать/настроить*1: Параметр “Динам. у...
Страница 45 - Режим форматного соотношения
45 Элементы, которые можно выбрать, различаются в зависимости от типа входного сигнала или 3D-формата.Для получения дополнительной информации см. следующие таблицы. Те позиции, которые невозможно выбрать, не показаны в меню. 2D *1: Не отображается в меню с фиксированным значением “Нормальный”. 3D Ре...
Страница 46 - Motionflow
46 Элементы, которые можно выбрать, различаются в зависимости от типа входного сигнала или 3D-формата.Для получения дополнительной информации см. следующие таблицы. Те позиции, которые невозможно выбрать, не показаны в меню. 2D 3D Motionflow Принимаемые сигналы 1920 × 1080 1280 × 720 720 × 480 720 ×...
Страница 47 - Условия сохранения позиций регулировки/настроек
47 Каждый регулируемый/настраиваемый элемент хранится отдельно для каждого входного разъема. Для получения дополнительной информации см. следующие таблицы. Номера памяти предварительной настройки для каждого входного сигнала Меню Изображ. Условия сохранения позиций регулировки/настроек Вход Номера п...
Страница 53 - Paзмepы; Передняя часть; Верхняя часть; Единицы измерения: мм
53 Paзмepы Передняя часть Единицы измерения: мм Верхняя часть Единицы измерения: мм 223 230 128 560 280 280 Центр объектива 496 L’: расстояние между передней частью объектива (центр) и передней частью корпусаVPLL-Z7008 (дополнительный объектив): от 43,4 мм (теле) до 69,5 мм (широкий)VPLL-Z7013 (стан...
Страница 55 - Крепление опоры подвески проектора PSS-H10; Вид спереди
55 Крепление опоры подвески проектора PSS-H10 Вид спереди Единицы измерения: мм Вид сбоку Единицы измерения: мм 150 75 8 Потолок Нижняя поверхность монтажного кронштейна Центр объектива 175 128 Центр опорной стойки Передняя часть корпуса 496 263,3 218,3 130 45
Страница 56 - Отверстия для потолочного крепления
56 Вид сверху Единицы измерения: мм Отверстия для потолочного крепления Используйте винты длиной от 5,3 мм (минимум) до 7,0 мм (максимум) для потолочного крепления.Рекомендованный момент затяжки (усилие при повороте винта по направлению вращения): 1,4 ± 0,2 Н-м Передняя часть корпуса 263,3 218,3 130...