Соковыжималки Bosch MCP 72GMB - инструкция пользователя по применению, эксплуатации и установке на русском языке. Мы надеемся, она поможет вам решить возникшие у вас вопросы при эксплуатации техники.
Если остались вопросы, задайте их в комментариях после инструкции.
"Загружаем инструкцию", означает, что нужно подождать пока файл загрузится и можно будет его читать онлайн. Некоторые инструкции очень большие и время их появления зависит от вашей скорости интернета.

13
en
Disposal
Disposal
J
Dispose of packaging in an environ-
mentally-friendly manner. This
appliance is labelled in accordance
with European Directive 2012/19/EU
concerning used electrical and
electronic appliances (waste electrical
and electronic equipment – WEEE).
The guideline determines the frame-
work for the return and recycling
of used appliances as applicable
throughout the EU. Please ask your
specialist retailer about current
disposal facilities.
Guarantee
The guarantee conditions for this appliance
are as defi ned by our representative in the
country in which it is sold. Details regarding
these conditions can be obtained from
the dealer from whom the appliance was
purchased. The bill of sale or receipt must
be produced when making any claim under
the terms of this guarantee.
Changes reserved.
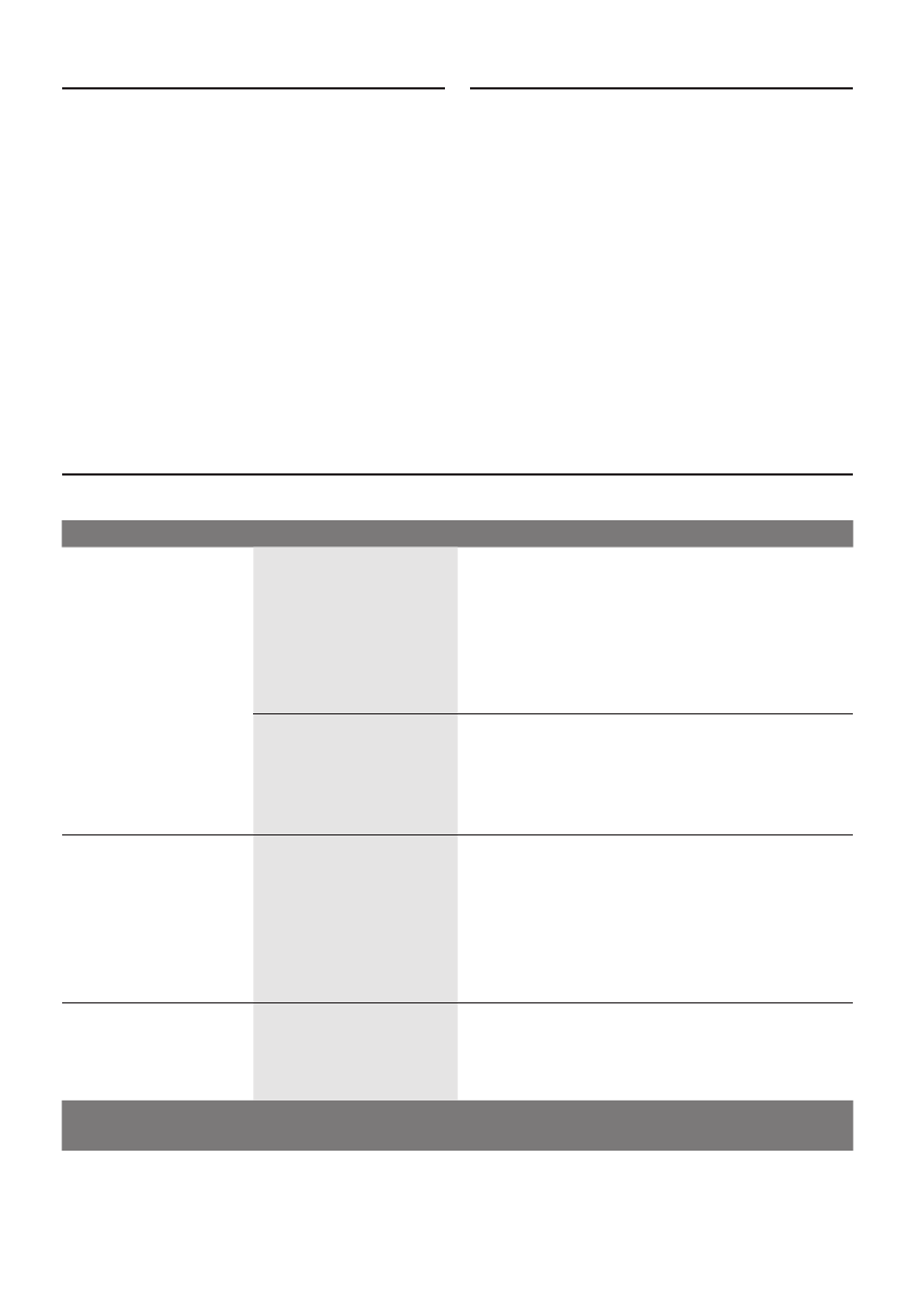
Simple troubleshooting
Problem
Cause
Remedy
Juice runs out of the
citrus press even
though this is being
used without the
glass carafe.
The discharge valve is
blocked by a foreign
object.
Stop the pressing procedure immediately.
Remove the pressing cone, the filter insert
and the collecting tray from the motor
unit. Remove the foreign objects from
the discharge valve of the collecting tray.
Reassemble the citrus press. Resume the
pressing procedure.
The filter insert is full. Stop the pressing procedure immediately.
Remove the pressing cone and the filter
insert from the motor unit and clean them.
Reassemble the citrus press. Resume the
pressing procedure.
The glass carafe
overflows during the
pressing procedure.
Too many fruits have
been pressed.
Stop the pressing procedure immediately.
Fully clean the appliance and allow all parts
to dry.
X
"Care and daily cleaning" see
page 12
Fully assemble the citrus press and position
on the empty glass carafe. Resume the
pressing procedure.
The pressing cone
changes the rotation
direction in rapid
succession.
The pressure on the
pressing cone is too
high.
Reduce the pressure on the pressing cone
until the pressing cone rotates normally
once more.
If you are unable to solve the problem, always call the hotline!
You will find the telephone numbers at the back of these instructions.