Синтезаторы Casio AP-75 - инструкция пользователя по применению, эксплуатации и установке на русском языке. Мы надеемся, она поможет вам решить возникшие у вас вопросы при эксплуатации техники.
Если остались вопросы, задайте их в комментариях после инструкции.
"Загружаем инструкцию", означает, что нужно подождать пока файл загрузится и можно будет его читать онлайн. Некоторые инструкции очень большие и время их появления зависит от вашей скорости интернета.

- 25 -
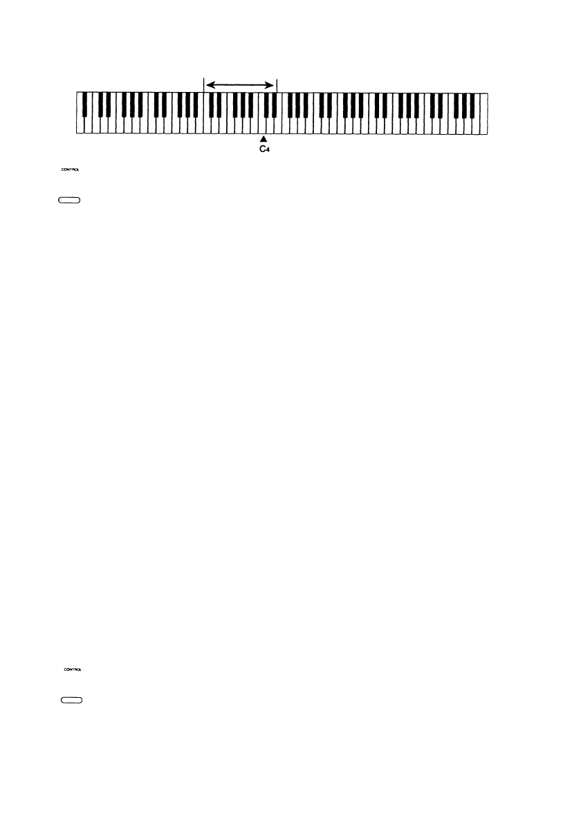
3 . Óäåðæèâàÿ â íàæàòîì ñîñòîÿíèè êíîïêó CONTROL [Óïðàâëåíèå], âûáå-
ðèòå îñíîâíîé êàíàë, íàæàâ îäíó èç êëàâèø íà êëàâèàòóðå, êàê óêàçàíî
í è æ å .
(îò C
3
ð
Êàíàë 1 äî D
#
4
ð
Êàíàë 16)
l
 êà÷åñòâå îñíîâíîãî êàíàëà âû ìîæåòå âûáðàòü ëþáîé êàíàë èç 16-òè âîç-
ì î æ í û õ .
4 . Îòïóñòèòå êíîïêó CONTROL, ÷òîáû çàâåðøèòü óñòàíîâêó îñíîâíîãî êà-
í à ë à .
Ïåðåñûëêà äàííûõ èç ïàìÿòè ïèàíèíî
Âñÿêèé ðàç, êîãäà âû âîñïðîèçâîäèòå çàïèñàííóþ â ïàìÿòü âàøåãî ïèàíèíî ïåñíþ, ïèàíèíî
îñóùåñòâëÿåò ïåðåäà÷ó ïåñåííûõ äàííûõ â êà÷åñòâå äàííûõ ñèñòåìû MIDI. Ìåëîäèè,
êîòîðûå èãðàþò íåïîñðåäñòâåííî íà êëàâèàòóðå, è ìåëîäèè, çàïèñàííûå â ïàìÿòü, ïåðåäàþòñÿ
ïî ðàçëè÷íûì êàíàëàì, êàê óêàçàíî íèæå:
l
Ìåëîäèè, èñïîëíÿåìûå íà êëàâèàòóðå
Îñíîâíîé êàíàë
l
Ìåëîäèè, çàïèñàííûå â ïàìÿòü (SONG A/B [Ïåñíÿ À/Á])
Îñíîâíîé êàíàë + 1
Ï Ð È Ì Å × À Í È ß
l
Åñëè â êà÷åñòâå îñíîâíîãî êàíàëà âû çàäàäèòå Êàíàë 16, òî ìåëîäèè, çàïèñàííûå â ïàìÿòè
ïèàíèíî, áóäóò ïåðåäàâàòüñÿ ïî Êàíàëó 1.
l
Çàïèñàííûå â ïàìÿòü äàííûå, êîòîðûå îòíîñÿòñÿ ê ïåäàëüíûì ýôôåêòàì, èìåþò ñèëó
òîëüêî âî âðåìÿ âîñïðîèçâåäåíèÿ ìåëîäèé, çàïèñàííûõ â ïàìÿòü. Íà èãðó íà êëàâèàòóðå
ýòè ïåäàëüíûå óñòàíîâêè íå îêàçûâàþò íèêàêîãî âëèÿíèÿ. Òî÷íî òàê æå, ïåäàëüíûå
ýôôåêòû, èñïîëüçóåìûå ïðè èãðå íà êëàâèàòóðå, íå îêàçûâàþò âëèÿíèÿ íà âîñïðîèçâåäåíèå
çàïèñàííûõ â ïàìÿòü ìåëîäèé.
Ïðèåì äàííûõ ïî ìíîæåñòâó êàíàëîâ (ìíîãîòåìáðîâûé
ð å æ è ì )
Âñÿêèé ðàç, êîãäà âû àêòèâèçèðóåòå ìíîãîòåìáðîâûé ðåæèì íà âàøåì ïèàíèíî, âû ìîæåòå
ñâîáîäíî ïðèñâàèâàòü òîíà ëþáîìó èç 16 êàíàëîâ ñèñòåìû MIDI. Ýòî îçíà÷àåò, ÷òî âû
ìîæåòå ïîäêëþ÷èòüñÿ ê âíåøíåìó ìíîãîäîðîæå÷íîìó ñåêâåíñîðó è âîñïðîèçâîäèòü äî 8
òîíîâ îäíîâðåìåííî.
Ìíîãîòåìáðîâûé ðåæèì àâòîìàòè÷åñêè îòêëþ÷àåòñÿ âñÿêèé ðàç, êîãäà âû âêëþ÷àåòå ïèòàíèå
ïèàíèíî. Äëÿ òîãî, ÷òîáû àêòèâèçèðîâàòü ìíîãîòåìáðîâûé ðåæèì, ïîëüçóéòåñü îïèñàííîé
íèæå ïðîöåäóðîé. Äëÿ ïîëó÷åíèÿ ïîäðîáíîé èíôîðìàöèè î òîì, êàê ïðèñâàèâàòü òîíà êàæ-
äîìó êàíàëó, ñìîòðèòå ðàçäåë Êàê ïðèñâàèâàòü òîíà êàíàëàì íà ñòð.26.
Ï Ð È Ì Å × À Í È ß
l
Äëÿ îäíîâðåìåííîãî ïîëó÷åíèÿ äàííûõ ìîãóò èñïîëüçîâàòüñÿ äî 16 êàíàëîâ (îò Êàíàëà 1
äî Êàíàëà 16).
l
Êàíàë äëÿ ïîëó÷åíèÿ èíôîðìàöèè íåëüçÿ âûáðàòü çàðàíåå. Êîãäà âîçíèêíåò íåîáõîäè-
ìîñòü îòìåíèòü óñòàíîâêó êàíàëà, ñäåëàéòå ýòî íà ïåðåäàþùåì óñòðîéñòâå.
Êàê àêòèâèçèðîâàòü ìíîãîòåìáðîâûé ðåæèì
1 . Íàæìèòå è óäåðæèòå â íàæàòîì ñîñòîÿíèè êíîïêó CONTROL [Óïðàâëå-
íèå]. Îáðàòèòå âíèìàíèå íà òî, ÷òî íåîáõîäèìî óäåðæèâàòü êíîïêó CON-
TROL [Óïðàâëåíèå] â íàæàòîì ñîñòîÿíèè, âûïîëíÿÿ îïèñàííûå â ïóíêòàõ
2 è 3 îïåðàöèè (ñìîòðèòå íèæå).
l
 ýòî âðåìÿ äîëæåí íà÷àòü ìèãàòü èíäèêàòîð íàä êíîïêîé PIANO 1 [Ïèà-
íèíî 1].