Страница 2 - Содержание
2 Меры предосторожности ................................. 5 Перед началом эксплуатации ................6 Проверка наличия принадлежностей ................ 6Органы управления и компоненты .................... 7 Корпус устройства .................................................. 7ЖК-дисплей ............
Страница 5 - ПРЕДУПРЕЖДЕНИЕ; Меры предосторожности
5 • Не допускайте попадания воды на устройство. • Не извлекайте батарею во время работы устройства. • Не роняйте устройство и не подвергайте его другим сильным ударам. • Не используйте устройство при слишком низких или слишком высоких температурах (ниже 5°С и выше 35°С). • Microsoft, Windows Media T...
Страница 6 - Проверка наличия принадлежностей; Перед началом эксплуатации; Диктофон
6 Убедитесь в том, что в упаковочной коробке имеются следующие принадлежности. Проверка наличия принадлежностей Перед началом эксплуатации *1 Наушники с 4-штырьковой вилкой (например, наушники с дистанционным управлением) не могут исполь- зоваться с данным устройством. Диктофон Наушники *1 Фирменный...
Страница 7 - Органы управления и компоненты; Корпус устройства
7 Органы управления и компоненты Корпус устройства Встроенный микрофон Линейный вход/гнездо для микрофона Кнопка регулировки скорости воспроизведения (PLAY SPEED) (+/-) ЖК-дисплей Светодиодный индикатор записиКнопка выбора режима записи/повтора заданного фрагмента (SCENE/A-B) Кнопка записи (REC) Кно...
Страница 8 - Базовый экран
8 Базовый экран Одновременное отображение всех экранов невозможно. ЖК-дисплей Вы можете отрегулировать контрастность ЖК-дисплея. Регулировка контрастности дисплея (стр. 104) Режим записи с внешнего устройства Карта microSDСкорость передачи в битах (во время записи/воспроизведения MP3-файла или воспр...
Страница 9 - Информация об экранах; Использование экрана списка
9 Информация об экранах Базовый экран Этот экран отображается при включении дик-тофона. Включение устройства (стр. 19) Экран меню Этот экран появляется при нажатии кнопки «MENU/PLAY LIST» во время отображения ба-зового экрана.Вы можете использовать этот экран для из-менения режима записи, установки ...
Страница 10 - Использование разъема USB
10 Выдвиньте разъем USB из устройства для подсоединения его к ПК или USB-адаптеру переменного тока. Как выдвинуть разъем USB Сдвиньте ползунковый переключатель разъ- ема USB в направлении стрелки, чтобы от-крыть крышку разъема USB. Слегка нажимая на рычаг, сдвиньте переключатель до щелчка. Как задви...
Страница 11 - Информация о файлах/папках; Папки для записи; Имена записываемых файлов
11 Ваш диктофон имеет следующие папки для записи: папки «MIC» (с A по D) для хранения записей, созданных с использованием встроенного микрофона, и папку «LINE» для хранения записей, созданных с использованием внешних источников через линейный вход. Информация о файлах/папках Папки для записи • Файл ...
Страница 12 - Папка «MUSIC»
12 • Устройство не отображает номер файла и тип папки. Однако вы можете просмотреть эту информацию на ПК, подключив к нему диктофон. • Если вы при помощи ПК измените имя файла, записанного данным устройством, воспроизведение этого файла из исходной папки (папки от «MIC_A» до «MIC_D» или «LINE») стан...
Страница 13 - Другие папки
13 Папка «RECYCLE» ( ) Это папка корзины. Когда функция корзины включена, стираемые из памяти диктофона файлы перемещаются в эту папку. Это означает, что, если вы случайно сотрете файл, вы сможете восстановить его из этой папки. О функции корзины (стр. 68) Папка «DATA» Эта папка не видна на диктофон...
Страница 14 - Выбор папки
14 Включите диктофон. Включение устройства (стр. 19) Нажмите кнопку «FOLDER/INDEX». При помощи кнопок «VOL» (+/-) или / выберите желаемую папку. С A по D: Папки, содержащие файлы, записанные с исполь-зованием встроенного микрофона.L: Папка, содержащая файлы, записанные через линейный вход.M: Папка, ...
Страница 15 - Отображение списка; Значки, отображаемые на экране списка
15 Экран списка отображает папки и файлы в виде древа. Вы можете использовать этот экран для быстрого выбора папки или файла. Отображение списка Экран списка отобразится при нажатии кнопки «LIST» во время отображения базового экрана. По умолчанию экран списка отображает файл, выбранный на базовом эк...
Страница 16 - Функции кнопок во время отображения экрана списка; Перемещение курсора вверх.
16 Для выбора файла или папки вы можете использовать кнопки «VOL» (+/-) и / . Функции кнопок во время отображения экрана списка Перемещение курсора вверх. Перемещение курсора вниз. Возврат на один уровень. Открытие выбранной папки. Включение воспроизведения выбранного файла.Если в выбранной папке не...
Страница 17 - Переключение между внутренней памятью и картой microSD
17 Если в устройство вставлена карта microSD и вы хотите использовать ее для записи, воспроизведения или стирания файлов, вы можете переключить устройство с внутренней памяти на карту. Загрузка/извлечение карты microSD (стр. 22) Включите диктофон. Установка батареи (стр. 18) Нажмите кнопку «FOLDER/I...
Страница 18 - Установка батареи; Подготовка к работе
18 Вставьте прилагаемую щелочную батарею «AAA» в диктофон, как описано ниже: Откройте крышку батарейного отсека. Сдвиньте крышку батарейного отсека в направлении стрелки. Вставьте прилагаемую щелочную батарею «AAA» и закройте крышку. • При установке батареи соблюдайте полярность (+/-). • Если вы изв...
Страница 20 - Функция возобновления работы
20 Вы можете проверить оставшийся заряд батареи на дисплее. При появлении инди-кации как можно скорее замените батарею новой. • При разрядке батареи на дисплее появляется сообщение «LOW BATTERY PLEASE CHANGE THE BATTERY» [Батарея разряжена. Пожалуйста, замените батарею], а затем дисплей выключится. ...
Страница 21 - Предотвращение случайного нажатия кнопки (функция блокировки)
21 Если вы положите диктофон в сумку или в карман, любое движение может привести к случайному нажатию кнопки или перемещению переключателя, в результате чего будет потребляться энергия батареи. Для пре-дотвращения подобной ситуации мы рекомендуем вам перед помещением диктофона в сумку или карман вкл...
Страница 22 - Загрузка/извлечение карты microSD
22 Помимо внутренней памяти устройства, вы также можете использовать карту microSD. Включите диктофон. Включение устройства (стр. 19) Откройте крышку слота для карты microSD. Как загрузить карту microSD Вставьте карту microSD (приобретается отде-льно) в слот для карты, сориентировав ее, как показано...
Страница 24 - Обращение с картой microSD; Форматирование внутренней памяти или карты microSD (стр. 76)
24 Обращение с картой microSD • Отформатируйте карту microSD перед ее использованием на данном устройстве. Обязательно форма- тируйте карту на самом устройстве. Использование карт microSD, отформатированных на ПК или другом устройствах, может оказаться невозможным. Форматирование внутренней памяти и...
Страница 27 - Переключение отображаемой информации; Дисплей
27 Последовательное нажатие кнопки «STOP/BACK» при отображении базового экрана переключает отображае-мую информацию в следующем порядке (в качестве примера используется папка «MIC_A»). Порядковый номер экрана Отображаемая информация Если имеется воспроизводимый файл Если нет воспроизводимого файла 1...
Страница 28 - О возможном времени записи; Запись; Что вам нужно знать, прежде чем осуществлять запись; О шуме ветра
28 Данное устройство оборудовано высокочувствительным встроенным микрофоном. Поэтому, если ветер или ваше дыхание будут воздействовать на микрофон, их звук также будет записан.Во избежание этого мы рекомендуем вам перед началом записи включить фильтр верхних частот ( стр. 88). О возможном времени за...
Страница 29 - Использование внешнего микрофона; Подключение к другим аудиоустройствам; О режиме записи с внешнего устройства (линейный вход/микрофон)
29 Для записи с внешнего устройства вы можете использовать переключатель «LINE/MIC» и выбрать линейную запись (LINE) или запись с микрофона (MIC). Использование внешнего микрофона Сдвиньте переключатель «LINE/MIC» в положение «MIC». Для режи-ма записи с внешнего устройства будет задана установка «MI...
Страница 30 - Выбор режима записи; Использование функции выбора режима записи
30 Данное устройство предлагает вам несколько режимов записи для различных окружающих условий. Каждый режим записи представляет собой комбинацию настроек различных параметров записи. Вы можете выбрать режим, наиболее подходящий для конкретных условий, в которых вы выполняете запись. Выбор режима зап...
Страница 31 - Включите; Нажимайте; Нажмите кнопку «
31 Включите диктофон. Включение устройства (стр. 19) Нажмите кнопку «SCENE/A-B». • На момент отгрузки с завода для режима записи задана установка «OFF» [Выкл.]. Нажимайте кнопку / для выбора желае- мого режима записи. • После выбора режима записи вы можете нажать кнопку «MENU/PLAY LIST» для просмотр...
Страница 33 - Нажимайте кнопки
33 Отрегулируйте уровень записи (только если выбран режим записи «MUSIC» или если вы-ключена авторегулировка уровня микрофона). Используйте следующую процедуру для регулировки уровня записи. 햲 Нажмите кнопку «REC». На дисплее отобразится экран режима ожидания записи. • На этом этапе запись еще не на...
Страница 35 - Нажмите кнопку «REC».
35 Нажмите кнопку «REC». Загорится светодиодный индикатор записи, и запись на-чнется. • Во время записи не прикасайтесь к устройству и не пере- мещайте его; в противном случае будут записаны звуки, вызванные прикосновением к устройству. • Во время записи вы можете нажать кнопку «REC» для пе- ревода ...
Страница 36 - Переключение между встроенным микрофоном и внешним микрофоном
36 Если вы подключите внешний стереофонический микрофон к линейному входу/гнезду для микрофона с целью записи, то в зависимости от установки режима микрофона в меню формат записи (стерео/моно) изменится. Кроме того, если во время записи с использованием внешнего стереофонического микрофона вы отсоед...
Страница 37 - О предустановленных режимах эквалайзера; Настройка эквалайзера записи
37 При помощи функции эквалайзера записи вы можете выполнять запись с желаемым качество звука, например усилить диапазон нижних или средних частот. • Эквалайзер записи может быть настроен для записи с использованием микрофона (в папки с A по D). • Эквалайзер записи может быть настроен только в режим...
Страница 38 - Выбор предустановленного режима эквалайзера
38 Выбор предустановленного режима эквалайзера Включите диктофон. Включение устройства (стр. 19) Выключите авторегулировку уровня микрофо- на и выберите режим записи «MUSIC». Изменение установки «MIC ALC» (стр. 86) Выберите папку для записи. Выбор папки (стр. 14) • Выберите папку от A до D. Нажмите ...
Страница 41 - Запись с внешнего устройства; Соедините разъем аудиовыхода внешнего уст-
41 Нажмите кнопку « /OK». Нажмите кнопку «MENU/PLAY LIST». • Если во время выполнения этой процедуры вы дважды нажмете кнопку «STOP/BACK», на дисплее снова отобразится экран режима ожидания записи. • Заданные вами настройки пользовательского режима «USER» не будут удалены при выключении диктофона ил...
Страница 43 - Воспроизведение; Воспроизведение файла
43 Воспроизведение Воспроизведение файла Используйте следующую процедуру для воспроизведения файла, записанного на данном устройстве. Включите диктофон. Включение устройства (стр. 19) Нажмите кнопку «LIST». Нажмите кнопку «FOLDER/INDEX» для выбора папки, содержащей файл, который вы хотите воспроизве...
Страница 45 - Индикация дисплея во время воспроизведения
45 Во время воспроизведения экраны на ЖК-дисплее меняются в зависимости от папки, в которой находится воспроизводимый файл. Одновременное отображение всех экранов невозможно. Папки от «MIC_A» до «MIC_D» (с A по D), «LINE» (L) Индикация дисплея во время воспроизведения * Отображается во время воспрои...
Страница 47 - Переход вперед или назад на заданный отрезок времени
47 Переход вперед или назад на заданный отрезок времени Если для установки «TIME SKIP» был задан отрезок времени, то при нажатии кнопки / во время вос- произведения будет происходить переход вперед или назад на заданный отрезок времени. Настройка перехода на заданный отрезок времени (стр. 95) • Если...
Страница 48 - Изменение скорости воспроизведения
48 При изучении иностранного языка или при обучении игре на музыкальном инструменте у вас может возникнуть желание замедлить воспроизведение записанных файлов. С другой стороны, вы можете захотеть ускорить медленные участки записи совещания. Данное устройство позволяет вам регулировать скорость восп...
Страница 49 - Нажмите кнопку «SCENE/A-B» в конечной точке; Повторное воспроизведение заданного фрагмента A-B
49 Во время воспроизведения вы можете задать фрагмент файла (от точки A до точки B), а затем повторно вос-производить этот фрагмент. Включите воспроизведение файла, фрагмент которого вы хотите воспроизводить повторно. Воспроизведение файла (стр. 43) Нажмите кнопку «SCENE/A-B» в начальной точ- ке жел...
Страница 50 - Настройка воспроизведения фразы (возврат на; Воспроизведение фразы
50 Эта функция позволяет вам во время воспроизведения возвращать позицию воспроизведения записи назад на заданное количество секунд. Она полезна при прослушивании коротких музыкальных фраз или для возвраще-ния к пропущенному важному фрагменту аудиозаписи. Во время воспроизведения нажмите кнопку « /O...
Страница 51 - Включите устройство и нажмите кнопку «MENU/; Воспроизведение с заданного момента времени
51 Вы можете задать позицию в файле для начала воспроизведения, указав момент времени. Включите устройство и нажмите кнопку «MENU/ PLAY LIST» (можно нажать эту кнопку во время воспроизведения). При помощи кнопки «VOL» (+/-) выберите «PLAY MENU» [Меню воспроизведения], а за-тем нажмите кнопку « /OK»....
Страница 52 - О файлах с «MYLIST1» по «MYLIST5»; Использование списков воспроизведения (только в папке «MUSIC»); Сортировка файлов в папке «MUSIC»; Воспроизведение файлов из папки «MUSIC»
52 В папке «MUSIC» (M) хранятся файлы форматов MP3 и WMA, перенесенные с ПК, а также файлы формата WAV, записанные на данном устройстве. Вы можете создать в папке «MUSIC» (M) подкаталоги для хранения и воспроизведения файлов. Использование программы Windows Media Player для переноса музыкальных файл...
Страница 53 - Создание метки; Создание или удаление метки; Редактирование
53 Когда вы создадите метку в желаемой позиции файла, вы сможете легко перейти к этой позиции во время воспроизведения. Переход к следующей или предыдущей метке (стр. 46) Создание метки • Вы не можете создать метки в файлах, сохраненных в папке «MUSIC» (M), папке «LINE» (L) и папке «RECYCLE» ( ), а ...
Страница 54 - Удаление меток
54 Включите диктофон. Включение устройства (стр. 19) Выберите папку, содержащую файл, метки из которого вы хотите удалить. Выбор папки (стр. 14) Нажимайте кнопку / для выбора желае- мого файла. Нажмите кнопку «ERASE». Нажимайте кнопку «VOL» (+/-) для выбора «INDEX» [Метка], а затем нажмите кнопку « ...
Страница 56 - Включите воспроизведение файла, который; Разделение файла
56 Вы можете использовать эту функцию для разделения файла на две части. Это позволит вам избавиться от ненужных частей или выбрать только нужные. • Разделение файлов, сохраненных в папке «MUSIC» (M) и папке «RECYCLE» ( ), невозможно. • Для использования этой функции требуется свободное место во вну...
Страница 59 - Регистрация файла или папки в списке воспроизведения (MYLIST); для
59 В папке «MUSIC» (M) данного устройства изначально сохранено пять файлов списков воспроизведения. Вы можете редактировать файлы списков воспроизведения (с «MYLIST1.M3U» по «MYLIST5.M3U»). Списки воспро-изведения позволяют вам воспроизводить файлы, хранящиеся в папке «MUSIC» (M), в желаемом порядке...
Страница 61 - Удаление файла из списка воспроизведения (MYLIST)
61 Используйте следующую процедуру для удаления файла из списка воспроизведения. • При удалении файла из списка воспроизведения файл не стирается. Нажмите кнопку «FOLDER/INDEX», а затем на- жимайте кнопку «VOL» (+/-) или / для выбора одной из папок с «P1» по «P5». Нажми-те кнопку « /OK». Нажимайте к...
Страница 62 - Удаление всех файлов из списка воспроизведения (MYLIST)
62 Используйте следующую процедуру для удаления всех файлов из списка воспроизведения. • При удалении файла из списка воспроизведения файл не стирается. Нажмите кнопку «FOLDER/INDEX», а затем на- жимайте кнопку «VOL» (+/-) или / для выбора одной из папок с «P1» по «P5». Нажми-те кнопку « /OK». Нажми...
Страница 63 - Настройка таймера; Использование таймера
63 Вы можете настроить таймер для записи или воспроизведения файла или для включения звукового сигнала в заданное время. Процедуры настройки записи по таймеру и воспроизведения по таймеру несколько разли-чаются. Оставшийся заряд батареи (стр. 20) Настройка календаря (даты и времени) (стр. 25) Включи...
Страница 68 - О функции корзины; Стирание файлов
68 Если вы включите функцию корзины, то при стирании файла на данном устройстве он перемещается в папку «RECYCLE» ( ). Впоследствии вы можете восстановить файл из папки «RECYCLE» ( ). Эта функция очень полезна при случайном стирании файла.На момент отгрузки устройства с завода функция корзины включе...
Страница 69 - Когда в корзине нет файлов; Об экране функции корзины, когда эта функция включена; Когда в корзине есть файл; Номер файла в папке «RECYCLE»; Об имени файла, перемещенного в папку «RECYCLE»
69 Когда в корзине нет файлов Об экране функции корзины, когда эта функция включена При перемещении файла в папку «RECYCLE» его имя автоматически изменяется. Пример: Файл «001A_090320_1200.MP3» из папки «MIC_A» перемещается в папку «RECYCLE». 햲 К началу имени файла, перемещенного в папку «RECYCLE», ...
Страница 70 - Нажмите кнопку; Восстановление файла из папки «RECYCLE»
70 Выберите папку «RECYCLE» ( ). Выбор папки (стр. 14) Нажимайте кнопку / для выбора файла, который вы хотите восстановить, а затем на-жмите кнопку «ERASE». Появится меню функции корзины «RECYCLE BIN». • Вы можете нажать кнопку « /OK» для воспроизведения файлов в папке «RECYCLE». Нажмите кнопку «VOL...
Страница 71 - Очистка папки «RECYCLE»; Переключение между внутренней памятью и картой microSD (стр. 17)
71 • При восстановлении файла из папки «RECYCLE» его имя меняется, и он помещается в конец исходной папки. • Если в шаге на дисплее появится сообщение «* FOLDER FULL CANNOT RETURN» [Папка заполнена, вос-становление невозможно], это значит, что количество файлов в исходной папке достигло предела. В э...
Страница 72 - Стирание файла
72 Вы можете выбрать файл в папке и стереть его. • Если функция корзины выключена ( стр. 106), то после стирания файла восстановить его будет невоз- можно. Поэтому прежде, чем стирать файл, всегда проверяйте его содержимое, чтобы убедиться в том, что он вам больше не нужен. • Перед выполнением этой ...
Страница 74 - Стирание всех файлов в папке
74 Вы можете использовать следующую процедуру для стирания всех файлов в папке. • Если функция корзины выключена ( стр. 106), то после стирания файла восстановить его будет невоз- можно. Поэтому прежде чем стирать файл, всегда проверяйте его содержимое, чтобы убедиться в том, что он вам больше не ну...
Страница 76 - Форматирование внутренней памяти или карты microSD
76 При форматировании внутренней памяти устройства или карты microSD все файлы полностью удаляются без возможности восстановления, даже если включена функция корзины.По этой причине перед форматированием всегда проверяйте содержимое файлов во внутрен-ней памяти устройства или на карте microSD, чтобы...
Страница 78 - Выберите параметр, установку которого вы хо-; Как пользоваться меню; Меню
78 При помощи экрана меню вы можете изменять настройки устройства, а также использовать различные его функции. В этом разделе описаны основные действия по использованию меню.Пример: Изменение качества записи Включите устройство, и нажмите кнопку «MENU/PLAY LIST». Выберите раздел меню. Нажимайте кноп...
Страница 79 - Схема меню в режиме остановки устройства; Схема меню
79 Схема меню в режиме остановки устройства Когда устройство находится в режиме остановки и на дисплее отображается базовый экран, нажатие кнопки «MENU/PLAY LIST» отображает следующие меню. Схема меню * Установки, выделенные жирным шрифтом, представляют собой установки по умолчанию (на момент отгруз...
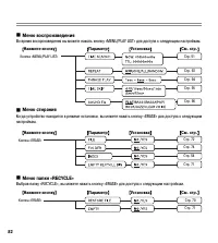
Страница 82 - Меню папки «RECYCLE»
82 Меню воспроизведения Во время воспроизведения вы можете нажать кнопку «MENU/PLAY LIST» для доступа к следующим настройкам. Меню стирания Когда устройство находится в режиме остановки, вы можете нажать кнопку «ERASE» для доступа к следующим настройкам. Нажмите кнопку Параметр Установка См. стр. Кн...
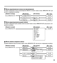
Страница 83 - Меню режима ожидания записи
83 Меню редактирования списков воспроизведения Во время отображения списка воспроизведения (MYLIST) вы можете нажать кнопку «MENU/PLAY LIST» для доступа к следующим настройкам. Меню редактирования режима записи Во время отображения экрана режима записи вы можете нажать кнопку «MENU/PLAY LIST» для до...
Страница 84 - Изменение установки качества записи; Включите устройство. Во время; Качество записи и возможное время за-
84 Изменение установки качества записи Вы можете изменить качество звука для записи с ис-пользованием микрофона или линейной записи. Эта возможность позволяет вам получить оптимальное качество звука для конкретной цели. Включите устройство. Во время отображения базового экрана на-жмите кнопку «MENU/...
Страница 85 - Изменение чувствительности микрофона
85 Изменение чувствительности микрофона Вы можете изменить чувствительность микрофо-на в соответствии с условиями записи. Изменяйте чувствительность микрофона, когда вам кажется, что записанный звук слишком тихий или слишком громкий. Включите устройство. Во время отображения базового экрана на-жмите...
Страница 86 - Изменение установки «MIC ALC»
86 «MIC ALC» означает «Автоматическая регулировка уровня сигнала микрофона». Используйте эту функцию при записи совещаний и бесед. Не используйте эту функцию при записи игры на музыкальных инструментах или звуков природы, когда вы хотите отрегулировать уровень записи вручную. Установка «MIC ALC» ON ...
Страница 87 - Изменение режима работы микрофона
87 Данное устройство оснащено встроенным ненаправленным микрофоном и вариомикрофоном. Вы можете вы-брать желаемый микрофон в соответствии с условиями записи. STEREO STEREO WIDE ZOOM Вид микрофона Ненаправленный микрофон Ненаправленный микрофон Вариомикрофон Функция усиленного стереоэффекта Выкл. Вкл...
Страница 88 - Настройка фильтра верхних частот
88 Фильтр верхних частот снижает уровень нижних частот для обеспечения четкого звучания записан-ных файлов. Эта функция полезна, когда вы хотите отфильтровать нежелательные звуки, например шум воздушного кондиционера при записи совещания. Включите устройство и нажмите кнопку «MENU/PLAY LIST». Нажима...
Страница 90 - Восстановление исходных настроек
90 OFF: Функция автоматического включения записи выключена. 5sec: Запись начинается через 5 секунд после на- жатия кнопки «REC». 10sec: Запись начинается через 10 секунд после нажатия кнопки «REC». 30sec: Запись начинается через 30 секунд после на- жатия кнопки «REC». Нажмите кнопку «MENU/PLAY LIST»...
Страница 91 - Включите устройство и нажмите; Использование функции «VAS»
91 Если функция «VAS» (Система записи, включаемой голосом) включена и устройство готово к записи, запись начнется автоматически, когда устройство обнаружит звук. Когда громкость звука упадет ниже определенного уровня, устройство автоматически перейдет в режим паузы (режим ожидания записи). • Запись ...
Страница 92 - Регулировка уровня обнаружения звука
92 Во время отображения базового экрана нажмите кнопку «REC». Когда устройство обнаружит звук, оно автоматически начнет запись. Когда звук перестанет обнаруживать-ся, устройство перейдет в режим паузы (режим ожи-дания записи); истекшее время записи и индикатор «VAS» на дисплее будут мигать. • Нажати...
Страница 93 - Использование меню воспроизведения (PLAY MENU)
93 Вы можете воспроизводить файлы повторно (повтор-ное воспроизведение). Эта функция позволяет вам повторно воспроизводить один файл или все файлы в папке – по порядку или в случайном порядке. Включите устройство и нажмите кнопку «MENU/PLAY LIST» (можно нажать эту кнопку во время воспро-изведения). ...
Страница 95 - Переход вперед или назад на заданный
95 Во время воспроизведения файла вы можете пере-мещаться вперед или назад на заданный отрезок времени. Эта функция позволяет вам быстро пере-ходить в желаемую позицию в файле или повторно воспроизводить определенный фрагмент файла. Включите устройство и нажмите кнопку «MENU/PLAY LIST» (можно нажать...
Страница 96 - Выбор режима звукового эквалайзера; Настройка звукового эквалайзера
96 Настроив звуковой эквалайзер, вы сможете слушать музыку с желаемым качеством звука. • Функция звукового эквалайзера работает только при воспроизведении с использованием стереофонических наушников. Выбор режима звукового эквалайзера Данное устройство имеет следующие семь предустановленных режимов ...
Страница 98 - Настройка функции выбора режима записи; Изменение настроек режима записи
98 Данное устройство имеет следующие четыре предустановленных режима записи, которые вы можете изме-нять в соответствии со своими предпочтениями. Вы также можете использовать три пользовательских режима (с «FAVORITE1» по «FAVORITE3») для создания и регистрации ваших собственных настроек записи. В сл...
Страница 101 - Использование меню общих настроек (COMMON MENU); Если вы выбрали «ON», нажимайте
101 Вы можете использовать этот пункт меню для выбо-ра звука, который будет звучать при нажатии кнопок устройства. Может быть выбран только звуковой сигнал, звуковой сигнал и голосовая подсказка или отсутствие звука. Включите устройство и нажмите кнопку «MENU/PLAY LIST». Нажимайте кнопку «VOL» (+/-)...
Страница 102 - Изменение установки типа батареи
102 Вы можете использовать этот пункт меню для вклю-чения или выключения функции светодиодного ин-дикатора записи. Включите устройство и нажмите кнопку «MENU/PLAY LIST». Нажимайте кнопку «VOL» (+/-) для выбора «COMMON MENU», а затем нажмите кнопку « /OK». Нажимайте кнопку «VOL» (+/-) для выбора «REC...
Страница 104 - Регулировка контрастности дисплея; Установка кода-пароля
104 Используйте эту функцию для регулировки контраст-ности дисплея. Вы можете выбрать один из 10 уров-ней контрастности. Включите устройство и нажмите кнопку «MENU/PLAY LIST». Нажимайте кнопку «VOL» (+/-) для выбора «COMMON MENU», а затем нажмите кнопку « /OK». Нажимайте кнопку «VOL» (+/-) для выбор...
Страница 106 - Введите; Для предотвращения
106 Нажимайте кнопку «VOL» (+/-) для выбора установки «SECURITY OFF», а затем нажмите кнопку « /OK». Введите код-пароль. Нажимайте кнопку / для выбора по- зиции, а затем нажимайте кнопку «VOL» (+/-) для выбора символа. Нажмите кнопку « /OK». • При отключении функции защиты значок блокировки воспроиз...
Страница 107 - Изменение языка меню
107 При выполнении этой операции для всех параметров устройства (кроме настроек календаря) восстанавли-ваются первоначальные настройки. • При восстановлении исходных настроек меню файлы, хранящиеся во внутренней памяти ус-тройства или на карте microSD, не стираются. Кроме того, эта операция не затра...
Страница 108 - Проверка версии; Использование списков воспроизведе-
108 Вы можете проверить версию встроенного програм-много обеспечения устройства. Включите устройство и нажмите кнопку «MENU/PLAY LIST». Нажимайте кнопку «VOL» (+/-) для выбора «COMMON MENU», а затем нажмите кнопку «v/OK». Нажимайте кнопку «VOL» (+/-) для выбора «VERSION», а затем нажми-те кнопку « /...
Страница 109 - О программе Windows Media Player; Проверка операционной среды; Прежде чем использовать устройство с ПК; Операционная среда
109 Данное устройство может работать в следующей операционной среде. Аппаратные средства Персональный компьютер с установленной системой Windows ОС Windows VistaWindows XPWindows 2000 Professional (SP3 или более поздней версии) Разъем USB Один для подключения устройства Прочее Требуются динамики или...
Страница 110 - Примечания относительно подключения к ПК
110 • Правильная работа устройства с компьютерами, на которых не установлена система Windows (например, Macintosh), не гарантируется. • Работа не гарантируется для следующих сред:- Модернизированные среды Windows- Windows 95, Windows NT, Windows 98, Windows 98SE, Windows Me- Среды Windows с двойной ...
Страница 111 - Копирование записанных файлов на ПК; Какие действия можно выполнять с ПК?
111 Вы можете выполнять следующие действия на вашем ПК. Копирование записанных файлов на ПК Вы можете копировать записанные на данном устройстве файлы на ПК для хранения. Восстановление аудиофайлов с ПК Вы можете копировать аудиофайлы (скопированные на ПК) обратно на диктофон. Затем вы можете прослу...
Страница 112 - Подключение к ПК/отключение от ПК; Подключение к ПК
112 Выдвиньте разъем USB из устройства. Как выдвинуть разъем USB (стр. 10) Когда диктофон выключен, соедините разъем USB с вашим ПК. • При использовании концентратора USB с питанием от шины или другого удлинительного кабеля USB, помимо входящего в комплект, правильная работа не гарантиру-ется. Для с...
Страница 113 - Об экране автозапуска; Отключение от ПК; Щелкните по значку
113 Об экране автозапуска Если на вашем ПК установлена система Windows XP или Windows Vista, может появиться экран автозапуска. На этом экране выберите опцию «Открыть папку для просмотра фай-лов» и щелкните по кнопке «OK». Отобразятся папки, име-ющиеся в памяти устройства. Опции и описания на экране...
Страница 114 - Если «EH800D» или «EH800D_SD» не отобража-; Просмотр папок и файлов устройства на ПК
114 В этом разделе рассматривается случай, когда в устройство загружена карта microSD (уже отформатированная на устройстве). Когда вы подключите устройство к ПК, на экране отобразятся папки «EH800D» (внутренняя память) и «EH800D_SD» (карта microSD).Однако если на вашем ПК установлена система Windows...
Страница 115 - Установки функции защиты и отображение съемного диска на ПК; Установка функции защиты
115 • Имя накопителя для внутренней памяти Внутренняя память отображается как «EH800D». • Имя накопителя для карты microSD Если карта microSD отформатирована на данном устройстве, она отображается как «EH800D_SD». Если карта не отформатирована на данном устройстве, она отобразится как «съемный диск»...
Страница 116 - Windows Vista; Проверьте, правильно ли устройство распознается вашим ПК; Поиск и устранение неисправностей; Windows XP или Windows 2000
116 Windows Vista Когда устройство подключено к ПК, выполните следующую операцию.В меню «Пуск» щелкните правой кнопкой мыши по пункту «Компьютер», в открывшемся меню выберите «Свойства», а затем откройте экран «Система».Щелкните по кнопке «Диспетчер устройств». Когда появится экран управления учетно...
Страница 117 - Если «Диспетчер устройств» неправильно отображает информацию
117 Выполните следующие действия. 햲 Закройте все работающие приложения. 햳 Отсоедините от ПК все остальные USB-устройства (кроме нормально работающих мыши и клавиатуры) и подсоедините только диктофон. 햴 Если ваш ПК оборудован несколькими разъемами USB (например, на передней и задней сторонах), попро-...
Страница 118 - Сообщения об ошибках; Дополнительная информация
118 Во время работы устройства на дисплее могут появляться сообщения об ошибках. Эти сообщения описаны в следующей таблице. Состояние устройства (функция) Сообщение об ошибке Описание См. стр. Батарея разряжена LOW BATTERY PLEASE CHANGE THE BATTERY [Батарея разряжена. Пожалуйста, замените батарею] Э...
Страница 121 - Прежде чем обращаться в сервис-центр
121 Попробуйте приведенные ниже способы решения проблем. Если с их помощью решить проблему не удастся, обратитесь за помощью в сервис-центр. Устройство не включается. Причина Батарея неправильно вставлена или разряжена. Решение Убедитесь, что батарея вставлена правильно.Извлеките батарею, а затем сн...
Страница 123 - Невозможно разделение файла.
123 Невозможно воспроизведение файла из папки «MUSIC» (M) или воспроизведение осуществляется неправильно. Причина Неправильный формат файла. Решение Правильно воспроизводиться могут файлы формата WMA или MP3. Причина Аудиофайл формата WAV записан не на данном устройстве. Решение Воспроизведение на д...
Страница 124 - Невозможно стереть файл.
124 Невозможно стереть файл. Причина Файлу назначен атрибут «только для чтения». Решение Подключите устройство к ПК и измените атрибут файла, чтобы сделать возможным его стирание. Другой вари-ант – отформатируйте карту microSD.Смотрите раздел «Форматирование внутренней памяти или карты microSD» на с...
Страница 126 - Во время записи слышится шум.
126 Таймер не функционирует должным образом. (Не настроена запись по таймеру.) Причина Не настроен календарь. Решение Настройте календарь.Смотрите раздел «Настройка календаря (даты и времени)» на стр. 25. Причина Папка для хранения записанных данных заполнена. Решение Сотрите ненужные файлы.Смотрите...
Страница 127 - В: Как сохранить записи на магнитную ленту или MD?; Часто задаваемые вопросы
127 В: Почему в записи, выполненной с использованием микрофона, слышится шелестящий шум? О: Во время записи с использованием микрофона также записывается шум от перемещения устройства или от движения руки, которой вы держите устройство. Поэтому во время записи с использованием микрофона старайтесь н...
Страница 128 - О повышении температуры устройства; Очистка
128 Протирайте устройство мягкой тканью. • Не используйте бензин, спирт или разбавитель, так как эти вещества повредят или обесцветят отделку поверхности. Также для очистки устройства нельзя использовать пестициды. О повышении температуры устройства При длительном использовании устройства оно может ...
Страница 129 - Основные технические характеристики
129 Поддерживаемые ОС : Windows Vista/XP/2000 Внутренняя память : 2 Гб Поддерживаемые носители : карта microSD, microSDHC Качество записи и возможное время записи : Основные технические характеристики Внутренняя память 2 Гб ИКМ 44,1 кГц Приблиз. 3 часа MP3 320 кбит/с Приблиз. 13 часов 30 минут MP3 1...
Страница 132 - Алфавитный указатель
132 ??? Алфавитный указатель А Автоматическая регулировка уровня (ALC) ......................... 86Автоматическое включение записи (SELF TIMER) .............. 89Автоматическое выключение устройства .......................... 103Автоматическое разделение ........................... 89АРУ (Автоматичес...