Проекторы NEC NP1000 - инструкция пользователя по применению, эксплуатации и установке на русском языке. Мы надеемся, она поможет вам решить возникшие у вас вопросы при эксплуатации техники.
Если остались вопросы, задайте их в комментариях после инструкции.
"Загружаем инструкцию", означает, что нужно подождать пока файл загрузится и можно будет его читать онлайн. Некоторые инструкции очень большие и время их появления зависит от вашей скорости интернета.

0
0
.
0
6
3
7
.
5
1
–
C
S
T
N
0
0
.
0
5
3
6
.
5
1
–
L
A
P
–
0
6
L
A
P
D
VES A
640
D
IBM
640
D
MA C
640
D
VES A
640
D
VES A
640
D
IBM
640
D
VES A
640
D
VES A
800
D
VES A
800
D
VES A
800
D
VES A
800
D
VES A
800
D
MA C
832
D
VES A
1024
D
VES A
1024
D
MA C
1024
D
VES A
1024
D
VES A
1024
D
VES A
1152
D
SU N
1152
D
VES A
1280
D
VES A
1280
MA C
1280
D
SXGA +
1400
VES A
1600
VES A
1600
VES A
1600
VES A
1600
D
HDTV (1080i)(
1125i)
1920
D
HDTV (1080i)(
1125i)
1920
D
HDTV (720p)(750p)
1280
D
HDTV (720p)
1280
D
SDTV(576p)(625p)
D
SDTV (480p)(525p)
DVD YCbC r
–
DVD YCbC r
–
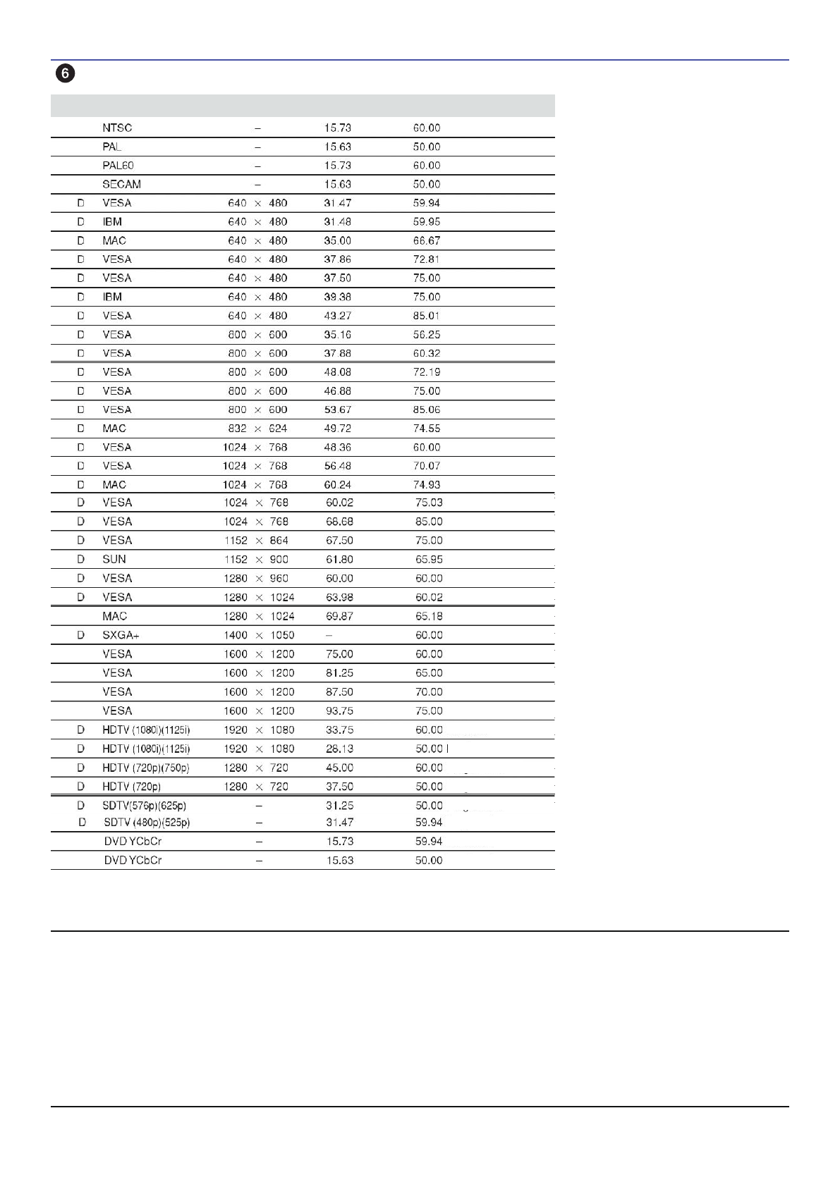
Перечень совместимого входного сигнала
Сигнал Разрешение Частота Г. Частота обновления
( Точки ) ( кГц ) ( Гц )
D: Изображения, помеченные “D”, поддерживают цифровой сигнал.
ПРИМЕЧАНИЕ:
•
•
9. Приложение
0
0
.
0
5
3
6
.
5
1
–
M
A
C
E
S
Чересстрочная разв-ка
Чересстрочная разв-ка
Построчная
Построчная
Построчная
Построчная
Чересстрочная разв-ка
Чересстрочная разв-ка
Продвинутой технологией AccuBlend является технология перемешивания интеллектуального
пиксела, которая отображает масштабируемые изображения с высоким и низким разрешением в
истинном разрешении.
Изображение с более высоким и низким разрешением, чем собственное разрешение проектора (1024
x 768) отображается с помощью продвинутой AccuBlend.
Несколько составных синхронизированых сигнала могут отображаться не верно.
Сигналы, отличные от указанных в таблице выше, могут отображаться не верно. Если такая
неисправность существует, изменить частоту обновления или разрешение вашего ПК. Обращаться
к разделу помощи “Параметры дисплея” вашего ПК.
Содержание
- 3 Важная информация; Внимательно прочитайте эту информацию, чтобы избежать проблем.; Меры безопасности; Меры предосторожности; ВНИМАНИЕ; ОСТОРОЖНО; ВНИМАНИЮ ЖИТЕЛЕЙ ШТАТА КАЛИФОРНИЯ:
- 7 повреждению проектора.; Замена лампы
- 8 СОДЕРЖАНИЕ
- 11 Комплектация; частей свяжитесь с продавцом.
- 12 Введение о проекторе; простого в настройке и использовании проектора.
- 13 О данном руководстве пользователя; можете его пропустить.
- 14 Название деталей проектора; и принадлежит Kensington Microware Inc.; Вид сзади
- 15 Вид снизу; Винт предупреждения кражи линз; Ручка для переноски; Переноска проектора; Всегда переносить проектор за ручку.
- 16 Для блокировки ручки переноса
- 17 Особенности верхней части; AUTO ADJUST; D REFORM; ПРИМЕЧАНИЕ: Для включения проектора нажмите и
- 18 Функции клеммной панели; это не влияет на работу проектора.
- 19 Название частей пульта дистанционного управления; Лазерный указатель; ПРИМЕЧАНИЕ: Для включения проектора; * Не смотреть на включенный лазерный указатель.
- 21 а другой - к джеку ДУ пульта дистанционного управления.; REMOTE
- 22 Установка и подключения; ПРИМЕЧАНИЕ: Перед переноской проектора; Установка экрана и проектора; Выбор положения
- 23 Подключения; Подключение к ПК или компьютеру Macintosh; питание которого уже включено.; Включение внешнего дисплея компьютера; + F8 для переключения посредством выбора на внешнем дисплее.; Перед подсоединением выключить компьютер и проектор.
- 24 приведет к отсутствию картинки. В таком случае, перезапустите ПК.; Назначение технологии HDCP/HDCP; Аудио кабель (не входит
- 25 имеющийся в продаже SCART кабель.
- 26 • Соединение последовательно-приоритетной цепочкой невозможно.
- 27 Кабель составного сигнала RCA x 3; DVD плейер; Аудио кабель (не входит в комплект поставки)
- 28 Видео кабель
- 29 передача изображения.; Функция управления проектором; от проектора через сеть. Имеются два следующих метода:; Функция передачи изображения; изображения или слайды на экран. Имеются два следующих метода:; Пример подключения к локальной сети; (A) Пример подключения к проводной локальной сети; Сервер
- 30 (Б) Пример подключения к беспроводной локальной сети
- 31 В разъем PC CARD вставляется заглушка на время; Вставка PC карты; Как только карта вставлена полностью, выскакивает; PC карта; подождите 30 секунд и снова включите его.
- 32 В разъем PC карты можно вставить только карту PCMCIA Type II.; Кнопка выброса
- 33 Подключите поставляемый шнур питания к проектору.; О прямом включении питания; снабженной кнопокой и выключателем.; Убедиться, что штыри полностью вставлены; К стенной розетке
- 34 Включение проектора; повреждения проектора.
- 35 Примечание по экрану запуска (экран выбора языка меню); Используйте кнопку SELECT для выбора одного; индикатор POWER мерцает зеленым.
- 36 Выбор источника сигнала; Выбор компьютера и видеоисточника; eo” (видеомагнитофон или проигрыватель лазерных дисков),; Автоматическое определение сигнала
- 37 Регулировка размера и положения изображения; расположено выше регулируемого диапазона смещения линз.
- 38 Регулировка положения проецируемого изображения; • Поверните циферблаты смещения линз.
- 39 Регулировка фокуса (фокусировочное кольцо); • Повернуть фокусировочное кольцо для регулировки фокуса.
- 40 Регулировка опоры наклона; Не старайтесь задеть выход вентиляции во время регулировки
- 41 Коррекция трапецеидального искажения; трапецеидальных искажений.; Рамка экрана
- 43 Регулировка изображения при помощи автоматической настройки; Автоматическая оптимизация изображения RGB; Увеличение/уменьшение громкости; Можно настроить громкость звука из динамика; Увеличение громкости
- 44 Использование лазерного указателя; ОСТОРОЖНО:
- 45 Выключение проектора; отображения изображений.; После подготовки к использованию
- 46 Удобные возможности; Выключение изображения и звука; Даже если изображение выключено, меню все равно остается на; Остановка картинки; Изображение остановлено, но исходнео видео все еще; Увеличение и перемещение изображения; приводит к увеличению изображения.; Изменение режима лампы; Нажмите кнопку ENTER. Или нажмите кнопку SELECT ► для; Нормальный
- 47 Получение встроенной помощи; Используйте кнопку SELECT или для прокрутки; Показать помощь Выйти из помощи
- 48 Использование USB мыши; ПРИМЕЧАНИЕ: Существуют некоторые марки USB; Работа с меню при помощи USB мыши; USB
- 49 Использование дополнительного приемника удаленной мыши; на компьютере презентаций.; Подключение приемника удаленной мыши к компьютеру; Компьютер
- 50 Можно управлять мышью компьютера при помощи пульта ДУ.; О режиме перетаскивания:; кнопки SELECT
- 51 Коррекция горизонтального и вертикального трапецеидального; Угловое искажение; Отобразится экран настройки углового смещения.; Проецируемое изображение; На рисунке показана
- 52 Используйте кнопку SELECT; Экран
- 53 смещения станет доступной.
- 54 Создание рисунков от руки на проецируемом изображении (Chalk
- 55 Предотвращение неразрешенного использования проектора; Первое задание пароля; Отобразится меню.
- 56 Нажмите кнопку ENTER для отображения экрана Security.
- 57 •В пароле не используйте пробелы.
- 58 Проектор выключится.
- 59 Появится экран ввода Keyword
- 60 Использование браузера HTTP; Обзор; отклика выключите и затем снова включите проектор.; Подготовка перед использованием
- 62 Выбор источника: Переключаются входные разъемы проектора.
- 63 Использование проектора для работы с подключенным к сети; доступа третьей стороны к данным или информации.; Зал совещаний
- 64 на CD диске “Программное обеспечение поддержки No3”.
- 65 Щелкните иконку ввода пароля
- 66 дистанционного управления.; Операции с проектором - Использование рабочего стола
- 67 Нажмите кнопку MENU во время отображения рабочего стола.; Операции с проектором - Выход из режима работы с рабочим столом; Появляется всплывающее меню.
- 68 Использование программы просмотра; Список основных возможностей функции Viewer; Особенности монитора; • Простое переключение слайдов; Простые вспомогательные программы (для компьютера); пользователя программного обеспечения поддержки No3”.
- 69 Сохранение данных на PC карту или USB запоминающее устройство; Использование Ulead Photo Explorer 8.0; запоминающее устройство.
- 70 Использование функции просмотра с проектора (воспроизведение); проецируемых проектором.; Проецирование слайдов (Программа просмотра); • Можно использовать кнопку VIEWER на пульте ДУ для выбора [Viewer].; Работа с меню Viewer; карте или USB запоминающего устройства, вставленного в проеткор.
- 71 Количество; Элементы окна Viewer
- 72 ПРИМЕЧАНИЕ: Данная настройка не доступна для следующих папок:
- 73 * Для переключения на другой входной сигнал есть две возможности:; Просмотр цифровых изображений; соблюдении следующих условий:
- 74 Изменение фонового логотипа; Можно изменить фоновый логотип с помощью параметра “Viewer”.
- 75 Использование экранного меню; Использование меню; проектора; Изменения сохраняются до следующей настройки.
- 76 Меню; Структура дерева меню; Таким фоном обозначены
- 78 Элементы меню; ДУ для отображения помощи.
- 79 необходим для составного сигнала.; Component; или проигрывателю лазерных дисков.; Viewer
- 80 Ввод текущего проецируемого сигнала в “Список записей”
- 82 можно установить настраиваемые пользовательские настройки
- 83 жает действительную цветовую температуру.
- 85 Позволяет вручную настроить такт и фазу.
- 87 вверху и внизу
- 88 Выбор вертикальных кромок [Vertical Enhancer]; Выбор чересстрочной или построчной развертки [Deinterlace]; Проецируется сигнал с чересстрочной разверткой.
- 89 ПРИМЕЧАНИЕ: Данная функция недоступна для Viewer или LAN.
- 90 Изменения сохранятся даже после выключения проектора.; Выбор режима углового режима [Cornerstone]
- 91 режим энергосбережения”.
- 92 Можно выбрать цвет меню.; Выбор меню отображения времени [Display Time]
- 93 • Изменение данных логотипа на PC карте или USB памяти.
- 94 отформатированные в файловой системе NTFS.
- 95 Данные PC карты начнут считываться проектором.; запоминающего устройствав качестве защитного ключа).; и удерживайте кнопку POWER в течение как минимум двух секунд.
- 96 для выбора окна списка.; Использование PJLink
- 97 Проектор поддерживает все команды Класса 1 по PJLink.
- 98 при выборе типа экрана 16:9.
- 99 дополнительно поставляемой платы беспроводной локальной сети.
- 100 и введите 12 цифр.; туры; для отображения программной клавиатуры и введите 12 цифр.
- 101 беспроводной локальной сети.
- 102 которому возможен доступ.
- 103 доступа беспроводной сети.
- 104 использовать до 60 букв и цифр.
- 105 Установка флажок включает параметр “Alert Mail”.
- 106 Встроенные часы не останавливаются в режиме ожидания проектора.; Включение или выключение датчика ДУ [Remote Sensor]
- 107 Можно вручную оптимизировать RGB изображение.; Включение функции “Управление питанием” [Power Management]
- 108 Установка разъема MONITOR OUT [OUT Terminal]; выходным из разъема MONITOR OUT в режиме ожидания.; являются выходящими для разъема MONITOR OUT.
- 109 Данный параметр отображает ChalkBoard панель инструментов.; Использование таймера выключения [Off Timer]; Оставшееся время отсчитывается в обратном направлении.; Использование программного таймера [Program Timer]; Можно запрограммировать до 14 различных установок таймера.
- 110 дольше, то встроенные часы останавливаются.; Установка программного таймера
- 111 Установится режим рабочего или нерабочего времени.; Активация программного таймера; Установки времени будут активированы.; установка времени.; Изменение программных установок; которую необходимо создать, и нажмите кнопку ENTER.
- 112 для USB мыши. Выберите желаемые установки:
- 113 сети. Диалоговое окно состоит из семи страниц.
- 114 Horizontal Frequency (Горизонтальная частота)
- 117 могут быть сброшены.; Обнуление счетчика времени работы лампы [Clear Lamp Hours]; Сброс времени лампы до нуля.; Сброс счетчика времени работы фильтра [Clear Filter Hours]; Сброс времени использования фильтра до нуля.
- 118 Очистка или замена фильтра; Подготовка; одном комплекте с заменяемой лампой.
- 119 Чистка корпуса и линз; или растворы, такие как спирт или растворитель.
- 121 электрическим током. Не пытаться сорвать данную блокировку.; Необходимо сделать заказ через продавца NEC.
- 123 Использование дополнительных линз; Таблица расстояний перемещения и размеров экрана для; Пример: Расстояние от экрана 100” с линзами NP03ZL
- 124 Настраиваемый диапазон перемещения линз
- 125 Использование набора дополнительных линз; Замена набора дополнительных линз; Снять установленные линзы с проектора.; Установить новые линзы; Вставить линзы с желтым выступом на верхней части.; Повернуть линзы против часовой стрелки при одновременном
- 126 Затянуть поставляемый противосъемный винт на корпусе снизу.
- 127 оиск и устранение неисправностей; использовании проектора.; Индикатор питания
- 128 Общие проблемы и их решения; Для более подробной информации обращайтесь к продавцу.
- 130 Технические характеристики; Номер модели
- 132 Размеры корпуса
- 133 Использование схемы; Например для 100” экрана:; Размер экрана и проекционное расстояние; Расстояние перемещения; При повороте на угол 10° в ширину; Вертикальное расстояние; Опора проектора; Вертикальное перемещение линз: максимальная высота; Ширина; экра
- 134 набора линз; Перечень размеров экрана; Высота
- 135 Конфигурация разъемов входного разъема D-Sub COMPUTER 1
- 136 Перечень совместимого входного сигнала; x 768) отображается с помощью продвинутой AccuBlend.
- 137 Коды управления ПК и подключение кабелей; Коды управления ПК; Функция Программный код; NPUT SELECT COMPUTER 3; Letterbox; Подключение кабелей; Протокол обмена
- 138 Использование программной клавиатуры; до 0 и символы; на любой части клавиатуры кроме кнопок.
- 139 Лист проверок по поиску и устранению неисправностей; Частота появления; Питание
- 140 Ниже необходимо подробно описать возникшую проблему.; Проектор; Среда установки
- 141 Руководство по переноске
- 142 В Азии и на Среднем Востоке; ПРИМЕЧАНИЕ: В странах, назвния которых отмечены
- 143 КОМУ: NEC или авторизованный сервсиный центр NEC:; Лист приложения к программе обслуживания TravelCare
- 144 Условие программы обслуживания TravelCare