Плееры DEXP A15 - инструкция пользователя по применению, эксплуатации и установке на русском языке. Мы надеемся, она поможет вам решить возникшие у вас вопросы при эксплуатации техники.
Если остались вопросы, задайте их в комментариях после инструкции.
"Загружаем инструкцию", означает, что нужно подождать пока файл загрузится и можно будет его читать онлайн. Некоторые инструкции очень большие и время их появления зависит от вашей скорости интернета.

Мультимедиа плеер
DEXP
A15
Уважаемый покупатель!
Благодарим Вас за выбор продукции, выпускаемой под торговой маркой DEXP.
Мы рады предложить Вам изделия, разработанные и изготовленные в соответствии с высокими
требованиями к качеству, функциональности и дизайну. Перед началом эксплуатации прибора
внимательно прочитайте данное руководство, в котором содержится важная информация,
касающаяся Вашей безопасности, а также рекомендации по правильному использованию
прибора и уходу за ним. Позаботьтесь о сохранности настоящего Руководства, используйте его
в качестве справочного материала при дальнейшем использовании прибора.
Назначение устройства
Данное устройство предназначено для хранения, организации и воспроизведения
музыкальных/мультимедийных файлов, сохранённых в цифровом виде, на собственную память
или карту памяти.
Рекомендации по использованию литий содержащей
аккумуляторной батареи (
Li-pol/Li-ion)
Уважаемый пользователь! Обращаем Ваше внимание, что приобретённое Вами устройство
использует в своём составе аккумулятор на основе лития в качестве источника питания.
Пожалуйста, внимательно ознакомьтесь с нижеуказанной информацией. Она поможет Вам
продлить срок службы вашего аккумулятора и предотвратить нежелательные
последствия при его эксплуатации.
1.
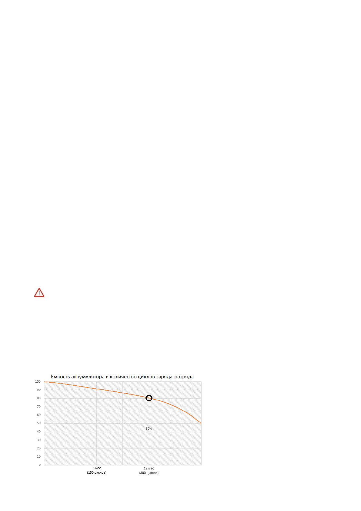
Естественный износ АКБ.
При длительном хранении и использовании устройства, аккумулятор (далее по тексту
–
«АКБ»)
имеет свойство терять заряд и ёмкость. В период использования устройства, можно ожидать,
что после 300 циклов заряда
-
разряда (примерно год использования устройства), ёмкость АКБ
может снизиться до 80 % от номинальной. Ёмкость АКБ после 400 заряд
-
разрядных циклов
может снизиться до 60 % от номинальной ёмкости.
Частичное снижение ёмкости в указанных пределах и временных периодах
-
это естественный
износ АКБ, который не является дефектом.
Характеристики
Остались вопросы?Не нашли свой ответ в руководстве или возникли другие проблемы? Задайте свой вопрос в форме ниже с подробным описанием вашей ситуации, чтобы другие люди и специалисты смогли дать на него ответ. Если вы знаете как решить проблему другого человека, пожалуйста, подскажите ему :)