Страница 2 - Уважаемый покупатель изделия Panasonic!
2 Уважаемый покупатель изделия Panasonic! Добро пожаловать в семью пользователей продукции Panasonic! Мы надеемся, что Ваш новый проекционный телевизор будет радовать Вас безупречной рабо-той в течение многих лет. Чтобы в полной мере использовать все его возможности, прочтите, пожалуйста, до конца э...
Страница 3 - Содержание
3 Содержание Замечания по технике безопасности . . . . . . . . . . . . . . . . . . . . . . . . . . . . . . . . . . . . . . . . . . . . . . . . . . . . . . . .4Перед началом эксплуатации . . . . . . . . . . . . . . . . . . . . . . . . . . . . . . . . . . . . . . . . . . . . . . . . . . . . . . . . . ...
Страница 4 - Замечания по технике безопасности; Предупреждения; Меры предосторожности
4 Замечания по технике безопасности Предупреждения Отсоединяйте шнур питания от розеткипри любых признаках неисправностителевизора (пропадает изображение,нет звука, устройство издает необыч-ные звуки, от его корпуса исходит дымили странный запах).Отсоедините шнур питания, есливнутрь телевизора попал...
Страница 6 - Перед началом эксплуатации; Как пользоваться инструкцией
6 Перед началом эксплуатации Как пользоваться инструкцией Проверьте номер модели Вашего телевизора: он указан на специальной пластинке, расположенной на задней крышке его корпуса. При помощи таблицы на про-тивоположной странице проверьте, какие особенности имеются у Вашей модели телевизора. Это помо...
Страница 7 - Краткое справочное руководство пользователя
7 Перед началом эксплуатации Краткое справочное руководство пользователя Проверьте, пожалуйста, номер модели Вашего телевизора.Эта инструкция относится к нескольким моделям, между которыми имеются определенные различия. Регионы поставки Китай Гонконг Юго-Восточная Aзия Австралия Новая Зеландия Ближн...
Страница 8 - Подключение антенного кабеля к входному разъему RF
8 Перед началом эксплуатации Подключение антенного кабеля к входному разъему RF Антенна ОВЧ Микширующее устройство Коаксиальный кабель 75 Ом Коаксиальный кабель 75 Ом Входной разъем RF Входной разъем RF Штекер коаксиальной антенны Штекер коаксиальной антенны Антенна УВЧ Чтобы добиться оптимального к...
Страница 9 - Подсоединение шнура питания к сетевой розетке; Загрузка батарей в пульт ДУ; Предосторожности при использовании батарей
9 Перед началом эксплуатации Подсоединение шнура питания к сетевой розетке Примечание: Вилка шнура питания имеет различную конфигурацию у моделей, поставляемых в разные страны. Поэто-му вилка, представленная на иллюстрации, может отличаться от той, которой оснащен Ваш телевизор. Как включить питание...
Страница 10 - Расположение органов управления; Кнопки управления и разъемы на телевизоре
10 Расположение органов управления Кнопки управления и разъемы на телевизоре № Функция Ссылка на стр. позиции Основное гнездо для наушников 13 Вспомогательное гнездо для наушников 13 Входные разъемы AV3 11 Кнопка ввода в память STR 14 Выбор функции 14 Понижение громкости звука (-)/Выбор каналов в по...
Страница 11 - Соединения; Как выполнить подключение к входным разъемам «AV1, 2, 3 или 4»
11 Соединения Как выполнить подключение к входным разъемам «AV1, 2, 3 или 4» Подключение видеомагнитофонов и другого периферийного оборудования Примечание: ● Если к разъему S-VIDEO подсоединен кабель S-Video, вход VIDEO автоматически отключится от режима AV. ● При использовании монофонического видео...
Страница 12 - Как выполнить подключение к входным разъемам для DVD
12 Соединения Как выполнить подключение к входным разъемам для DVD DVD-проигрыватель Записывающее оборудование (например, видеомагнитофон VHS) Выход MONITOR OUT Выход AUDIO Выход AUDIO МОНО П Л П Л P R P B Y Выход DVD (Y, P B , P R ) P R P B Y Выход DVD (Y, P B , P R ) АУДИОCИГНАЛ ВИДЕОСИГНАЛ Примеч...
Страница 13 - Подключение наушников; Main
13 Соединения Подключение наушников S-VIDEO Sub. Main VIDEO L/MONO AUDIO R AV3 IN B A A B A A A A A B B B A A A A B Штекер основных наушников: Когда в гнездо для наушников вставлен штекер основных наушников, все динамики автоматически отключаются, и звук поступает только в наушники.Отрегулируйте гро...
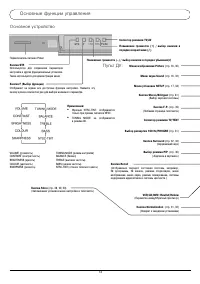
Страница 14 - Основные функции управления; Основное устройство
14 Основные функции управления Основное устройство Переключатель питания Power Кнопка STR Используется для сохранения параметровнастройки и других функциональных установок.Также используется для демонстрации меню. Кнопка F (Выбор функции) Отображает на экране все доступные функции настройки. Нажмите...
Страница 18 - Регулировка сведения лучей; Функция Convergence Adjustment
18 Регулировка сведения лучей Функция Convergence Adjustment Вертикальная центрирующая метка Горизонтальная центрирующая метка Перед началом регулировки согласуйте сигнал телевещания с режимом входного ви-деосигнала и дайте телевизору поработать в течение 60 минут. Если местоположе-ние или направлен...
Страница 19 - КРАСНЫЙ
19 Регулировка сведения лучей Режим CONVERGENCE1 - сведение лучей для КРАСНОГО, СИНЕГО и ЗЕЛЕНОГО КРАСНЫЙ СИНИЙ ЗЕЛЕНЫЙ Нажмите кнопку «/\» или « \/ », чтобы совместить горизон- тальную красную линию с горизонтальной синей линией. (Линия при этом становится белой). Нажмите кнопку «/\» или « \/ », чт...
Страница 20 - Режим CONVERGENCE2 - сведение лучей для КРАСНОГО и СИНЕГО
20 Регулировка сведения лучей Режим CONVERGENCE2 - сведение лучей для КРАСНОГО и СИНЕГО Эта функция регулирует сведение лучей в боковой части экрана. КРАСНЫЙ СИНИЙ Нажмите кнопку «/\» или « \/ », чтобы совместить горизон- тальную красную линию с горизонтальной синей линией. (Линия при этом становитс...
Страница 21 - Настройка каналов; Вывод на экран меню TUNING; Выбор региональной системы вещания
21 Настройка каналов 1 Вывод на экран меню TUNING 2 ① ② ② Нажмите кнопку SET UP, чтобы ото-бразить на экране меню SETUP. Нажмите кнопку «/\» или « \/ », чтобы выбрать меню TUNING. Нажмите кнопку «+» или «-», чтобыотобразить на экране меню TUNING. ① Выбор установки «POSITION» или «DIRECT» CH SELECT В...
Страница 22 - Состояние звуковой системы
22 Настройка каналов Выбор звуковой системы (в разных регионах используются разные системы) Эта функция используется только в режиме TV, если при выборе отдельных программ звук воспроизводится с искажениями или совсем не воспроизводится.Она неприменима к режиму AV. 1 2 3 Нажмите кнопку «/\» или « \/...
Страница 23 - Состояние системы цветности
23 Настройка каналов Выбор системы цветности (в разных регионах используются разные системы) Эта функция применяется, если не удается получить чистое изображение с естественными цветами во время приема телевизионных или AV-сигналов 1 2 3 Нажмите кнопку «/\» или « \/ », чтобы выбрать режим «COLOUR SY...
Страница 24 - Выбор каналов; Позиционирование каналов
24 Настройка каналов Выбор каналов Используйте тот способ выбора каналов, который кажется Вам наиболее удобным для просмотра. 2-й канал4-й канал6-й канал8-й канал10-й канал12-й канал 14-й канал 16-й канал 18-й канал 20-й канал Позиционирование каналов Когда функция Channel Selection установлена в ре...
Страница 25 - Распределение каналов
25 Настройка каналов Распределение каналов ● Номера каналов CATV (USA CATV) рекомендованы объединенным комитетом EIA/NCTA Engineering committee и опубликованы в качестве стандартаидентификации каналов кабельного телевидения EIA INTERIM STANDARD № 6-CABLE TELEVISION CHANNEL IDENTIFICATION PLAN – MAY ...
Страница 26 - Автоматическая настройка; AUTO TUNE; Полезные подсказки
26 Настройка каналов Автоматическая настройка (Метод выбора каналов и региональная система должны быть уже установлены, см. стр. 21). Данный телевизор использует функцию автонастройки для определения возможности приема транслируемого сигнала и автоматически выполняет все необхо-димые подготовительны...
Страница 27 - MANUAL TUNE; Ручная настройка; SOUND SYS
27 Настройка каналов 1 MANUAL TUNE Ручная настройка (Метод выбора каналов и региональная система должны быть уже установлены, см. стр. 21). ① ② Нажмите кнопку «/\» или « \/ », чтобы выбрать опцию меню MANUAL TUNE. Нажмите кнопку «+» или «-», чтобы получить доступ к режи-му ручной настройки «MANUAL T...
Страница 28 - Тонкая настройка; FINE TUNE; Как отменить тонкую настройку
28 Настройка каналов Тонкая настройка 1 FINE TUNE При нормальных условиях приема необходимость в этой функции отпадает.Однако при слабом сигнале или наличии постоянных помех небольшая подстройка может улучшить качество зву-ка и изображения. Нажмите кнопку «/\» или « \/ », чтобы выбрать опцию меню FI...
Страница 29 - Пропуск номера программы
29 Настройка каналов 1 2 3 4 1 2 Пропуск номера программы При желании номера отдельных программ, на которые настроен Ваш телевизор, можно пропускать. Эта функция срабатывает только в том случае, если Вывыбираете программы с помощью кнопок «/\» или « \/ » на основном устройстве или пульте ДУ. Нажмите...
Страница 30 - Настройка изображения
30 Настройка изображения 1 2 3 Нажмите эту кнопку, чтобы вызвать меню PICTURE. Нажмите кнопку «/\» или « \/ », чтобы выбрать желаемую функцию. Нажмите кнопку «+» или «-», чтобы отрегулировать илиизменить параметры выбранной функции. Нажмите, чтобы вернуться к нормальному режиму про-смотра. Меню PICT...
Страница 31 - Режим SCAN
31 Настройка изображения Функция C. TEMP (Colour Temperature) Функция P-NR (Picture Noise Reduction) Режим SCAN AI Устанавливает общую тональность изображения. Нажмите кнопку «+» или «-», чтобы выбрать режим, соответствую-щий стандартной, теплой или холодной тональности: STANDARD WARM COOL Автоматич...
Страница 32 - Настройка звука
32 Настройка звука 1 2 3 Нажмите эту кнопку, чтобы вызвать меню SOUND. Нажмите кнопку «/\» или « \/ », чтобы выбрать желаемую функцию. Нажмите кнопку «+» или «-», чтобы отрегулировать или изме-нить параметры выбранной функции. Нажмите, чтобы вернуться к нормальному режиму просмотра. Примечание: Неко...
Страница 33 - Меню SURROUND; или
33 Настройка звука Меню SURROUND Нажмите эту кнопку, чтобы включить или выключить режим окружающего звука. Нажмите эту кнопку, чтобы вызвать меню SOUND. Нажмите кнопку «/\» или « \/ », чтобы выбрать функцию SURROUND. Нажмите кнопку «+» или «-», чтобы включить или выключить ее(ON/OFF) или Преимуществ...
Страница 34 - Выбор установочных параметров; Сокращение мерцания изображения (FLICKER REDUCTION)
34 Выбор установочных параметров 1 2 3 Нажмите эту кнопку, чтобы вызвать меню SETUP. Нажмите кнопку «/\» или « \/ », чтобы выбрать желае- мую функцию. Нажмите кнопку «+» или «-», чтобы отрегулироватьили изменить параметры выбранной функции. Нажмите, чтобы вернуться к нормальному режимупросмотра. Тай...
Страница 35 - Интенсивность цветопередачи канала (СH COLOUR SET)
35 Выбор установочных параметров Интенсивность цветопередачи канала (СH COLOUR SET) Интенсивность цветопередачи отличается у разных каналов телевещания. Данная функция предлагает три уровняее регулировки для каждого принимаемого канала. Коррекция воспроизведения видеозаписи (VCR/GAME) Данная функция...
Страница 36 - Режимы Multi Screen; Функции MULTI PIP; Picture in Picture («Картинка в картинке»)
36 Режимы Multi Screen Функции MULTI PIP Нажмите кнопку для переключения между просмотром текущей программы и функциями Picture in Picture, Pictureand Picture. Кнопки экранного селектора (соответствующие четырем цветным кнопкам на пульте ДУ), которые появляются дляосуществления некоторых функций, ис...
Страница 37 - Поиск канала
37 Режимы Multi Screen Нажмите эту кнопку, чтобы последовательно отобразить на экране стоп-кадры из всех программ, транслируемых вданное время по всем запрограммированным каналам. Эти неподвижные изображения будут группами выводиться наэкран и располагаться по часовой стрелке по периметру экрана, на...
Страница 38 - Функции телетекста; TEXT SELECT
38 Функции телетекста Функции телетекста могут различаться в зависимости от передающей его станции телевещания. Эта функция доступна только в том случае, если Вы выбраликанал, транслирующий телетекст. TEXT SELECT Режимы LIST/ FASTEXT Выберите такой тип символов, чтобы для отображения страниц телетек...
Страница 40 - Функция Index
40 Функции телетекста Страница телетекста Сводка новостей Обновление Нажмите для отображения на экране ме- ню специальных функций, чтобы не пре- рывать просмотр телепрограммы во вре- мя поиска нужной страницы телетекста. Нажмите, чтобы ознакомиться с обнов- ленной информацией на отдельных страницах....
Страница 41 - Продвинутые функции дистанционного управления; Выбор звукового режима Stereo/Bilingual
41 Продвинутые функции дистанционного управления Выбор звукового режима Stereo/Bilingual При приеме аудиосигналов, относящихся к звуковой системе Stereo/Bilingual (стереофоническая/двуязычная), режим выходногоаудиосигнала может быть выбран нажатием кнопки Stereo/Bilingual (см. рис. слева). Аудиосигн...
Страница 42 - Поиск и устранение неисправностей
42 Поиск и устранение неисправностей Прежде чем обращаться в сервисный центр, определите признаки неисправности и выполните несколько простых проверочных операций, предложенных в таб-лице ниже. Признаки неисправности Изображение Звук Что следует проверить «Снег» на изображении Звуковые помехи Провер...
Страница 43 - Технические характеристики
43 Технические характеристики ТХ-43Р250H/HM ТХ-51Р250H/HM Источник питания AC 220-240 В, 50/60 Гц Потребление энергии 228 Вт, в режиме ожидания: 3,0 Вт Система приема 21 система Функции 21 система Функции 1 PAL B, G, H 15 PAL 60 Гц/5,5 МГц 2 PAL I 16 PAL 60 Гц/6,0 МГц 3 PAL D, K Прием телепередач 17...
Страница 44 - Памятка для покупателя
Памятка для покупателя Номер модели и серийный номер данного изделия указаны на его корпусе. Запишите серийный но-мер в специально отведенную ниже строку и сохраните эту инструкцию вместе с товарным чеком каксвидетельство о покупке. Это необходимо для идентификации Вашего телевизорав том случае, есл...