Страница 2 - Уважаемый покупатель изделия фирмы Panasonic!
Уважаемый покупатель изделия фирмы Panasonic! Добро пожаловать в семью пользователей продукции Panasonic. Мы надеемся, чтоэтот новый проекционный телевизор будет радовать Вас в течение многих лет. Чтобы в полной мере использовать все его возможности, прочтите, пожалуйста,до конца эту инструкцию по э...
Страница 3 - Содержание
Содержание Предупреждения . . . . . . . . . . . . . . . . . . . . . . . . . . . . . . . . . . . . . . . . . . . . 4-5Перед началом эксплуатации . . . . . . . . . . . . . . . . . . . . . . . . . . . . . . . . . . 6-9 Как пользоваться этой инструкцией. . . . . . . . . . . . . . . . . . . . . . . . . ....
Страница 4 - Предупреждения и меры предосторожности; Предупреждения
Предупреждения и меры предосторожности 4 Предупреждения Отсоединяйте шнур питания отрозетки при любых признаках не-исправности телевизора (пропа-дает изображение, нет звука, уст-ройство издает необычные звуки,от его корпуса исходит дым илистранный запах).Отсоедините шнур питания, есливнутрь телевизо...
Страница 5 - Предостережения
Предупреждения и меры предосторожности 5 Предостережения Не размещайте телевизор в пыль-ных и влажных помещениях, атакже там, где он будет подвер-гаться воздействию дыма или па-ра. Не устанавливайте его подпрямыми солнечными лучами илирядом с другими непосредствен-ными источниками тепла. Не устанавл...
Страница 6 - Перед началом эксплуатации; Как пользоваться инструкцией
Перед началом эксплуатации 6 Как пользоваться инструкцией 1. Проверьте номер модели Вашего телевизора: он указан на специальной пластинке, распо- ложенной на задней крышке корпуса. При помощи таблицы на стр. 7 проверьте, какиефункции имеются у Вашего телевизора. 2. Посмотрите номер модели Вашего пул...
Страница 7 - Краткое справочное руководство пользователя; вка; Имеющиеся функции; Фиксация роликов
Перед началом эксплуатации 7 Краткое справочное руководство пользователя Проверьте, пожалуйста, номер модели Вашего телевизора. Номер модели Поста- вка Язык индика- ции Источ- ник питания Юго -Во- сточная Азия Австралия Новая Зеландия Англий- ский Китайский . . . . . . . . . . . . Имеющиеся функции ...
Страница 8 - Перед эксплуатацией устройства; Подключение антенного кабеля к входному разъему RF; Прикрепление к стене; Воспользуйтесь
Перед эксплуатацией устройства 8 Подключение антенного кабеля к входному разъему RF Антенна ОВЧ Антенна УВЧ Микширующее устройство Коаксиальный кабель 75 Ом Коаксиальный кабель 75 Ом Входной разъем RF Штекер коаксиальной антенны Штекер коаксиальнойантенны Входной разъем RF Чтобы добиться оптимальног...
Страница 9 - Подсоединение вилки шнура питания к стенной розетке; Предосторожности при использовании батарей
Перед началом эксплуатации 9 Подсоединение вилки шнура питания к стенной розетке Как включить питание устройства Загрузка батарей Примечание: Вилка шнура питания имеет различную конфигурацию у моделей, поставляемых в разные страны. Поэтому та вилка, котораяпоказана на иллюстрации слева, может отлича...
Страница 10 - Регулировка сведения лучей
Регулировка сведения лучей 10 Регулировка сведения лучей Перед началом регулировки согласуй-те сигнал телевещания с режимомвходного видеосигнала и дайте теле-визору поработать в течение 60 минут.Если местоположение или направлен-ность телевизора изменятся, воспро-изведение может оказаться разрегу-ли...
Страница 11 - Регулировка сведения лучей для ЗЕЛЕНОГО, КРАСНОГО и СИНЕГО
Регулировка сведения лучей 11 Горизонтальная центрирующая метка Вертикальная центрирующаяметка Регулировка сведения лучей для ЗЕЛЕНОГО, КРАСНОГО и СИНЕГО Воспользуйтесь Position Up “ ” или Down “ ”, чтобы совместить горизон- тальную зеленую линию с меткой вер-тикального центрирования. При помощи кно...
Страница 12 - Расположение органов управления; Органы управления
Расположение органов управления 12 Органы управления Кнопка Surround (стр. 40) Кнопка Power (Stand-by) (стр. 32) Прямой выбор номера программы (стр. 32) Повторный вызов (стр. 33) Поиск канала (стр. 38) Кнопка D.PNR (стр. 39) Кнопка Strobe (стр. 38) Кнопка P.AI (стр. 39) Воспроизведение с VCR/LD/DVD ...
Страница 13 - Открыть
Содержание 13 Заглушение звука (стр. 33) Выбор режима TV/AV (стр. 33) Переключение программ в порядке возрастания/убывания (стр. 32) Повышение/понижение громкости звука (стр. 32) Выбор программ с двузначными номерами (стр. 32)Выбор режима «Картинка в картинке» (стр. 36)Стоп-кадр (стр. 38) Работа реж...
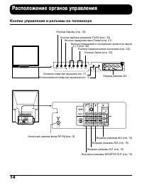
Страница 14 - Кнопки управления и разъемы на телевизоре
Расположение органов управления 14 Кнопки управления и разъемы на телевизоре Кнопка Display (стр. 33) Кнопка выбора режимов TV/AV (стр. 33) Кнопка предустановки Preset (стр. 21) Кнопка повышения и понижения громкости звука (+/-) (стр. 32) Кнопки переключения программ (стр. 32) Кнопка Game (стр. 33) ...
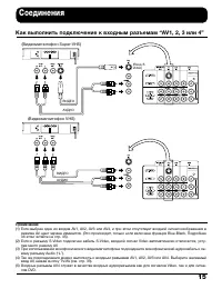
Страница 15 - Соединения; Как выполнить подключение к входным разъемам “AV1, 2, 3 или 4”
Соединения 15 Как выполнить подключение к входным разъемам “AV1, 2, 3 или 4” (Видеомагнитофон Super-VHS) (Видеомагнитофон VHS) ВИДEО АУДИО ВИДEО АУДИО (Вход SVideo) Примечание: (1) Если выбран один из входов AV1, AV2, AV3 или AV4, и при этом отсутствует входной сигнал изображения в режиме AV, цвет э...
Страница 16 - Как выполнить подключения к входным разъемам DVD
Соединения 16 Как выполнить подключения к входным разъемам DVD DVD-проигрыватель Примечание: (1) Аудиосигнал AV4 является общим для обоих входных разъемов AV4 и DVD.(2) Входной разъем, предназначенный для сигнала DVD, имеет приоритет над входным разъемом для видеосигнала AV4. Как подсоединить выходн...
Страница 17 - Подключение наушников; Подключите наушники следующим образом:
Соединения 17 Подключение наушников Подключите наушники следующим образом: (Штекер диаметром 3,5 мм) (Не входит в ком- плект поставки) Вы можете прослушивать звук через любое гнездо для наушников изтех, что указаны в таблице ниже. Состояние экрана Звук от динами- ков Основ- ные на- ушники Второ- сте...
Страница 18 - Схема Главного меню
Схема Главного меню 18 При нажатии кнопки “MAIN MENU” на экране основного меню дисплей возвраща-ется к нормальному режиму просмотра.Если кнопка “MAIN MENU” нажимается на экране второстепенного меню (Picture,Sound, Features, Language, Preset, Multi PIP), дисплей возвращается к отображениюосновного ме...
Страница 19 - Features; Режим TELETEXT
Схема Главного меню 19 Features Text Меню Экранная индикация Режим TELETEXT Нажмите кнопку TV/TEXT во время работы канала, принимающегосигнал телетекста, чтобы активизировать меню Text.Режим TEXT cтановится доступен при нажатии кнопки “MAIN MENU”.
Страница 20 - Процедура настройки; Выбор канала; Выберите наиболее удобный для просмотра метод выбора каналов.; Позиционирование каналов; Нажмите кнопку; Прямой выбор; Пример
Процедура настройки 20 Выбор канала Выберите наиболее удобный для просмотра метод выбора каналов. 2 канал4 канал6 канал8 канал 10 канал12 канал 14 канал16 канал18 канал20 канал Позиционирование каналов Когда функция Channel Selection установлена врежим POS. (позиционирование) и выполненаавтонастройк...
Страница 21 - Опция “CH SELECT”
Процедура настройки 21 (Телевизор) Перед выбором региональной системы вещания и выполнением функции автонас-тройки AUTO установите режим “CHANNEL SELECT”, как указано ниже: Нажмите кнопку“PRE.” (PRESET), вы-брав в меню Presetопцию “CH SELECT”. Выберите режим “CHSELECT (ChannelSelect)”, нажав кнопкуV...
Страница 22 - Выбор региональной системы
Процедура настройки 22 Выбор региональной системы (Телевизор) Перед автоматической (AUTO) или ручной (MANUAL) настройкой телевизораустановите режим “SYSTEM SELECT” как указано ниже. Нажмите кнопку “PRE”(PRESET) два раза, что-бы выбрать опцию “SYSSELECT” в меню Preset. Выберите подходящуюсистему, наж...
Страница 23 - Распределение каналов
Процедура настройки 23 Распределение каналов • Номера каналов CATV (USA CATV) рекомендованы объединенным комитетом EIA/NCTA Engineering committee и опубликованы в качестве стандарта идентификации каналов кабельного телевиденияEIA INTERIM STANDARD № 6-CABLE TELEVISION CHANNEL IDENTIFICATION PLAN – MA...
Страница 25 - ” для последовательной проверки; Полезные подсказки
Процедура настройки 25 Воспользуйтесь кнопкой Program NumberUp “ ” для последовательной проверки качества приема каждой станции.Если необходимо, повторите операции 3и 4 для каждого номера программы. Когда настройка на все станции будетзавершена, нажмите кнопку “PRE.”(PRESET) 4 раза. Это вернет устро...
Страница 26 - ” или Down “
Процедура настройки 26 Ручная настройка (установки Channel Select и Regional Systemдолжны быть уже выполнены, см. стр. 20 – 23). (Телевизор) Нажмите кнопку “PRE.”(PRESET) 4 раза. Нажмите кнопкуProgramme Number Up“ ” или Down “ ”. Нажмите кнопкуVolume Up “+” илиDown “-”. Volume “+”: следую-щий канал ...
Страница 27 - Вы можете улучшить качество звука.
Содержание 27 Если звук воспроизво-дится нечетко или во-обще не воспроизво-дится для какого-либономера программы, от-регулируйте его кноп-кой Volume Up “+” илиDown “-”. Нажмите кнопку “PRE.”(PRESET) 4 раза. Это вернет устрой-ство к нормальномурежиму просмотра. Вы можете улучшить качество звука. Инди...
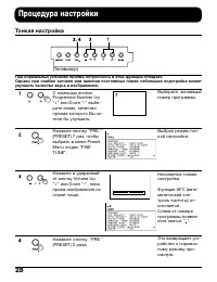
Страница 28 - Тонкая настройка
28 Процедура настройки (Телевизор) Тонкая настройка При нормальных условиях приема потребность в этой функции отпадает.Однако при слабом сигнале или наличии постоянных помех небольшая подстройка можетулучшить качество звука и изображения. С помощью кнопокProgramme Number Up“+” или Down “-” выбе-рите...
Страница 29 - Как отменить тонкую настройку; функцией
29 (Телевизор) Процедура настройки Как отменить тонкую настройку Отмена ранее выполненной (вручную) тонкой настройки означает повторную активациюфункции AFC (Automatic Frequency Control), называемой также AFT (Automatic Fine Tuning).Повторная активация автоматической тонкой настройки (AFT) дает возм...
Страница 30 - Пропуск номера программы
30 Процедура настройки (Телевизор) Пропуск номера программы Номера программ, на которые настроен Ваш телевизор, можно пропускать при отображении на экран-ном дисплее. Эта функция срабатывает только в том случае, если Вы выбираете программы с помощьюкнопок Programme Number Up или Down на основном уст...
Страница 31 - Как отменить функцию Skip; ” или
31 Процедура настройки (Телевизор) Как отменить функцию Skip Нажмите кнопку “PRE.”(PRESET) 8 раз, чтобывыбрать в Preset Menuопцию “SKIP”. Выберите номер про-граммы, которую Выпропустили, при помо-щи кнопки ProgrammeNumber Up “ ” или Down “ ”. Нажмите кнопкуVolume Up “+” илиDown “-“. Повторите шаги 2...
Страница 32 - Основные функции управления
Основные функции управления 32 Как включить или выключить телевизор(режимы питания ON и OFF / STANDBY). Прежде всего подсоедините шнур питания ус-тройства к стенной розетке, затем нажмитекнопку Power (см. стр. 9).Нажмите эту кнопку, чтобы включить телеви-зор, находящийся в режиме ожидания(STANDBY).Ч...
Страница 35 - Выбирается
Основные функции управления 35 (Телевизор) Выбор системы цветности (различные регионы используют разныезвуковые системы) Если не удается получить чистое изображение с естественными цветами во время приема телеви-зионных или AV-сигналов Нажмите кнопку“PRE.” (PRESET) 6 раз.(В режиме AV нужнонажать эту...