Страница 2 - Рекомендации; Information for Your Safety; IMPORTANT SAFETY
2 RU Символы , используемые в руководстве Во всех разделах данного руководства используются следующие символы . % Рекомендации Полезная информация и советы , которые помогут вам максимально использовать возможности фотоаппарата . g Ссылки на страницы с подробным описанием или сопутствующей информаци...
Страница 3 - ание; SCN; PHOTO; Содержание
3 RU Содер ж ание Краткий указатель операций 7 Спецификация компонентов 10 Подготовка 12 Распаковка содержимого коробки ....................................... 12 Зарядка и установка аккумулятора ............................. 13 Установка карты ....................... 14 Подсоединение объектива к фо...
Страница 6 - Pixel Mapping –; Информация
6 RU Содер ж ание Сохранение информации печати (DPOF) .......................... 121 Создание задания печати .... 121 Удаление всех или выбранных изображений из задания печати .................................... 122 Осторожно 123 Аккумулятор и зарядное устройство ............................... 123...
Страница 7 - Съемка; ISO; Краткий
7 RU Краткий указатель операций Съемка g Просто выполняйте съемку без сложных настроек A 22 Съемка в соответствии с вашими предпочтениями без необходимости понимания технических терминов Фотогид 22 Съемка автопортретов Автопортреты 42 Съемка художественных фотографий Художественный фильтр 26 Быстрая...
Страница 9 - Воспроизведение; HDMI; Настройки
9 RU Краткий указатель операций Воспроизведение g Просмотр изображений на экране телевизора HDMI 90 Видеовыход 90 Просмотр на экране телевизора 100 Коррекция эффекта « красных глаз » Убр . Кр . Глаз ( Редакт . JPEG) 85 Печать Создание задания печати 121 Прямая печать 119 Передача изображений в смарт...
Страница 10 - Спецификация
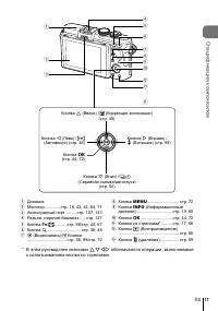
10 RU Спецификация ко мпонент ов Спецификация компонентов 1 Диск выбора режимов ............... стр . 20 2 Кнопка спуска затвора .............. стр . 21 3 Кнопка ON/OFF ( включения / выключения ) .............................. стр . 16 4 Диск управления * ( P ) ................................... ст...
Страница 11 - Fn
11 RU Спецификация ко мпонент ов 45 6 7 9 8 0 a bc 2 1 3 Кнопка F ( Вверх ) / F ( Коррекция экспозиции ) ( стр . 45) Кнопка I ( Вправо ) / # ( Вспышка ) ( стр . 58) Кнопка G ( Вниз ) / j Y ( Серийная съемка / автоспуск ) ( стр . 54) Кнопка H ( Лево ) / P ( Автофокус ) ( стр . 46) Кнопка z ( стр . 44...
Страница 12 - товка; Подготовка; Распаковка; USB; Прикрепление
12 RU Подг о товка 1 1 Подготовка Распаковка содержимого коробки Вместе с фотоаппаратом поставляются следующие компоненты . Если что - либо отсутствует или повреждено , обратитесь к дилеру , у которого был приобретен фотоаппарат . Фотоаппарат Крышка корпуса Ремешок Кабель USB CB-USB6 CD-ROM ( Руково...
Страница 13 - Зарядка; Индикатор
13 RU Подг о товка 1 Зарядка и установка аккумулятора 1 Зарядка аккумулятора . Индикатор зарядки Идет зарядка Светится оранжевым Зарядка завершена Откл . Ошибка зарядки Мигает оранжевым ( Время зарядки : приблизительно до 3 часов 30 минут ) 1 2 3 Настенная розетка переменного тока Литиево - ионный а...
Страница 14 - Установка; Карты; Расположение; Как
14 RU Подг о товка 1 Установка карты С данным фотоаппаратом можно использовать карты памяти SD ( продается в магазинах ) следующих типов : SD, SDHC, SDXC и Eye-Fi. Карты Eye-Fi Перед использованием прочитайте раздел « Используемые карты » ( стр . 124). 1 Откройте крышку аккумуляторного отсека / отсе...
Страница 15 - Подсоединение; Сменные
15 RU Подг о товка 1 Подсоединение объектива к фотоаппарату 1 Снимите заднюю крышку объектива и крышку корпуса фотоаппарата . 1 2 Задняя крышка 2 1 2 Совместите метку крепления объектива ( красная ) на фотоаппарате с меткой совмещения ( красная ) на объективе , а затем вставьте объектив в корпус фот...
Страница 16 - Включение; Нажмите; Кнопка
16 RU Подг о товка 1 Включение питания 1 Нажмите кнопку ON/OFF для включения фотоаппарата . • После включения фотоаппарата включится его монитор . • Для выключения фотоаппарата нажмите кнопку ON/OFF еще раз . Кнопка ON/OFF 250 250 F5.6 01:02:03 01:02:03 38 38 ISO-A 2 0 0 Wi-Fi Монитор Уровен...
Страница 17 - MENU; FG; FG; MENU
17 RU Подг о товка 1 Установка даты и времени Дата и время записываются на карте вместе со снимками . Дата и время добавляются также к номеру файла . Перед использованием фотоаппарата установите правильную дату и время . Если дата и время не установлены , некоторые функции будут недоступны . 1 Откро...
Страница 18 - Отображение; AEL; UTO
18 RU Съе мка 2 2 Съемка Отображение информации во время съемки Информация , отображаемая на экране во время съемки Информация , отображаемая на экране во время съемки фотографий 250 250 F5.6 ISO-A 4 0 0 WB AUTO WB WB WB AUTO AUTO AUTO L N 4:3 S-AF S-AF AEL RC BKT + 2.0 + 2.0 P +7 +7 01:02:03 01:02:...
Страница 19 - Переключение; INFO
19 RU Съе мка 2 Информация , отображаемая на экране во время видеосъемки Wi-Fi 28 mm G F n P P FHD F M-IS ON M-IS ON 01:02:03 01:02:03 ISO ISO AUTO AUTO C-AF C-AF H F Режим съемки ............................ стр . 62 G Эффекты для видео ................. стр . 37 H Значок клипов ......................
Страница 20 - Фотосъемка; Типы; Настройте
20 RU Съе мка 2 Фотосъемка Диск выбора режимов предназначен для выбора режима съемки и ее выполнения . Указатель Значок режима Типы режимов съемки Описание возможностей использования разных режимов съемки см . ниже . A ................ стр . 22 SCN ................. стр . 24 ART ...................
Страница 21 - Спустите
21 RU Съе мка 2 3 Настройте фокус . • Расположите фотоаппарат таким образом , чтобы объект съемки находился по центру экрана , и слегка нажмите кнопку спуска затвора до первого положения ( наполовину ). Отобразится метка подтверждения автофокуса ( ( ), и вокруг области фокусировки появится зеленая р...
Страница 22 - не; Закладка; Элемент; Выбор
22 RU Съе мка 2 Съемка сверху и снизу Ориентацию и угол разворота монитора можно изменить . 1 Опустите монитор вниз . 2 Отрегулируйте угол наклона монитора . 2 1 1 Низкий угол Верхний угол • Аккуратно поворачивайте монитор в диапазоне , показанном на рисунке . не применяйте силу ; несоблюдение этой ...
Страница 24 - Выберите; f n
24 RU Съе мка 2 Съемка с использованием сюжетных режимов ( SCN ) Выберите сюжет в соответствии с объектом съемки . 1 Поверните диск выбора режимов для выбора SCN . • Откроется меню сюжетных режимов . Выберите сюжет с помощью кнопки со стрелками ( FG ). Сцены также можно выбирать с помощью сенсорного...
Страница 25 - RAW; FGHI
25 RU Съе мка 2 • Режим [3D фото ] предусматривает следующие ограничения . Режим [3D фото ] можно использовать только с 3D- объективами . Экран фотоаппарата не может использоваться для просмотра изображений в режиме 3D. Используйте устройство , поддерживающие отображение в режиме 3D. Фокус заблокиро...
Страница 26 - III
26 RU Съе мка 2 Применение художественных фильтров ( ART ) Художественные фильтры позволяют свободно экспериментировать с художественными эффектами . Типы художественных фильтров Поп Арт I/II * Создает изображение , подчеркивающее красоту цвета . Мягкий Фокус Создает изображение , передающее атм...
Страница 27 - ART; Значок; Настройка
27 RU Съе мка 2 1 Поверните диск выбора режимов и выберите ART . • Откроется меню художественных фильтров . Выберите фильтр с помощью диска управления ( P ) или кнопок HI . Фильтры также можно выбирать с помощью сенсорного управления . • Воспользуйтесь FG , чтобы выбрать эффект . Доступные эффекты о...
Страница 28 - SD
28 RU Съе мка 2 Использование режима PHOTO STORY ( J ) Съемка с использованием функции PHOTO STORY. Позволяет вести съемку с выбранным типом эффекта PHOTO STORY. 1 Установите диск выбора режимов на J . • Откроется меню PHOTO STORY. A : Стандартный D : Макет * B : Скорость F : Забавные рамки C : Увел...
Страница 29 - Отснятое
29 RU Съе мка 2 5 Сделайте снимок для следующего кадра . • Выберите объект для следующего кадра и сделайте снимок . • Нажмите , чтобы удалить изображение в предыдущем кадре и повторите съемку . • Прикоснитесь к любому кадру , чтобы удалить изображение в этом кадре и повторить съемку . Прикоснитесь...
Страница 30 - Программная
30 RU Съе мка 2 Предоставление камере возможности выбирать диафрагму и выдержку ( программный режим P ) В режиме съемки P фотоаппарат автоматически выбирает оптимальные значения диафрагмы и выдержки соответственно яркости объекта . Установите диск выбора режимов на P . 250 250 F5.6 01:02:03 01:02:03...
Страница 31 - Значение
31 RU Съе мка 2 Выбор диафрагмы ( режим с приоритетом диафрагмы A ) В режиме съемки A фотограф самостоятельно выбирает значение диафрагмы , а фотоаппарат автоматически настраивает соответствующую выдержку . Установите диск выбора режимов на A , а затем с помощью диска управления ( P ) выберите значе...
Страница 32 - Выдержка
32 RU Съе мка 2 Выбор выдержки ( режим с приоритетом выдержки S ) В режиме съемки S фотограф самостоятельно выбирает выдержку , а фотоаппарат автоматически настраивает соответствующее значение диафрагмы . Установите диск выбора режимов на S , а затем с помощью диска управления ( P ) выберите выдержк...
Страница 33 - Разница; Искажения; Ручная
33 RU Съе мка 2 Выбор диафрагмы и выдержки ( ручной режим M ) В режиме съемки M фотограф самостоятельно выбирает и значение диафрагмы , и выдержку . Их можно установить даже в режиме съемки с ручной выдержкой , длительной выдержки и живой комбинированной съемки . Переведите диск выборов режимов в по...
Страница 35 - Предварительный
35 RU Съе мка 2 Съемка с использованием сенсорного управления Нажимайте T для циклического перемещения по установкам сенсорного экрана . 250 250 F5.6 01:02:03 01:02:03 30 30 ISO-A 2 0 0 Wi-Fi T Нажмите на объект , чтобы автоматически выполнить фокусировку и спуск затвора . Эта функция недоступна в р...
Страница 36 - Видеосъемка
36 RU Съе мка 2 Видеосъемка Видеосъемка возможна при любом положении диска выбора режимов , кроме J (PHOTO STORY). 1 Нажмите кнопку R , чтобы начать запись . • Положение области фокусировки можно изменить путем касания экрана во время записи . 00:00:04 00:00:04 250 250 F5.6 + 3.0 + 3.0 42 mm n Off К...
Страница 37 - Добавление
37 RU Съе мка 2 Использование режима видеосъемки ( n ) В режиме видеосъемки ( n ) можно создавать видеоролики с применением эффектов , доступных в режиме фотографии . Для выбора настроек воспользуйтесь панелью управления Live control. g « Добавление эффектов к видео » ( стр . 62) Можно также примени...
Страница 38 - Телеконвертер
38 RU Съе мка 2 Телеконвертер видео 1 Прикоснитесь к значку , чтобы отобразить рамку увеличения . • Чтобы изменить положение рамки увеличения , прикоснитесь к экрану или воспользуйтесь кнопками FGHI . • Нажмите и удерживайте кнопку z , чтобы вернуть рамку увеличения в центр экрана . 2 Прикоснитесь к...
Страница 39 - Режим
39 RU Съе мка 2 Съемка « Моих клипов » Можно создать файл видеороликов « Мои клипы », содержащий несколько коротких видеороликов ( клипов ). К видеороликам « Мои клипы » можно добавлять фотографии . Режим съемки 1 Поверните диск выбора режимов для выбора n . 2 Прикоснитесь к значку клипов . • Знач...
Страница 40 - BGM
40 RU Съе мка 2 Редактирование раздела « Мои клипы » Все файлы из « Моих клипов » можно объединить в один видеоролик . Снятые клипы хранятся в папке « Мои клипы ». К « Моим клипам » можно добавлять видеоролики и фотографии ( стр . 70). Можно также применить эффекты смены экранов и эффекты художестве...
Страница 41 - Full HD
41 RU Съе мка 2 6 Завершив редактирование , выберите [ Начать экспорт ] и нажмите z . • Комбинированный альбом сохранится в виде одного видеоролика . • Экспортирование видеозаписи может занять некоторое время . • Максимальная продолжительность записей в « Моих клипах » составляет 15 минут , а максим...
Страница 42 - Автопортреты
42 RU Съе мка 2 Автопортреты Повернув экран , вы можете фотографировать себя , одновременно видя себя на экране просмотра . 1 Слегка надавите на монитор , а затем переверните его вниз . 2 1 1 • Если прикреплен объектив с механическим зумом , фотоаппарат автоматически переключится на широкоугольную с...
Страница 43 - Коснитесь
43 RU Съе мка 2 3 Коснитесь C для снятия кадра . • Отснятое изображение появится на экране . • Вы также можете сделать кадр , коснувшись объекта на мониторе , либо нажатием кнопки спуска . • Вы можете делать снимки удаленно , управляя фотоаппаратом с помощью смартфона . g « Дистанционная съемка с по...
Страница 44 - Использование; Вызов; Live control; Панель; Live control
44 RU Съе мка 2 Использование параметров съемки Вызов параметров съемки Часто используемые параметры съемки можно вывести на экран с помощью программируемых кнопок . Для выбора параметров съемки , не присвоенных программируемым кнопкам , воспользуйтесь панелью управления Live control. Панель управле...
Страница 46 - Four Thirds
46 RU Съе мка 2 Установка зоны автофокуса ( зона АФ ) Выберите , какую из 81 меток автофокуса использовать для автофокусировки . 1 Нажмите кнопку P ( H ) для отображения метки АФ . 2 С помощью кнопок FGHI измените отображение отдельной зоны и выберите положение A Ф . • Если вы переместите курсор за ...
Страница 47 - Метод
47 RU Съе мка 2 Автофокус в режиме приоритета лиц и автофокус по зрачкам Фотокамера обнаруживает лица и выполняет по ним фокусировку и цифровой экспозамер ESP. 1 Нажмите кнопку P ( H ) для отображения метки АФ . 2 Нажмите кнопку INFO . • Способ выбора зоны автофокуса можно менять . 3 C помощью HI вы...
Страница 49 - MF; Ближе
49 RU Съе мка 2 Выбор режима фокусировки ( режим автофокуса ) Выберите метод ( режим ) фокусировки . Для режима фотографии и режима n можно выбрать отдельные методы фокусировки . 1 Нажмите кнопку z , чтобы открыть панель управления Live control, и с помощью кнопок FG выберите пункт режима автофокуса...
Страница 50 - SH
50 RU Съе мка 2 Изменение яркости темных и ярких зон Нажмите кнопку F ( F ) и кнопку INFO для отображения меню управления пересветами и тенями . С помощью HI выберите уровень тона . Выберите низкий для затемнения теней , либо высокий для осветления пересветов . I S O 2 0 0 L N P 01:02:03 01:02:03 12...
Страница 51 - Чувствительность
51 RU Съе мка 2 Чувствительность ISO Увеличение чувствительности ISO приводит к повышению уровня « шума » ( зернистости ), но позволяет производить фотосъемку в условиях слабого освещения . В большинстве случаев рекомендуется значение [AUTO]; при этом чувствительность ISO настраивается с учетом усло...
Страница 52 - Баланс
52 RU Съе мка 2 Настройка цвета ( баланса белого ) Баланс белого (WB) гарантирует , что белые объекты на записанных фотоаппаратом снимках будут казаться именно белыми . В большинстве случаев применяется значение [AUTO]. Если оно не обеспечивает желаемого результата или же вы хотите намеренно изменит...
Страница 53 - Уменьшение; Стабилизатор
53 RU Съе мка 2 Баланс белого по эталону Измерьте баланс белого , поместив в кадр лист бумаги или другой белый объект при освещении , которое будет использовано для окончательной фотосъемки . Это полезно при съемке в условиях естественного освещения , а также при освещении различными источниками све...
Страница 54 - Micro Four Thirds; Репортажная
54 RU Съе мка 2 Выбор фокусного расстояния ( за исключением объективов системы Micro Four Thirds/Four Thirds) Данные о фокусном расстоянии помогают уменьшить дрожание фотоаппарата при съемке с объективами , не являющимися объективами системы Micro Four Thirds или Four Thirds. • Выберите [ Стабилизац...
Страница 56 - JPEG; Данные
56 RU Съе мка 2 Настройка соотношения ширины и высоты изображения Вы можете менять соотношение сторон ( отношение ширины к высоте ) во время съемки . В зависимости от ваших предпочтений вы можете установить соотношение сторон [4:3] ( стандартное ), [16:9], [3:2], [1:1] или [3:4]. 1 Нажмите кнопку z ...
Страница 58 - Снимите; UNLOCK; UNLOCK
58 RU Съе мка 2 Использование вспышки ( фотосъемка со вспышкой ) При необходимости вспышку можно настроить вручную . Вспышку можно использовать при съемке в самых разнообразных условиях . 1 Снимите крышку разъема вспышки и присоедините вспышку к фотоаппарату . • Сдвиньте блок вспышки внутрь до конта...
Страница 60 - LV Super; Контроль
60 RU Съе мка 2 Режим съемки Панель управления LV Super control panel Режим вспышки Синхронизация вспышки Условия срабатывания вспышки Предел выдержки S / M # Принудительная вспышка Ранняя вспышка Срабатывает всегда 60 сек . – 1/250 сек .* # ! Принудительная вспышка ( подавление эффекта « красных гл...
Страница 61 - Vivid
61 RU Съе мка 2 Параметры обработки ( режим обработки снимков ) Выберите режим обработки снимков и внесите отдельные корректировки контрастности , резкости и других параметров ( стр . 75). Изменения сохраняются отдельно для каждого режима обработки снимков . 1 Нажмите кнопку z , чтобы открыть панель...
Страница 64 - едение; Упрощенное; Adobe
64 RU Воспроизв едение 3 3 Информация , отображаемая во время просмотра Информация о просматриваемом изображении Упрощенное отображение 2016.04.01 12:30 15 100-0015 ×10 ×10 4:3 L N 3D 3D Wi-Fi f 0a 4 1 5 7 89 c d e 2 3 6 b Общее отображение F5.6 F5.6 +1.0 +1.0 G+4 G+4 A+4 A+4 Adobe Adobe Natural Nat...
Страница 65 - PHOTO STORY
65 RU Воспроизв едение 3 1 Индикатор заряда аккумулятора .................................................... стр . 16 2 Беспроводная связь ........ стр . 110 – 115 3 Добавление информации GPS .......................................... стр . 113 4 Загрузка Eye-Fi завершена ...... стр . 96 5 Сохранен...
Страница 66 - Просмотр; Диск
66 RU Воспроизв едение 3 Просмотр фотографий и видео 1 Нажмите кнопку q . • На экране появится последний снимок или видеоролик . • Выберите интересующую фотографию или видео с помощью переднего диска ( P ) или кнопки со стрелками . • При нажатии кнопки спуска затвора до половины фотоаппарат возвраща...
Страница 68 - Громкость
68 RU Воспроизв едение 3 Слайд - шоу Эта функция последовательно отображает снимки , сохраненные на карте . 1 Во время воспроизведения нажмите z и выберите [ m ]. JPEG m ɍɞɚɥɟɧɢɟ ɉɨɪɹɞɨɤɩɟɱɚɬɢ ɇɚɡɚɞ ɍɫɬɚɧ 2 Настройте параметры . Старт Запуск слайд - шоу . Изображения отображаются одно за другим , на...
Страница 72 - Основные; EVF; Функции
72 RU 4 Функции меню ( Основные операции ) 4 Основные операции в меню Меню содержат параметры съемки и воспроизведения , которые отсутствуют в панели управления Live control и позволяют настроить фотоаппарат для удобного использования . W Предварительные и основные параметры съемки X Расширенные пар...
Страница 73 - Меню
73 RU Функции меню ( Меню съемки ) 4 Использование Меню съемки 1/ Меню съемки 2 j 4:3 D 1 Ɇɟɧɸɫɴɟɦɤɢ 1 ɍɫɬɄɚɪɬɭɋɛɪɨɫɂɧɞɋɛɪɨɫɊɟɠɢɦɐɜɟɬɚ ɉɪɨɩɨɪɰɢɢɄɚɞɪɚ ɇɚɡɚɞ ɍɫɬɚɧ 2 ɐɢɮɪɨɜɨɣɬɟɥɟɤɨɧɜ Ɉɬɤɥ Меню съемки 1 Меню съемки 2 W Уст . Карту ( стр . 73) Сброс / Инд . Сброс ( стр . 74) Режим Цвета ( стр . 75) K ( ...
Страница 77 - Работу; AF
77 RU Функции меню ( Меню съемки ) 4 Настройка автоспуска ( j / Y ) Работу автоспуска можно настроить . 1 Выберите [ j / Y ] в X Меню съемки 2. o j / Y 2 1 ɋɬɚɛɢɥɢɡɚɰɢɹȻɪɟɤɟɬɢɧɝ Ɇɭɥɶɬɢɷɤɫɩɨɡɢɰɢɹ # ɊɟɠɢɦȾɭ ɇɚɫɬɪɡɚɦɟɞɫɴɟɦɤɢ HDR ɇɚɡɚɞ ɍɫɬɚɧ Ɇɟɧɸɫɴɟɦɤɢ 2 Ɉɬɤɥ Ɉɬɤɥ Ɉɬɤɥ Ɉɬɤɥ Ɉɬɤɥ 2 Выберите [ Y C] ( поль...
Страница 78 - брекетинг; «EV
78 RU Функции меню ( Меню съемки ) 4 Последовательное изменение настроек для серии фотографий ( брекетинг ) Словом « брекетинг » обозначается операция автоматического варьирования установок в серии снимков или серии изображений , когда текущая установка изменяется в диапазоне между варьирующимися зн...
Страница 79 - G – M; • ART BKT
79 RU Функции меню ( Меню съемки ) 4 WB BKT ( брекетинг ББ ) Во время съемки одного кадра автоматически создаются три изображения с разными настройками баланса белого ( отрегулированными в указанных цветовых направлениях ), начиная с текущего выбранного значения баланса белого . Брекетинг ББ доступе...
Страница 80 - HDR; HDR
80 RU Функции меню ( Меню съемки ) 4 Съемка изображений расширенного динамического диапазона (HDR) Фотоаппарат снимает несколько изображений и автоматически объединяет их в одно изображение HDR. Кроме того , можно отснять несколько изображений и выполнить объединение HDR на компьютере ( съемка с бре...
Страница 81 - Кол
81 RU Функции меню ( Меню съемки ) 4 Запись нескольких экспозиций в одном изображении ( мультиэкспозиция ) Можно записать несколько экспозиций в одном изображении , используя выбранное в данный момент значение параметра качества изображения . 1 Выберите [ Мультиэкспозиция ] в X Меню съемки 2. 2 Наст...
Страница 85 - Редакт
85 RU Функции меню ( Меню про смо тра ) 4 Редакт . JPEG Выберите один из следующих параметров . [ Осв . Теней ]: увеличение яркости темного объекта в контровом свете . [ Убр . Кр . Глаз ]: подавление эффекта « красных глаз » при съемке со вспышкой . [ P ]: выберите размер вырезаемого участка с помощ...
Страница 86 - Запись; Полное
86 RU Функции меню ( Меню про смо тра ) 4 Наложение изображений Можно выполнить наложение до 3- х снятых с помощью фотоаппарата изображений в формате RAW и сохранить их как отдельное изображение . Изображение сохраняется в режиме записи , установленном на момент сохранения . ( Если выбрано значение ...
Страница 88 - АФ; TIME
88 RU Функции меню ( Польз овательск ое меню ) 4 Использование пользовательских меню Настройки фотоаппарата можно персонализировать с помощью c Пользовательское меню . Пользовательское меню R Аф / Рф ( стр . 88) STUVWX 2 1 R ɉɨɥɶɡɨɜɚɬɟɥɶɫɤɨɟɦɟɧɸ ɍɫɬɚɧ AF/MF ɄɧɨɩɤɢȾɢɫɤɋɩɭɫɤ j ɋɬɚɛɢɥɢɡɚɰɢɹ Ɇɨɧɢɬɨɪ 8 ɉ...
Страница 89 - Кнопки; IS
89 RU Функции меню ( Польз овательск ое меню ) 4 S Кнопки / Диск Параметр Описание g Функция Кнопки Выберите функцию , назначенную выбранной кнопке . 98 [ F Функция ], [ U Функция ], [ R Функция ], [ I Функция ], [ G Функция ], [ n Функция ], [ l Функция ] Функции диска Вы можете изменить функцию ди...
Страница 90 - Монитор
90 RU Функции меню ( Польз овательск ое меню ) 4 U Монитор / 8 / Пк Параметр Описание g HDMI [HDMI Выход ]: Выбор формата цифрового видеосигнала при подключении к телевизору с помощью кабеля HDMI. [HDMI Упр .]: Выберите значение [ Вкл .], чтобы разрешить управление фотоаппаратом с помощью пультов ди...
Страница 91 - Эксп
91 RU Функции меню ( Польз овательск ое меню ) 4 Параметр Описание g Режим LV Close Up [mode1]: При нажатии кнопки спуска затвора наполовину выполняется сброс масштаба . [mode2]: Масштаб не сбрасывается при нажатии кнопки спуска затвора наполовину . 48 z Блокир . Если выбрано значение [ Вкл .], при ...
Страница 92 - Live TIME; Польз
92 RU Функции меню ( Польз овательск ое меню ) 4 Параметр Описание g ISO- Авто Настр . Выбор верхнего предела и значения по умолчанию для чувствительности ISO, когда параметру ISO присвоено значение [ Авто ]. [ Верхний Порог ]: Настройка верхнего предела для автоматического выбора чувствительности I...
Страница 93 - Цвет; Уровень; Live
93 RU Функции меню ( Польз овательск ое меню ) 4 X K / Цвет / ББ Параметр Описание g K Настройка В разделе выбора режима качества записи изображения JPEG можно выбирать среди комбинаций из трех размеров изображений и четырех уровней сжатия . 1) С помощью HI выберите комбинацию ([ K 1] – [ K 4]) и из...
Страница 94 - Pmdd; dpi; Exif; OLYMPUS
94 RU Функции меню ( Польз овательск ое меню ) 4 Y Запись / Удаление Параметр Описание g Быстр . Удал Если выбрано значение [ Вкл .], то нажатие кнопки в режиме воспроизведения приведет к немедленному удалению текущего изображения . — RAW+JPEG Уд a л Выбор действия , выполняемого , когда в режиме ...
Страница 95 - Видеоролик
95 RU Функции меню ( Польз овательск ое меню ) 4 Z Видеоролик Параметр Описание g n Режим Выбор режима записи видео . Этот параметр также можно выбрать с помощью панели управления Live control. 37 Видео R Выберите [ Откл .], чтобы записывать видео без звука . Этот параметр также можно выбрать с помо...
Страница 96 - Pixel Mapping
96 RU Функции меню ( Польз овательск ое меню ) 4 b K Настройки Параметр Описание g Pixel Mapping Функция картирования пикселей позволяет фотоаппарату проверить и отрегулировать устройство приема изображения и функции обработки изображений . 133 Сдвиг Экспозиции Настройка оптимальной экспозиции отдел...
Страница 97 - Рф; Увеличить
97 RU Функции меню ( Польз овательск ое меню ) 4 AEL/AFL MENU c R [AEL/AFL] Автофокусировка и экспозамер могут выполняться нажатием кнопки , для которой назначена функция AEL/AFL. Выберите режим для каждого режима фокусировки . AEL/S-AF AEL AEL AFL mode1 S-AF Режим AEL/AFL Экспозиция До Конца Полуна...
Страница 103 - LV super control panel; Ɋɟɤɨɦɟɧɞ
103 RU Функции меню ( Польз овательск ое меню ) 4 Панель управления LV super control panel Панель управления LV super control panel отображает текущее состояние параметров съемки . Выбрать параметры и изменить настройки можно с помощью сенсорного экрана или кнопки со стрелками . Панель управления LV...
Страница 104 - Курсор
104 RU Функции меню ( Польз овательск ое меню ) 4 1 Заранее выберите [Live SCP] для каждого режима в пункте настроек K ( стр . 90). 2 Нажмите кнопку z , чтобы отобразить панель управления Live control, и нажмите кнопку INFO . • Появится панель управления LV Super control panel. • Отображение элемент...
Страница 107 - OLYMPUS PENPAL
107 RU Функции меню ( Польз овательск ое меню ) 4 Меню вспомогательного порта Использование функции OLYMPUS PENPAL Опциональная функция OLYMPUS PENPAL используется для отправки и получения снимков на устройства Bluetooth или другие камеры , подключенные к OLYMPUS PENPAL. Посетите сайт OLYMPUS для по...
Страница 108 - Редактирование; Создание; Отпр
108 RU Функции меню ( Польз овательск ое меню ) 4 Редактирование адресной книги . OLYMPUS PENPAL может хранить информацию об узлах . Вы можете назначить имена узлам или удалить информацию об узлах . 1 Выберите [ A Отпр . Через PENPAL] в # Меню вспомогательного порта ( стр . 107). 2 Выберите [ Адре...
Страница 109 - PENPAL; Альбом; Электр
109 RU Функции меню ( Польз овательск ое меню ) 4 Параметр Описание g Мой PENPAL Отображает информацию о собственном аккаунте OLYMPUS PENPAL, включая название , адрес и поддерживаемые устройства . Нажмите z для редактирования имени устройства . — Размер снимка Выберите размер снимков для отправки . ...
Страница 110 - тоаппарата; Возможности; GPS; Подключение
110 RU Подключение ф о тоаппарата к смартфону 5 5 Установив соединение со смартфоном при помощи функции беспроводной связи на этом фотоаппарате и указанной программы , можно наслаждаться еще большим количеством функций во время и после съемки . Возможности , предоставляемые указанной программой , OL...
Страница 111 - QR; код; SSID
111 RU Подключение ф о тоаппарата к смартфону 5 Подключение к смартфону Подключите фотоаппарат к смартфону . Запустите программу OI.Share, установленную на смартфоне . 1 Выберите пункт [ Подключение к смартфону ] в q Меню просмотра и нажмите кнопку z . • Установить соединение можно также путем касан...
Страница 114 - Изменение
114 RU Подключение ф о тоаппарата к смартфону 5 Изменение способа подключения Существует два способа подключения к смартфону . В режиме [ Частное ] для подключения используются одни и те же настройки . В режиме [ Одноразовое ] каждый раз используются разные настройки . Возможно , вам будет удобно ис...
Страница 117 - OLYMPUS Viewer 3; Windows
117 RU Подк лючение ф от оаппарата к ко мпью теру и принтер у 6 • Выберите [MTP] на шаге 3, чтобы воспользоваться фотоальбомом Windows. • Перенос данных не гарантируется в следующих условиях , даже если ваш компьютер оснащен портом USB: Компьютеры с портом USB, установленном на карте расширения и т ...
Страница 118 - Macintosh
118 RU Подк лючение ф от оаппарата к ко мпью теру и принтер у 6 4 Установите программу OLYMPUS Viewer 3. • Перед началом установки проверьте системные требования . Операционная среда Операционная система Windows Vista SP2/Windows 7 SP1/ Windows 8/Windows 8.1/Windows 10 Процессор Core2Duo с тактовой ...
Страница 119 - Прямая; Перейдите; Простая
119 RU Подк лючение ф от оаппарата к ко мпью теру и принтер у 6 Прямая печать (PictBridge) Посредством подключения фотоаппарата к принтеру , совместимому с технологией PictBridge, при помощи кабеля USB, вы можете напрямую печатать сохраненные фотографии . 1 Подключите фотоаппарат к принтеру с помощь...
Страница 121 - Отмена; Сохранение
121 RU Подк лючение ф от оаппарата к ко мпью теру и принтер у 6 Настройка печати данных Выбор того , должна ли производиться печать даты и времени или имени файла на снимке при печати . Когда установлен режим печати [ Печатать все ] и выбрано значение [ Опции ], появляются следующие параметры . <...
Страница 123 - Осторожно
123 RU Ост оро жно 7 7 Аккумулятор и зарядное устройство • В фотоаппарате используется один литиево - ионный аккумулятор Olympus. Используйте только оригинальные аккумуляторы OLYMPUS. • Потребление энергии фотоаппаратом в значительной степени зависит от интенсивности использования и других условий ....
Страница 124 - Используемые; Переключатель
124 RU Ост оро жно 7 Используемые карты В этом руководстве все устройства хранения данных упоминаются как « карты ». С данным фотоаппаратом можно использовать карты памяти SD ( продается в магазинах ) следующих типов : SD, SDHC, SDXC и Eye-Fi. Новейшая информация об этом находится на веб - сайте Oly...
Страница 126 - Сочетания; Объектив
126 RU Ост оро жно 7 Сменные объективы Выбирайте объектив в соответствии с сюжетом и творческими задачами . Применяйте объективы , предназначенные исключительно для использования в системе Micro Four Thirds с маркировкой M.ZUIKO DIGITAL или символом , показанным справа . С помощью адаптера можно так...
Страница 127 - RC; MODE
127 RU Ост оро жно 7 Внешние вспышки , предназначенные для использования с этим фотоаппаратом Для достижения требуемого эффекта вспышки вы можете использовать с фотоаппаратом продаваемые отдельно внешние вспышки . Внешние вспышки обмениваются информацией с фотоаппаратом , что позволяет управлять реж...
Страница 128 - LV super control panel.; Super FP; Диапазон; Другие
128 RU Ост оро жно 7 3 Настройте параметры для каждой группы с помощью панели управления LV super control panel. 250 250 F5.6 P 38 38 A Mode TTL M Off +5.0 TTL +3.0 1/8 – LO 1 Ch Значение мощности вспышки Группа • Выберите режим управления вспышкой и настройте интенсивность вспышки отдельно для кажд...
Страница 130 - Состав; OM
130 RU Ост оро жно 7 Состав системы *1 С адаптером можно использовать не все объективы . Более подробные сведения приведены на официальном веб - сайте Olympus. Также , пожалуйста , учтите , что объективов система OM прекращено . *2 Список совместимых объективов приведен на веб - сайте Olympus. *3 Ус...
Страница 132 - Очистка; Снаружи
132 RU Ост оро жно 7 Очистка и хранение фотоаппарата Очистка фотоаппарата Перед очисткой фотоаппарат следует выключить и извлечь аккумулятор . Снаружи : • Аккуратно протрите мягкой тканью . Если фотоаппарат очень грязный , смочите ткань в теплой мыльной воде и хорошо отожмите . Протрите фотоаппарат ...
Страница 134 - Объекты
134 RU Инф орм ация 8 8 Рекомендации и сведения о съемке При установленном аккумуляторе фотоаппарат не включается Аккумулятор заряжен не полностью • Зарядите аккумулятор с помощью зарядного устройства . Аккумулятор временно не работает из - за низкой температуры • Эффективность работы аккумулятора с...
Страница 135 - «Pixel Mapping –
135 RU Инф орм ация 8 Снижение шума включено • При съемке ночных сюжетов используется более длинная выдержка , и отмечается тенденция к появлению искажений на снимках . При съемке в условиях низкой освещенности фотоаппарат автоматически задействует функцию фильтрации искажений после каждого кадра . ...
Страница 136 - Коды
136 RU Инф орм ация 8 Коды ошибок Сообщение на мониторе Возможная причина Способ исправления Нет Карты Карта не вставлена или не может быть идентифицирована . Вставьте или замените карту . Ошиб . Карты Имеется проблема с картой . Снова вставьте карту . Если проблема не устраняется , то карту следует...
Страница 138 - Уровни
138 RU Инф орм ация 8 Уровни меню *1: можно добавить в [ Мои настр .]. *2: Установки по умолчанию можно восстановить , выбрав для опции [ Полное ] значение [ Сброс ]. *3: Установки по умолчанию можно восстановить , выбрав для опции [ Основное ] значение [ Сброс ]. K Меню съемки Закладка Функция По у...
Страница 140 - c R; REC; Ps
140 RU Инф орм ация 8 c Пользовательское меню Закладка Функция По умолчанию *1 *2 *3 g c R Аф / Рф Реж . Автофок . Фотоснимок S-AF 88 Видеоролик C-AF Постоянный АФ Откл . AEL/AFL S-AF mode1 C-AF mode2 MF mode1 Возврат Фокуса Вкл . Автофок . BULB/TIME Вкл . Кольцо Фокусир . ...
Страница 141 - c U
141 RU Инф орм ация 8 Закладка Функция По умолчанию *1 *2 *3 g c U Монитор / 8 / Пк HDMI HDMI Выход 1080i 90 HDMI Упр . Откл . Видеовыход ― K Настр . Упр . iAUTO Фотогид P/A/S/M Live Control ART Худ . Меню SCN Сюж . Меню G / Настр . Инфо q Инфо Только Фото , Полностью LV-Info Тольк...
Страница 142 - c W
142 RU Инф орм ация 8 Закладка Функция По умолчанию *1 *2 *3 g c W # Польз . # Х - Синхр . 1/250 92 # Нижний Порог 1/60 w + F Откл . X K / Цвет / ББ K Настройка K 1 Y F, K 2 Y N, K 3 X N, K 4 W N 93 Подсчет Пикселей X iddle 3200×2400 W mall 1280×960 Комп . Виньетир . От...
Страница 144 - Фотоаппарат
144 RU Инф орм ация 8 Спецификация Фотоаппарат Название продукта E-PL8 Тип продукта Тип продукта Цифровой фотоаппарат со сменным объективом стандарта Micro Four Thirds Объектив M.Zuiko Digital, объектив системы Micro Four Thirds Байонет Держатель Micro Four Thirds Эквивалент фокусного расстояния 3...
Страница 145 - MP
145 RU Инф орм ация 8 Сохранение Память SD, SDHC, SDXC и Eye-Fi поддерживается UHS-I Система сохранения Цифровая запись , JPEG ( в соответствии с Правилами разработки для файловых систем фотоаппаратов (DCF)), данные в формате RAW, Формат MP Применимые стандарты Exif 2,3, Digital Print Order Format (...
Страница 147 - МЕРЫ; ВНИМАНИЕ; Общие
147 RU МЕРЫ ПРЕДОС ТОРО ЖНОС ТИ 9 9 МЕРЫ ПРЕДОСТОРОЖНОСТИ МЕРЫ ПРЕДОСТОРОЖНОСТИ ВНИМАНИЕ ОПАСНОСТЬ ПОРАЖЕНИЯ ЭЛЕКТРИЧЕСКИМ ТОКОМ НЕ ОТКРЫВАТЬ ВНИМАНИЕ : ВО ИЗБЕЖАНИЕ ПОРАЖЕНИЯ ЭЛЕКТРИЧЕСКИМ ТОКОМ НЕ СНИМАЙТЕ КРЫШКУ ( ИЛИ ЗАДНЮЮ ПАНЕЛЬ ). ВНУТРИ ФОТОКАМЕРЫ НЕТ ДЕТАЛЕЙ , НУЖДАЮЩИХСЯ В ВАШЕМ ОБСЛУЖИВАН...
Страница 149 - Olympus
149 RU МЕРЫ ПРЕДОС ТОРО ЖНОС ТИ 9 • Если жидкость , вытекшая из аккумулятора , попала на одежду или кожу , немедленно снимите загрязненную одежду и промойте пораженный участок чистой , холодной проточной водой . Если от жидкости на коже остался ожог , срочно обратитесь к врачу . • Литиево - ионный а...
Страница 151 - Сокращенное
151 RU МЕРЫ ПРЕДОС ТОРО ЖНОС ТИ 9 Для пользователей в Европе Знак «CE» указывает , что данный продукт соответствует европейским требованиям по безопасности , охране здоровья , защите окружающей среды и потребителя . Фотоаппараты со знаком «CE» предназначены для продажи в Европе . Сокращенное заявлен...
Страница 153 - PDF
153 RU МЕРЫ ПРЕДОС ТОРО ЖНОС ТИ 9 THIS PRODUCT IS LICENSED UNDER THE AVC PATENT PORTFOLIO LICENSE FOR THE PERSONAL AND NONCOMMERCIAL USE OF A CONSUMER TO (i) ENCODE VIDEO IN COMPLIANCE WITH THE AVC STANDARD («AVC VIDEO») AND/OR (ii) DECODE AVC VIDEO THAT WAS ENCODED BY A CONSUMER ENGAGED IN A PERSON...
Страница 154 - Указатель; Обозначения
154 RU Указатель Обозначения # Режим Ду ...................................... 127 W ...................................................... 87 c / # Меню ......................................... 87 P Уст . Дом ....................................... 88 I ( АФ в режиме приоритета лиц ) ................
Страница 155 - Cyrillic
155 RU P P ( Программная съемка ) .................. 30 PHOTO STORY ................................... 28Pixel Mapping .................................... 133 R RAW .................................................... 56RAW+Jpg Удл ..................................... 94 S S ( Съемка с приоритето...
Страница 156 - LV super control
156 RU К Календарное отображение .......................................... 67, 71, 106 Карта ........................................... 14, 124 Карта SD ........................................... 124 Форматирование карты SD ............ 73 Кнопка INFO ........................... 19, 47, 65 Кольцо...
Страница 202 - RU
46 RU ИНСТРУКЦИЯ Спасибо за выбор продукции Olympus. Для обеспечения безопасности эксплуатации объектива , пожалуйста , прочтите данное руководство по эксплуатации и держите его под рукой , чтобы обратиться к нему в случае необходимости . Перечень компонентов ( Рис . 1 ) 1 Передняя крышка 2 Резьба д...
Страница 203 - Техническая поддержка
RU 47 Размеры : Макс . диам . Ø 56.5 мм × Общая длина 50 мм ( в случае , когда линза отведена назад ) Крепление бленды объектива : Байонет Диаметр резьбового крепления фильтра : 37 мм * Технические характеристики могут быть изменены без предварительного уведомления и каких - либо обязательств со сто...