Страница 2 - Содержание; OLYMPUS; Краткое
2 RU Содержание Проверьте действие кнопок фотокамеры , следуя иллюстрациям . Узнайте , как напечатать сделанные снимки . Узнайте , как переносить снимки на компьютер и сохранять их . Узнайте больше о функциях фотокамеры и о том , как лучше делать снимки . Прочитайте об удобных функциях и мерах предо...
Страница 3 - USB; Прикрепите
К ратко е ру ко во дс тв о RU 3 Выньте из коробки эти предметы ( Надежно затяните ремешок , чтобы он не отсоединился . Цифровая фотокамера Ремешок Ионно - литиевый аккумулятор (LI-42B) Кабель USB Кабель AV Компакт - диск OLYMPUS Master 2 На рисунке не показаны : Полное руководство ( настоящее руково...
Страница 4 - Подготовьте; Аккумулятор
К раткое ру ководст во 4 RU Подготовьте фотокамеру a. Зарядите аккумулятор . ( Аккумулятор поставляется частично заряженным . b. Вставьте в фотоаппарат аккумулятори карту памяти xD- Picture Card ( дополнительно ). 2 1 3 Горит красным : Заряжается Не высвечивается : Зарядка завершена ( Время зарядки ...
Страница 6 - Включите; Режимы; ОТМЕНА; Совет; ON
К раткое ру ководст во 6 RU Включите фотокамеру Ниже поясняется , как включить камеру для выполнения съемки . a. Установите диск режимов в положение h . Режимы фотосъемки b. Нажмите кнопку o . ( Чтобы выключить камеру , нажмите кнопку o еще раз . h Фотокамера определяет оптимальные настройки для сни...
Страница 7 - Описание
К ратко е ру ко во дс тв о RU 7 Установите дату и время a. Нажмите кнопки O F / < и N Y , чтобы выбрать [ Г ] . • Первые две цифры года не изменяются . b. Нажмите кнопку Y # . c. Нажмите кнопки O F / < и N Y , чтобы выбрать [ М ]. Описание экрана установки даты и времени MENU ---- ---- .--.-- ...
Страница 8 - УСТАН; HQ
8 RU Установите дату и время К раткое ру ководст во d. Нажмите кнопку Y # . e. Нажмите кнопки O F / < и N Y , чтобы выбрать [ Д ]. f. Нажмите кнопку Y # . g. Нажмите кнопки O F / < и N Y , чтобы выбрать часы и минуты . • Время отображается в 24- часовом формате . h. Нажмите кнопку Y # . i. Наж...
Страница 10 - Просмотр; Удаление
К раткое ру ководст во 10 RU Просмотр сделанных снимков a. Нажмите кнопку q . a. Нажмите кнопки X & и Y # , чтобы отобразить снимки , которые следует удалить . b. Нажмите кнопку / S . c. Нажмите кнопку O F / < , выберите [ ДА ], затем нажмите H . Клавиши курсора Отображает следующую фотогра...
Страница 11 - Функции
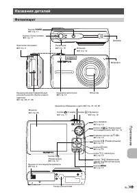
Фун кции кноп ок RU 11 Функции кнопок Съемка фотоснимков Установите диск режимов в любое положение , кроме n , и мягко нажмите кнопку спуска затвора ( наполовину ). Зеленый индикатор загорается после фиксации фокуса и экспозиции ( фиксация фокуса ) и отображения на экране значений выдержки и диафраг...
Страница 13 - XY
Фун кции кноп ок RU 13 При установке параметров следуйте руководству по съемке , отображаемому на экране . • Нажмите m еще раз для отображения руководства по съемке . • Чтобы изменить настройку , не используя руководство по съемке , переключите режим съемки на другой режим . • Содержимое , заданное ...
Страница 14 - AUTO
Функц ии кн оп ок 14 RU Нажмите X & в режиме съемки , чтобы выбрать режим макро . Нажмите H для установки . Нажмите N Y в режиме съемки для включения и выключения автоспуска . Нажмите H для установки . • После установки автоспуска нажмите кнопку спуска затвора полностью . Затем индикатор автоспу...
Страница 16 - Действие; меню; НАЗАД; ВЫХОД
Д ейс тв ие меню 16 RU Действие меню Нажмите m для отображения на мониторе главного меню . • Содержимое , отображаемое в верхнем меню , зависит от режима . • Выберите [ МЕНЮ КАМЕРЫ ], [ МЕНЮ ПРОСМ .] или [ НАСТРОЙКА ] и нажмите H . Отображается экран для выбора пункта меню . • Когда диск режимов уст...
Страница 17 - Использование
Дей ст ви е меню RU 17 Здесь объясняется как пользоваться меню с настройкой [ 8 ] ( предупреждающий сигнал ) в качестве примера . 1 Переведите диск режимов из положения R в любое другое положение . 2 Нажмите m для отображения верхнего меню . Нажмите Y , чтобы выбрать [ НАСТРОЙКА ], а затем нажмите H...
Страница 18 - Меню; Изменение
Д ейс тв ие меню 18 RU • В зависимости от выбранного режима некоторые функции недоступны . g “ Функции , доступные для различных режимов и сюжетов съемки ” ( стр . 47) g “ Меню НАСТРОЙКА ” ( стр . 24) • Настройки изготовителя по умолчанию отображаются серым цветом ( ). Качество фотоизображения и при...
Страница 20 - OLYMPUS Master; ПАНОРАМА
Д ейс тв ие меню 20 RU Панорамная съемка позволяет сделать панорамный снимок с использованием программного обеспечения OLYMPUS Master с прилагаемого компакт - диска . Для панорамной съемки требуется карта Olympus xD-Picture Card. Используя клавишу курсора , укажите край , по которому будут присоедин...
Страница 22 - Примечание; ИЗМЕН
Д ейс тв ие меню 22 RU Выберите снимок с помощью XY , а затем выберите [+90°] / [0°] / [-90°] с помощью ON , чтобы поворачивать снимки . Можно поворачивать снимки один за другим . Служит для регистрации и воспроизведения любимых снимков как новых кадров во внутренней памяти . Можно зарегистрировать ...
Страница 24 - НАСТР; ФОРМАТ
Д ейс тв ие меню 24 RU Эта функция позволяет сохранять на карте памяти данные печати ( количество экземпляров , информацию о дате и времени ) вместе со снимками . g “ Цифровой формат управления печатью (DPOF)” ( стр . 30) При форматировании из внутренней памяти или с карты удаляются все данные , в т...
Страница 26 - Настройки
Д ейс тв ие меню 26 RU Дата и время сохраняются вместе с каждым снимком и используются в имени файла . Если дата и время не установлены , при каждом включении камеры будет отображаться экран [ X ]. Для воспроизведения изображений камеры через телевизор установите видеовыход в соответствии с типом ви...
Страница 27 - Вывод; Что; Прямая
Выво д сним ков на пе чать RU 27 Вывод снимков на печать Если подключить фотокамеру к PictBridge- совместимому принтеру , можно печатать снимки прямо с фотокамеры . Выберите снимки , которые следует печатать , а также количество экземпляров на мониторе фотокамеры . Чтобы узнать , является ли ваш при...
Страница 28 - УДОБ ПЕЧАТ СТАРТ; U S B
Выв о д сн и м ко в на печ ать 28 RU 3 Нажмите O F / < . • Начинается процесс печати . • По окончании печати отображается экран выбора снимка . Чтобы напечатать другой снимок , нажмите XY для выбора снимка , а затем нажмите O F / < . • Закончив печать , отсоедините кабель USB от фотокамеры , к...
Страница 30 - Цифровой
Выв о д сн и м ко в на печ ать 30 RU 4 Выберите [ ПЕЧАТЬ ] и нажмите H . • Начинается процесс печати . • По завершении печати отображается окно [ ВЫБ . РЕЖ . ПЕЧ .]. Отмена вывода на печать 5 На экране [ ВЫБ . РЕЖ . ПЕЧ .] нажмите m . • Отображается сообщение . 6 Отсоедините кабель USB от фотокамеры...
Страница 33 - OLYMPUS Master –; Обзор
RU 33 Исполь зование OLY M PU S Mast er Использование OLYMPUS Master С помощью кабеля USB, входящего в комплект поставки фотокамеры , можно соединять фотокамеру с компьютером и загружать ( пересылать ) в компьютер файлы изображений , используя программу OLYMPUS Master, которая также входит в комплек...
Страница 34 - Macintosh
Испол ьзование OLYMP U S Mast er 34 RU Перед установкой программы OLYMPUS Master убедитесь , что ваш компьютер отвечает следующим системным требованиям . Информация о более новых операционных системах находится на веб - сайте Olympus по адресу , указанному на последней странице . Системная среда Win...
Страница 36 - Windows; Подсоединение; Крышка
Испол ьзование OLYMP U S Mast er 36 RU 1 Убедитесь , что фотокамера выключена . • Монитор выключен . • Объектив не выдвинут . 2 Соедините универсальный разъем фотокамеры и порт USB компьютера с помощью прилагаемого кабеля USB. • О расположении порта USB см . в руководстве по эксплуатации компьютера ...
Страница 39 - Чтобы
Исполь зование OLY M PU S Mast er RU 39 Аккумулятор должен быть полностью заряжен ! 1 Убедитесь , что компьютер подключен к сети Интернет . 2 Подсоедините кабель USB к порту USB на компьютере . 3 Вставьте другой конец кабеля USB в разъем USB на фотокамере . • Фотокамера включается автоматически . • ...
Страница 40 - Советы
Бол ее под робное знакомство с фото каме рой 40 RU Более подробное знакомство с фотокамерой Аккумулятор не заряжен • Зарядите аккумулятор при помощи зарядного устройства . Аккумулятор временно потерял работоспособность вследствие охлаждения • Работоспособность аккумулятора снижается при низких темпе...
Страница 48 - Приложение
Приложение 48 RU Приложение Внешние поверхности : • Протирайте осторожно мягкой салфеткой . Если фотокамера сильно загрязнена , смочите салфетку в слабом мыльном растворе , а затем тщательно выжмите . Протрите фотокамеру влажной салфеткой , а затем протрите насухо сухой салфеткой . После использован...
Страница 49 - Режим
Приложение RU 49 ( Не используйте в путешествиях преобразователи напряжения . Они могут повредить зарядное устройство и адаптер переменного тока . Снимки можно записывать на карту , приобретаемую дополнительно . Внутренняя память и карты – это носители для записи снимков , выполняющие в фотокамере т...
Страница 50 - Меры; ОСТОРОЖНО
Приложение 50 RU Прочитайте все инструкции — Перед использованием изделия прочитайте все инструкции по эксплуатации . Сохраните все технические руководства и документацию для дальнейшего использования . Очистка — Перед очисткой обязательно отсоединяйте изделие от электросети . Для очистки можно испо...
Страница 51 - LED; ПРЕДУПРЕЖДЕНИЕ
Приложение RU 51 ОСТОРОЖНО ( Нельзя пользоваться фотокамерой рядом с горючими или взрывоопасными газами . ( Не используйте вспышку и LED при съемке людей ( младенцев , маленьких детей и т . д .) с близкого расстояния . • При съемке со вспышкой располагайте фотокамеру не ближе 1 м от человеческих лиц...
Страница 52 - Предупреждение
Приложение 52 RU • Нельзя нагревать аккумуляторы или бросать их в огонь . • При использовании или хранении аккумуляторов следите , чтобы они не касались металлических предметов типа ювелирных украшений , булавок , застежек и т . п . • Нельзя хранить аккумуляторы в местах , где они могут подвергаться...
Страница 54 - FCC
Приложение 54 RU Несанкционированное фотографирование или использование материалов , защищенных авторским правом , может привести к нарушению действующего законодательства об авторском праве . Фирма Olympus не принимает никакой ответственности за несанкционированные фотографирование , использование ...
Страница 56 - Примечания; Торговые
Приложение 56 RU 5. Обязательства Olympus по данной гарантии ограничиваются исключительно ремонтом и заменой изделия . Исключается какая - либо ответственность за прямые или косвенные убытки и повреждения , понесенные владельцем из - за неисправности изделия , в частности , за убытки и повреждение к...
Страница 57 - Фотоаппарат
Приложение RU 57 ТЕХНИЧЕСКИЕ ХАРАКТЕРИСТИКИ ( Фотоаппарат Тип изделия : Цифровая фотокамера ( для съемки и просмотра ) Система записи Снимки : Цифровая запись , JPEG ( в соответствии с Design rule for Camera File system (DCF) ( Проектные нормы для файловой системы фотокамеры ) Поддерживаемые стандар...
Страница 58 - Ионно
Приложение 58 RU Конструкция и технические характеристики могут быть изменены без предварительного уведомления . ( Ионно - литиевый аккумулятор (LI-42B) Тип изделия : Ионно - литиевый аккумулятор Стандартное напряжение : 3,7 В постоянного тока Стандартная емкость : 740 мАч Срок службы аккумулятора :...
Страница 60 - Символы; Фильмы
Приложение 60 RU ( Режим съемки Символы и значки на мониторе Элемент Индикаторы Стр . для справки 1 Режимы съемки P , P , B , F , U , A , C и т . п . стр . 11 2 Автоспуск Y стр . 14 3 Выдержка 1 – 1/2000 стр . 9 4 Значение диафрагмы F2,7, и т . п . стр . 9 5 Компенсация экспозиции -2.0 – +2.0 стр . ...
Страница 62 - Индекс
62 RU Индекс K / q ........................................................ 25 h ( АВТО ) ......................................... 6, 12 n ( ВИДЕО ) ......................................... 11, 13 R ( видео ) ................................................... 19 E ( ЛАНДШАФТ ) ......................