Ноутбуки Lenovo ThinkPad L560 - инструкция пользователя по применению, эксплуатации и установке на русском языке. Мы надеемся, она поможет вам решить возникшие у вас вопросы при эксплуатации техники.
Если остались вопросы, задайте их в комментариях после инструкции.
"Загружаем инструкцию", означает, что нужно подождать пока файл загрузится и можно будет его читать онлайн. Некоторые инструкции очень большие и время их появления зависит от вашей скорости интернета.

1
Камера (в некоторых моделях)
С помощью этой камеры можно делать фотографии и вести видеоконференции. Дополнительную
информацию см. в разделе “Использование камеры” на странице 36.
2
Микрофоны (в некоторых моделях)
Микрофоны улавливают звук и голос при использовании с программой, предусматривающей
обработку звукового потока.
3
Кнопка питания
Нажмите кнопку питания, чтобы включить компьютер или перевести его в режим сна. Порядок
выключения компьютера см. в разделе “Часто задаваемые вопросы” на странице 19.
Если компьютер не реагирует на ваши действия, то для того, чтобы его выключить, нажмите кнопку
питания и удерживайте ее в течение четырех секунд или больше. Если компьютер не выключается,
см. “Компьютер перестал отвечать на команды” на странице 127 для получения дополнительной
информации.
Можно также указать действия, которые должны выполняться при нажатии кнопки питания.
Например, можно запрограммировать кнопку питания на выключение компьютера, его перевод в
режим сна или гибернации при нажатии кнопки питания. Чтобы изменить действие, выполняемое при
нажатии кнопки питания, сделайте следующее:
1. Откройте панель управления и измените ее представление, выбрав вместо категорий крупные
или мелкие значки.
2. Щелкните
Электропитание
➙
Действия кнопок питания
.
3. Следуйте инструкциям на экране.
4
Цифровая клавиатура
Цифровая клавиатура на компьютере позволяет быстро вводить числа.
5
Устройство распознавания отпечатков пальцев (доступно лишь в некоторых моделях)
Технология аутентификации по отпечатку пальца обеспечивает простой и безопасный доступ
пользователя с помощью привязки отпечатка пальца к паролям. Дополнительную информацию см. в
разделе “Использование устройства распознавания отпечатков пальцев” на странице 52.
Манипулятор ThinkPad
6
Манипулятор TrackPoint
7
Сенсорная панель
Можно одним движением наводить указатель, выделять и перетаскивать элементы, не снимая рук с
клавиатуры. Дополнительную информацию см. в разделе “Манипулятор ThinkPad” на странице 23.
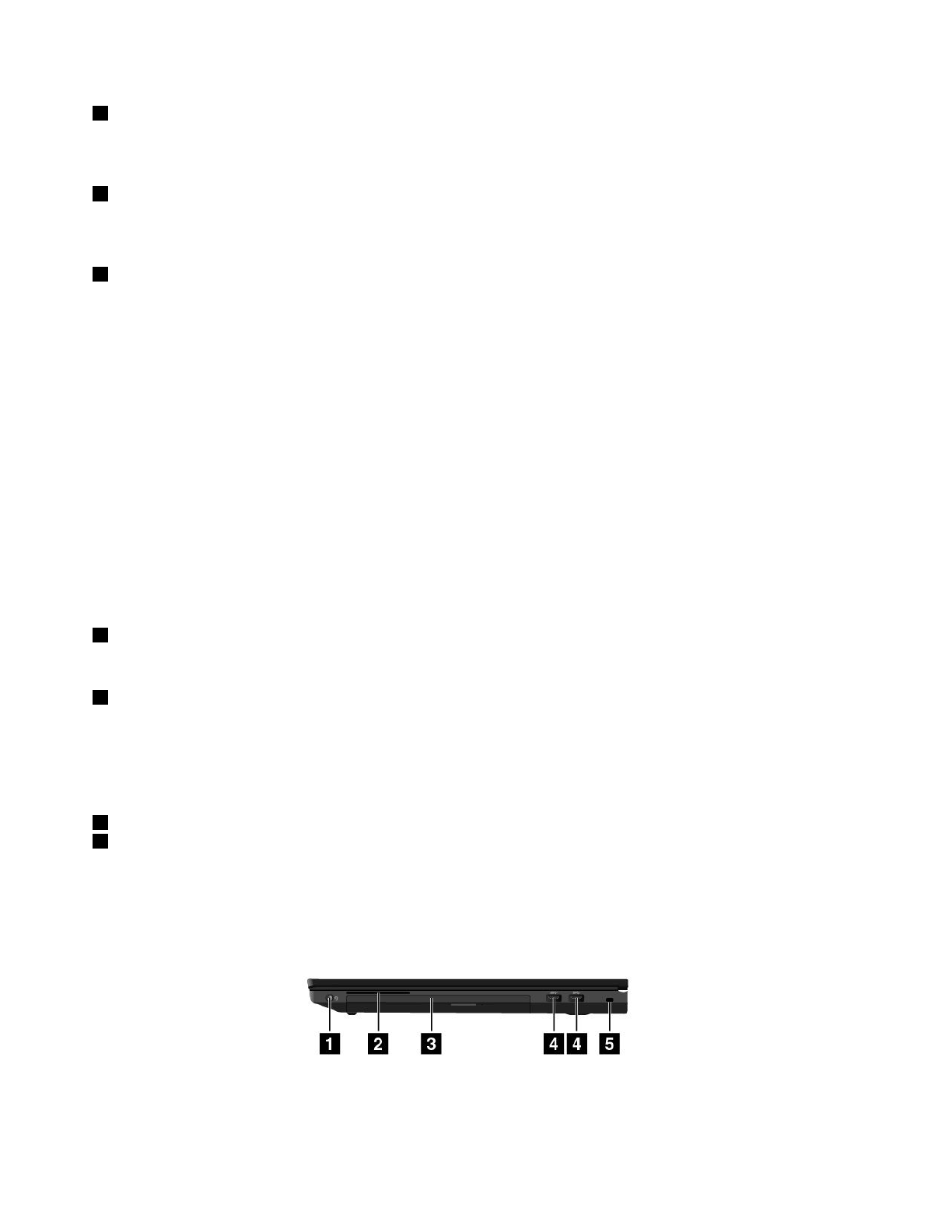
Вид справа
Рис. 2. Вид справа
2
Руководство пользователя ThinkPad L560
Содержание
- 3 Содержание
- 4 ii
- 5 iii
- 7 Прочтите вначале; Будьте осторожны: при работе компьютер нагревается.; Будьте осторожны: в процессе работы адаптер питания нагревается.; Берегите компьютер от влаги.
- 8 Будьте аккуратны при переноске компьютера.; Обращайтесь с компьютером аккуратно.; Важная информация по технике безопасности
- 9 Состояния, требующие немедленных действий; vii
- 10 Техника безопасности; Обслуживание и модернизация; ОПАСНО
- 12 Инструкция по работе с блоками питания; Внешние устройства
- 16 Заявление о соответствии требованиям к лазерному оборудованию
- 17 Замечания по пластиковым пакетам
- 18 xvi
- 19 Глава 1. Обзор продукта; Вид спереди
- 20 Вид справа
- 21 Аудиоразъем; Гнездо с защитным замком; Вид слева
- 23 Гнездо ExpressCard (доступно в некоторых моделях); Гнездо для мультимедийных карт; Вид снизу; Аккумулятор
- 24 Динамики; Дренажные отверстия клавиатуры; Вид сзади; Разъем Ethernet
- 26 Индикаторы состояния; Индикатор Fn Lock; Индикаторы состояния системы
- 27 Расположение наклеек с важной информацией о продукте
- 28 Информация об идентификаторе FCC ID и номере IC Certification
- 29 Наклейки для операционных систем Windows; Сертификат подлинности Windows 7.; Наклейка подлинного ПО Microsoft; Компоненты и функции компьютера
- 31 Спецификации компьютера
- 33 Все программы; Обзор программ Lenovo
- 37 Глава 2. Работа на компьютере; Регистрация компьютера
- 41 Манипулятор ThinkPad; Манипулятор TrackPoint
- 42 Сенсорная панель
- 43 Жесты для сенсорной панели
- 44 Замена колпачка джойстика
- 45 Настройка манипулятора ThinkPad; Оборудование и звук; Управление питанием
- 46 Использование адаптера питания
- 47 Зарядка аккумулятора; Управление зарядом аккумулятора; Электропитание; Режимы энергосбережения; Режим отключения экрана (только для Windows 7)
- 49 Беспроводные соединения; Настройка; Использование подключения к беспроводной локальной сети; Проверка состояния соединения с беспроводной локальной сетью
- 50 Использование подключения к беспроводной глобальной сети
- 51 Использование соединения Bluetooth
- 54 Использование звуковых функций; Использование камеры; Камера
- 57 Глава 3. Вы и ваш компьютер; Специальные возможности и удобство работы; Общая посадка
- 58 Рекомендации путешественникам; Создание комфортных условий; Информация о специальных возможностях
- 59 Сочетания клавиш; Центр специальных возможностей
- 61 Использование компьютера в поездке
- 62 Дорожные аксессуары
- 63 Глава 4. Безопасность; Использование паролей; Установка, смена или удаление пароля на включение
- 64 Пароль администратора
- 66 Пароли на доступ к жесткому диску
- 68 Security; Защита жесткого диска
- 69 Установка микросхемы защиты
- 70 Использование устройства распознавания отпечатков пальцев
- 71 Эксплуатация устройства распознавания отпечатков пальцев
- 72 Использование брандмауэров
- 73 Защита данных от вирусов
- 75 Информация о восстановлении операционной системы Windows 7; Пуск; ОК; Создание и использование носителей восстановления
- 76 Резервное копирование и восстановление
- 77 Рабочее пространство Rescue and Recovery
- 78 Создание и использование резервных носителей
- 80 Установить с диска; Обзор; Решение проблем, связанных с восстановлением
- 82 Создание и использование USB-накопителя восстановления
- 83 Глава 6. Замена устройств; Защита от статического электричества
- 85 Установка или замена карты micro SIM
- 86 Замена внутреннего устройства хранения данных
- 88 Замена модуля памяти
- 90 Установка или замена карты беспроводной глобальной сети WAN
- 93 Замена дисковода оптических дисков
- 95 Замена клавиатуры
- 101 Замена плоской круглой батарейки
- 105 Глава 7. Расширение возможностей компьютера; Подбор дополнительных аксессуаров ThinkPad; ThinkPad Basic Dock
- 106 Кнопка извлечения
- 107 ThinkPad Pro Dock
- 109 ThinkPad Ultra Dock
- 111 Гнездо для защитного замка; Подсоединение док-станции ThinkPad
- 112 Отсоединение док-станции ThinkPad
- 114 Средства защиты
- 115 Глава 8. Расширенные настройки; Установка новой операционной системы
- 116 Установка операционной системы Windows 10
- 117 Установка драйверов устройств
- 118 Использование программы ThinkPad Setup; жирным шрифтом; Меню Main; Main
- 119 Меню Config; Config
- 126 System Date; System Time; Меню Security
- 133 Меню Startup; Startup
- 134 Boot
- 136 Использование средств управления системой; Desktop Management Interface; Wake on LAN; Network Boot
- 137 Настройка средств управления компьютером
- 139 Глава 9. Предотвращение неполадок; Общие советы по предотвращению проблем
- 140 Обновление драйверов устройств; Загрузка последних версий драйверов с веб-сайта; Обновление драйверов с использованием программы System Update
- 141 Уход за компьютером; Обращайтесь с компьютером осторожно и бережно
- 142 Правильно носите ваш компьютер; Будьте внимательны, задавая пароли
- 143 Чистка крышки компьютера; Чистка клавиатуры; Чистка дисплея
- 145 Глава 10. Устранение неполадок компьютера; Диагностика неполадок
- 146 Попадание жидкости на клавиатуру; Если вы пролили жидкость на компьютер:
- 147 Сообщения об ошибках
- 148 Ошибки, при которых сообщения не выводятся
- 149 Решение; Звуковые сигналы, сообщающие об ошибках; Неполадки модулей памяти; Проблемы, связанные с Ethernet; Проблема
- 150 Проблемы беспроводной сети
- 151 Неполадки клавиатуры и других манипуляторов
- 152 Неполадки дисплея и мультимедийных устройств; Неполадки с экраном компьютера
- 154 Проблемы с внешним монитором
- 155 Проблемы с воспроизведением звука
- 156 Неполадки устройства распознавания отпечатков пальцев
- 157 Неполадки аккумулятора и системы питания; Неполадки с аккумулятором; Проблемы с электропитанием
- 158 Неполадки кнопки включения питания; Проблемы режима сна и гибернации
- 159 Неполадки жестких дисков и других устройств для хранения данных; Неполадки с жестким диском
- 161 Неполадки с USB
- 163 Глава 11. Оказание технической поддержки; Перед тем как связаться с Lenovo
- 165 Как обратиться в центр поддержки клиентов Lenovo; Телефоны; Приобретение дополнительных услуг
- 167 Получение поддержки
- 171 Приложение B. Нормативные сведения; Расположение антенн беспроводной связи UltraConnectTM; Антенна беспроводной локальной сети (основная); Информация о беспроводной связи; Взаимодействие беспроводных сетей
- 172 Условия работы и ваше здоровье
- 173 Информация о соответствии нормативам радиосвязи; Информация о соответствии нормативам радиосвязи Бразилии; Информация, относящаяся к сертификации; Замечания по классификации для экспорта
- 174 Замечание об электромагнитном излучении
- 175 Deutschsprachiger EU Hinweis:; Заявление о соответствии классу B для Кореи
- 177 Важная информация о WEEE
- 179 Информация по утилизации для Бразилии; Declarações de Reciclagem no Brasil; Информация об утилизации аккумуляторов для Тайваня (Китай); Примечание
- 180 Утилизация аккумуляторов из продуктов Lenovo; Информация об утилизации аккумуляторов для США и Канады
- 183 Приложение E. Информация о модели ENERGY STAR; Сетевые адаптеры
- 185 Приложение F. Замечания
- 186 Товарные знаки












