Насосы Champion GP50 - инструкция пользователя по применению, эксплуатации и установке на русском языке. Мы надеемся, она поможет вам решить возникшие у вас вопросы при эксплуатации техники.
Если остались вопросы, задайте их в комментариях после инструкции.
"Загружаем инструкцию", означает, что нужно подождать пока файл загрузится и можно будет его читать онлайн. Некоторые инструкции очень большие и время их появления зависит от вашей скорости интернета.

23
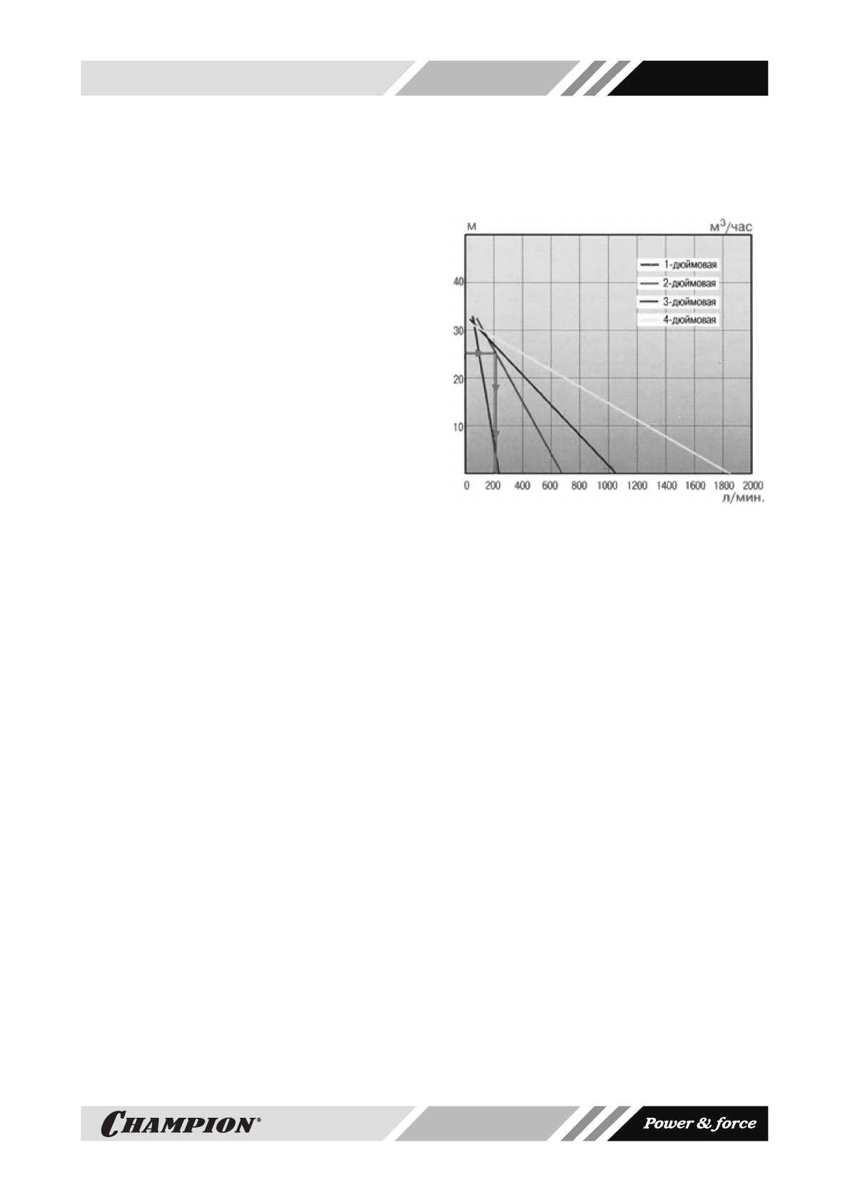
Пример расчета:
Для мотопомпы с максимальной производи-
тельностью 600 л/мин. (2 дюйма на входе +2
дюйма на выходе, 50+50 мм) установленной
на расстоянии 2 м от водоема (Ls = 2 м) с
длиной подающего шланга 50 м (Ld = 50 м).
Дополнительно подсоединен кран (K = 1 м)
согласно таблице гидравлических сопротив-
лений.
Помпа установлена на высоте 5 м от поверх-
ности забора (нs = 5 м).
Высота точки разбора от мотопомпы предпо-
лагается 2 м (нd = 2 м).
Желаемое давление на выходе (в точке раз-
бора) должно составлять 0,5 атм., что
соответствует примерно 5 м водяного столба
(Pr = 5 м).
1. расчет общей длины трубопроводов L =
Ls+Ld+K = 2+50+1 = 53 м
2. расчет общей высоты подъема H =
Hs+Hd+Pr = 5+2+5 = 12 м
3.Для определения расхода воды в точке за-
бора необходимо найти эквивалентную вы-
соту подъема по формуле Hэ = H+0,25L,в
нашем случае
Hэ = 12+0,25x53 = 25 м
4. на графике зависимости высоты подъема
от производительности мотопомпы (рис.19)
находим величину расхода, она составляет
примерно 200л.
рис.19












