Мультиметры FLUKE 789/E - инструкция пользователя по применению, эксплуатации и установке на русском языке. Мы надеемся, она поможет вам решить возникшие у вас вопросы при эксплуатации техники.
Если остались вопросы, задайте их в комментариях после инструкции.
"Загружаем инструкцию", означает, что нужно подождать пока файл загрузится и можно будет его читать онлайн. Некоторые инструкции очень большие и время их появления зависит от вашей скорости интернета.

ProcessMeter™
Опции
,
доступные
при
включении
питания
29
Режим
источника
питания
петли
тока
(
только
789)
Режим
источника
питания
петли
тока
может
использоваться
для
подачи
питания
на
технологический
прибор
(
передатчик
).
При
работе
в
режиме
питания
петли
измерительный
прибор
действует
как
батарея
.
Технологический
прибор
регулирует
ток
.
В
то
же
самое
время
измерительный
прибор
измеряет
ток
,
который
потребляет
технологический
прибор
.
Измерительный
прибор
осуществляет
подачу
питания
на
петлю
при
номинальном
напряжении
24
В
пост
.
тока
.
Внутреннее
последовательное
сопротивление
250
Ω
может
быть
включено
для
связи
с
HART
и
другими
интеллектуальными
устройствами
нажатием
кнопки
J
(Blue).
См
.
Рисунок
3.
Повторное
нажатие
кнопки
J
(Blue)
приводит
к
выключению
этого
внутреннего
сопротивления
.
Когда
функция
питания
петли
активирована
,
измерительный
прибор
конфигурируется
для
измерения
тока
в
мА
,
и
между
гнездами
mA
и
A
присутствует
напряжение
> 24
В
пост
.
тока
.
Гнездо
mA
является
общим
,
а
гнездо
A
находится
под
напряжением
> 24
В
пост
.
тока
.
Подключите
измерительный
прибор
последовательно
с
токовой
петлей
прибора
.
См
.
Рисунок
4.
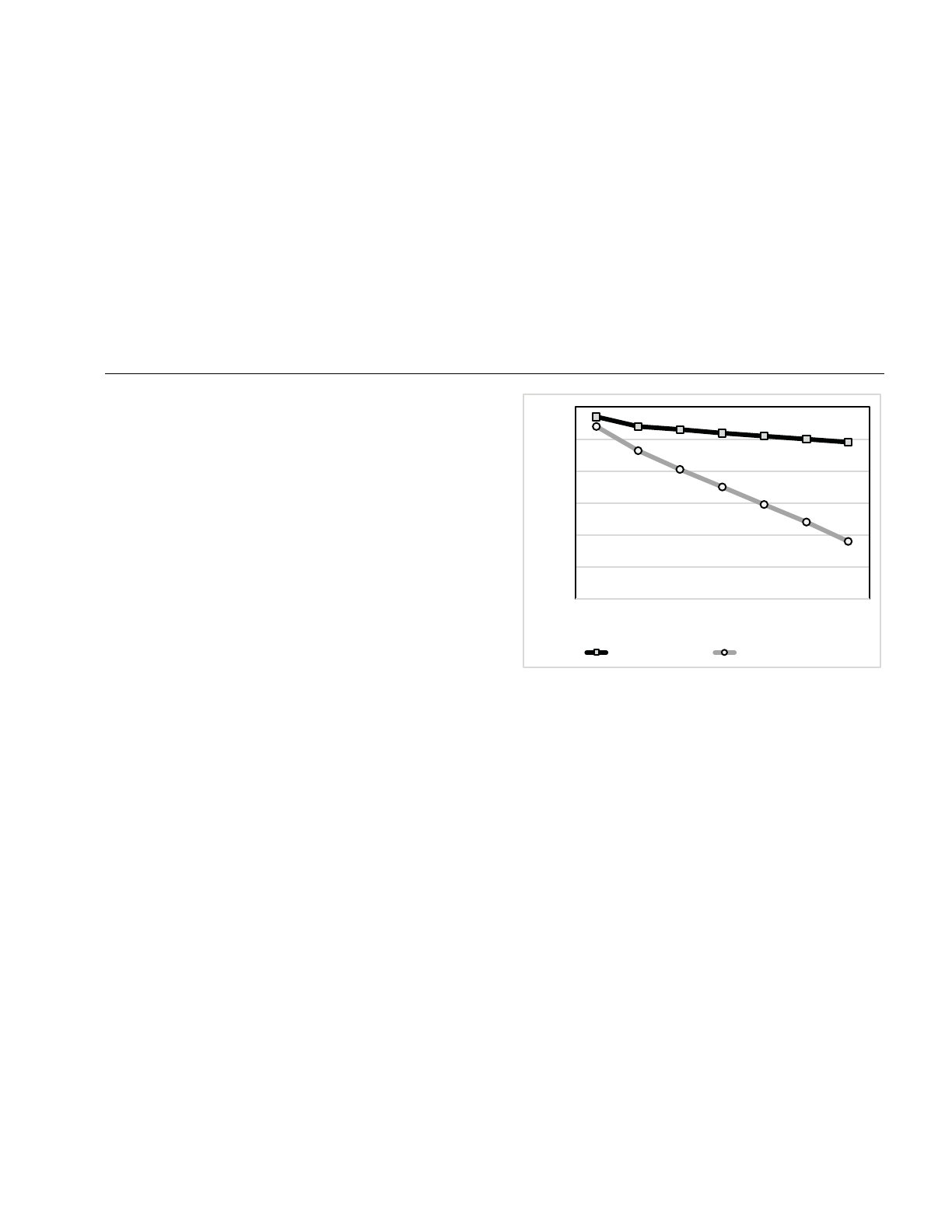
20
22
24
26
28
30
32
0
4
8
12
16
20
24
Напряжение питания контура
с включенным
сопротивлением 250 Ω
Напряжение питания
контура сотключенным
сопротивлением 250 Ω
Напряжение (В)
Ток (mA)
anw020f.eps
Рисунок
3.
Отношение
напряжения
к
силе
тока
питания
петли
Содержание
- 2 Fluke
- 3 Содержание; Название; Auto Ramping
- 4 ii
- 5 ProcessMeterTM; Введение
- 6 Как; Меры
- 8 CAT III
- 9 CSA
- 10 Начало; HOLD
- 11 Таблица; Знакомство
- 12 COM
- 13 AutoHold
- 15 OUTPUT; STEP
- 16 monp; HART
- 17 Номер; Span Check
- 18 FINE; Ymonp
- 20 lI; MAX
- 21 Auto Range; mo
- 22 Измерение; Входной; OL; «Auto; Проверка
- 23 Отображение; MIN MAX
- 24 Использование; SOURCE
- 27 Режим; SIMULATE; Изменение; OUTPUT mA
- 28 В постоянного тока
- 29 Подача
- 30 Ручное; COARSE
- 31 Опции
- 32 Loop
- 35 Срок
- 36 Калибровка; AA
- 38 Замена
- 39 Если; Заменяемые
- 41 RSOB
- 43 Характеристики
- 45 Примечание
- 47 Погрешность
- 49 Общие