Микроволновые печи LG MS2043HS - инструкция пользователя по применению, эксплуатации и установке на русском языке. Мы надеемся, она поможет вам решить возникшие у вас вопросы при эксплуатации техники.
Если остались вопросы, задайте их в комментариях после инструкции.
"Загружаем инструкцию", означает, что нужно подождать пока файл загрузится и можно будет его читать онлайн. Некоторые инструкции очень большие и время их появления зависит от вашей скорости интернета.

3
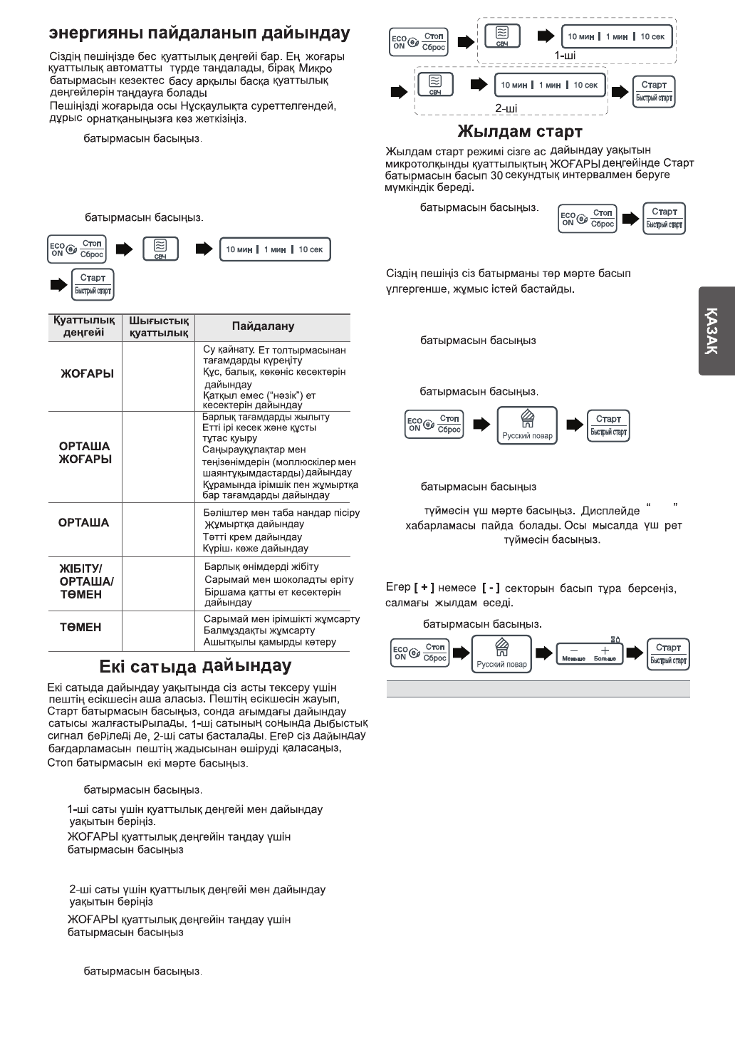
(2). Әзірлеу уақытын орнату үшін
2
түймешігін бірнеше
рет басыңыз.
<
700 Вт
(100%)
•
•
•
•
•
•
•
•
•
•
•
•
•
•
•
•
•
560 Вт
(80%)
420 Вт
(60%)
280 Вт
(40%)
140 Вт
(20%)
2
(3).
(4).
Русскийповар
Қабықтыкартоп
(гс-
3):
(2).
(3). Тағам салмағын таңдау үшін
9
түймешігін бірнеше
рет басыңыз.
(4).
<
;
(1).
(3). Әзірлеу уақытын орнату үшін
:
түймешігін бірнеше
рет басыңыз.
(4).
;
(1).
<
(6).
(2).
Қуатты таңдау үшін (
:
) түймешігін бірнеше рет басыңыз.
(5).
Қуатты таңдау үшін (
:
) түймешігін бірнеше рет басыңыз.
;
(1).
(2). Тағам түрін таңдау үшін
3
түймешігін бірнеше рет
басыңыз.
;
(1).
2
;
(1).
(2).
Әзірлеу уақытын ЖО АРЫ
қуатқа орнату үшін
<
түймешігін бірнеше рет басыңыз.
<
(3).
Қабықтыкартоп
гс-3
3
Санат
1.Борщ(гс-1)
-
Шекті салмағы: 1,7 кг
-
Тағам темп.: Бөлме
-
Ыдыс-аяқ:
Микротолқынға төзімді
тостаған
Құрамы
300 г сиыр еті, бөліктерге
кесілген
1/2 қызылша, туралған
1/2 сәбіз, туралған
1/2 пияз, туралған
1
картоп, туралған
1 қызанақ, туралған
100 гр. қырыққабат, туралған
1 сарымсақ бөлігі, ұнтақталған
1 ас қасық томат пастасы
3 ас қасық көкөніс, туралған
2 шынаяқ су немесе сорпа
1 шай қасық уксус
Дәміне қарай тұз бен бұрыш
Нұсқаулар
1.
Барлық құрамдастарды үлкен терең шараға
салыңыз және жақсылап араластырыңыз. Орауыш
қағазбен жауып, тесік жасаңыз.
2.
Асты пешке салыңыз. Мәзірді таңдаңыз да, cтарт
(
бастау) түймешігін басыңыз. Пісіру барысында
кемінде екі рет араластырыңыз.












