МФУ Canon PIXMA MX925 - инструкция пользователя по применению, эксплуатации и установке на русском языке. Мы надеемся, она поможет вам решить возникшие у вас вопросы при эксплуатации техники.
Если остались вопросы, задайте их в комментариях после инструкции.
"Загружаем инструкцию", означает, что нужно подождать пока файл загрузится и можно будет его читать онлайн. Некоторые инструкции очень большие и время их появления зависит от вашей скорости интернета.

Конверты
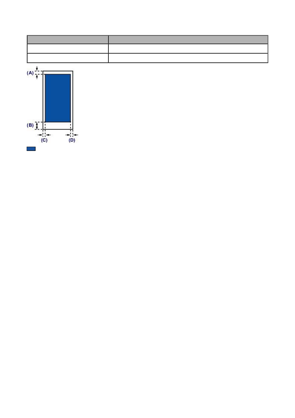
Размер
Рекомендуемая область печати (ширина x высота)
European DL/Конверт European DL
98,8 x 179,6 мм (3,88 x 7,07 дюйма)
Станд. конверт №10 (США)
93,5 x 200,9 мм (3,68 x 7,90 дюйма)
Рекомендуемая область печати
(A)
3,0 мм (0,12 дюйма)
(B)
37,4 мм (1,47 дюйма)
(C)
5,6 мм (0,22 дюйма)
(D)
5,6 мм (0,22 дюйма)
75
Содержание
- 3 Обозначения, используемые в настоящем документе; Основное руководство
- 4 Товарные знаки и лицензии
- 5 Рекомендации по поиску; Поиск функций
- 6 Поиск ссылочных страниц
- 7 Окно, используемое при пояснении операций
- 8 Обзор устройства
- 12 Изменение параметров устройства на ЖК-дисплее
- 14 Полезные функции устройства; Простая печать фотографий с помощью приложения; Простое упорядочение изображений
- 15 Загрузка различного содержимого; CREATIVE PARK
- 16 Простая загрузка отсканированных изображений на веб-ресурсы; Фотопечать веб-альбома
- 17 Печать в различных средах с помощью Google Cloud Print
- 18 Интеграция с онлайновой службой для ведения заметок; Параметры
- 19 Проверка окружающей среды; Печать с помощью AirPrint
- 20 В параметрах меню легко коснитесь элемента; Печать; В разделе; выберите используемую модель.; Параметры принтера
- 21 Проверка состояния печати; Домашняя страница
- 22 Удаление задания печати; AirPrint Устранение неполадок; Убедитесь, что в устройстве достаточно бумаги и чернил.
- 23 Использование службы; Печатать из эл. почты; Проверка среды выполнения; Печатать из эл. почты; Печатать из эл. почты; Печать URL-адреса страницы регистрации принтера и PIN-кода
- 24 Печать с компьютера или смартфона; Подготовьте файл, который нужно напечатать; служба; Использование службы несколькими пользователями
- 25 электронной почты пользователя, а затем нажать; Регистрация; Документ не печатается; Облачные настройки
- 26 Если не удается выполнить печать после ремонта принтера; Торговые марки
- 27 Подготовка к использованию Печатать из эл. почты; Убедитесь, что принтер подключен к сети; Принимаю; Введите адрес электронной почты владельца принтера и нажмите
- 34 Беспров. сеть включена
- 35 порт для флэш-диска USB; стекло рабочей поверхности
- 36 Вид сзади; задняя крышка; разъем кабеля питания; разъем для внешних устройств
- 37 Вид внутренних частей; индикатор чернильницы; держатель печатающей головки; крышка чернильного контейнера
- 38 OK
- 39 Кнопка OK
- 40 Цифровые кнопки; Регулировка звука
- 41 Об электропитании устройства
- 42 МЕНЮ; ВКЛ
- 43 Включение и выключение устройства; Включение питания устройства; КОПИРОВАТЬ; Выключение питания устройства; Нажмите кнопку; для выключения устройства.; КОПИРОВАТЬ
- 44 Уведомление о штепселе шнура питания или шнуре питания
- 46 ЖК-дисплей и панель управления
- 48 Ввод цифр, букв и символов; Переключение режима ввода
- 52 Источники для загрузки бумаги
- 53 Загрузка бумаги стороной для печати вниз
- 54 Загрузка бумаги небольшого размера; Сдвиньте направляющую бумаги
- 55 Прижмите направляющие бумаги
- 56 Откройте лоток приема бумаги.; После загрузки бумаги
- 59 Загрузка бумаги формата больше A4
- 61 Подготовьте конверты.
- 65 Типы носителей; Обычная бумага (включая вторичную бумагу); Подлинная бумага Canon; Бумага для печати фотографий:; Размеры страницы
- 66 Нестандартные размеры:; Вес бумаги; Примечания по хранению бумаги
- 67 Предел загрузки бумаги; Стандартные типы бумаги; Имя носителя; Лоток приема бумаги; Бумага для создания собственных напечатанных изображений:
- 69 Параметры типа носителя на панели управления
- 70 Типы носителей, непригодные для использования
- 72 Степень расширен. копии
- 73 Размер
- 76 Диски, допускающие печать
- 77 Установка диска, допускающего печать
- 79 Действия перед установкой диска, допускающего печать; Лоток для диска (входит в комплект поставки устройства)
- 80 Удерживая лоток приема бумаги
- 81 Подсоедините лоток для диска к устройству.; Разместите лоток для диска на внутренней крышке.
- 82 Извлечение диска, допускающего печать; Выдвиньте лоток для диска.
- 84 Отсоединение лотка для диска
- 85 Загрузка оригиналов
- 87 Загрузка оригиналов на стекло рабочей поверхности; Загрузите оригиналы на стекло рабочей поверхности.; Осторожно закройте крышку сканера.
- 89 параметры устройства
- 91 Загрузка оригиналов для каждой функции; Размещение оригинала и совмещение его с меткой выравнивания; С помощью программы на компьютере,; компьютере
- 92 программного обеспечения на компьютере
- 93 УАПД
- 95 Доступные для печати изображения; Фотография; JPEG
- 96 Отключение флэш-диска USB
- 98 Процедура замены; Обращение с чернилами; Откройте крышку сканера.
- 99 Откройте крышку чернильного контейнера.; Снимите чернильный контейнер, индикатор которого часто мигает.
- 100 Приготовьте новый чернильный контейнер.
- 103 Проверка состояния чернил
- 104 Убедитесь, что включено питание, и нажмите кнопку; Выберите; Настройка; , затем нажмите кнопку; Выберите пункт; Приблиз. запас чернил; кнопку
- 105 Откройте крышку сканера, а затем — крышку чернильного контейнера.; Проверьте индикатор чернильницы.; Мигает редко (с интервалом приблизительно 3 с)
- 108 Процедура обслуживания; Перед выполнением технического обслуживания; При размытой или неровной печати:; Оцените шаблон для проверки сопел.
- 109 Выровняйте печатающую головку.
- 110 Печать образца для проверки сопел
- 112 Проверьте образец на наличие недостающих линий; Для; Чистка не требуется. Выберите; Все A; Подтвердите сообщение, затем нажмите кнопку
- 113 Требуется чистка. Выберите; Также B; Да; и нажмите кнопку
- 114 Чистка печатающей головки
- 119 После появления сообщения о завершении нажмите кнопку
- 120 Печать для
- 121 Правильно ли напечатаны образцы?
- 122 B—H, затем нажмите кнопку; номер образца с наименее заметными вертикальными полосами.
- 123 J—P, затем нажмите кнопку; номер образца с наименее заметными горизонтальными полосами.
- 125 Обслуживание с компьютера
- 126 Очистка
- 127 Связанные разделы
- 128 Очистка подающих роликов с компьютера; Очистка роликов
- 129 Выравнивание печатающих головок с компьютера; Выравнивание печатающих головок (Print Head Alignment); Откройте окно настройки драйвера принтера.; Выравнивание печатающих головок; на вкладке; Вставьте бумагу в устройство
- 131 В запросе подтверждения нажмите кнопку; Проверьте напечатанный шаблон.
- 133 Щелкните; для регулировки положения печатающих головок.; Запуск выравнивания; Напечатать значение выравнивания
- 134 Проверка сопел
- 135 Очистка внутренних компонентов устройства; Чистка поддона; Вставьте бумагу в устройство.; Выполнить
- 136 Чистка устройства
- 137 Чистка наружной поверхности принтера
- 138 Чистка стекла рабочей поверхности и крышки сканера
- 139 Чистка УАПД (устройства автоматической подачи документов); Откройте лоток для документов.
- 141 Чистка подающих роликов
- 142 Выдвиньте упор для выходящей бумаги.
- 143 Чистка внутренних компонентов устройства (Чистка поддона)
- 145 Нужно приготовить: хлопчатобумажный тампон
- 146 Чистка прокладки в кассете; Протрите прокладку
- 149 Параметры печати; Измените значения отдельных параметров.; Страница
- 150 Регистрация профиля часто используемой конфигурации печати; Сохранение конфигурации печати
- 151 Удаление ненужных конфигураций печати; Выберите конфигурацию печати для удаления.
- 152 Управление питанием устройства; Отключение питания
- 153 Уменьшение издаваемого устройством шума; Параметры бесшумного режима (Quiet Settings); Параметры бесшумного режима; Установите бесшумный режим.
- 154 Изменение режима работы устройства; Специальные; При необходимости настройте следующие параметры.
- 157 Параметры устройства
- 159 Параметры факса; Параметры ФАКСА; Тип телефонной линии (Telephone line type); Определение сигнала в линии (Dial tone detect); Продолжительность паузы (Pause time settings)
- 160 Полученные документы (Received documents)
- 161 Контроль за безопасностью (Security control); Параметр клавиши рычага (Hook key setting)
- 166 Формат отображения даты (Date display format)
- 167 Постраничный вывод
- 168 Тип
- 169 Параметры Bluetooth; Выбор имени устройства (Select device name)
- 170 Настр. печати этикетки; Экран Параметры печати PictBridge (PictBridge print settings)
- 171 Другой диск
- 173 Обновление микропрограммы; Проверить текущую версию (Check current version)
- 174 Сброс настройки; службы; Сброс; Только No телефона (Telephone number only); Страна или регион
- 175 О Параметры ECO
- 176 Использ. бесшумный режим
- 180 Подключение устройства к компьютеру с помощью USB-кабеля
- 181 Определение принтеров с одинаковым именем во время настройки; Список настроек сети; Подтвержд. настроек сети
- 182 Изменить метод подключения
- 186 О передаче данных по сети
- 188 IJ Network Tool; Запуск программы IJ Network Tool; Пуск
- 189 Изменение параметров на вкладке «Беспроводная сеть»
- 190 Использовать WPA
- 192 Авто; Открытая; Общий ключ; Использовать по умолчанию
- 193 Имя порта; Сведения о WPA; Сведения о WPA2; Подтверждение типа проверки
- 194 Готово
- 196 Изменение параметров на вкладке «Проводная сеть»; Проводная сеть; Проводная сеть; Переданные параметры
- 197 Изменение параметров на вкладке «Пароль администратора»; Пароль администратора; Использовать пароль администратора
- 198 Мониторинг состояния беспроводной локальной сети; Запустите программу IJ Network Tool.; Выберите принтер в разделе; Вид; Состояние; Измерение производительности подключения
- 199 Общая производительность сети:
- 200 Инициализировать
- 201 Просмотр измененных параметров; Конфигурация; Подтверждение
- 202 Экраны для сетевого подключения программы IJ Network Tool
- 203 Экран программы Canon IJ Network Tool; Canon IJ Network Tool; Элементы экрана Canon IJ Network Tool
- 204 Меню программы Canon IJ Network Tool
- 206 Экран «Конфигурация»
- 207 Беспроводная сеть
- 209 Найденные точки доступа:; Задать
- 210 Экран «Сведения о WEP»; Проверка подлинности:
- 211 Экран «Сведения о WPA»; Тип проверки подлинности:; Подтверждение типа проверки подлинности
- 212 Экран «Сведения о WPA2»
- 213 Экран «Подтверждение типа проверки подлинности»; PSK; PSK
- 214 Тип динамического шифрования
- 215 Экран «Подтверждение информации настройки»
- 217 Вкладка «Пароль администратора»; Подтверждение пароля:
- 218 Экран «Сведения о сети»; Сведения о сети; Копировать все сведения
- 219 Вкладка «Управление доступом»; Управление доступом; Тип управления доступом к принтеру:
- 222 Добавить доступный MAC-адрес
- 224 Другие экраны программы IJ Network Tool
- 228 Состояние устройства:
- 229 Экран «Измерение производительности подключения»
- 231 Экран «Обслуживание»; Инициализация параметров
- 232 Сетевая настройка гнезда карты памяти; Обновить; Компьютер
- 233 Отмена
- 234 Экран «Связывание с портом»
- 237 Подключение слота карты памяти в качестве сетевого диска
- 238 Ограничения на использование слота карты памяти в сети; Доступ
- 239 Нет драйвера; Связывание с портом
- 240 О технических терминах; AES
- 241 Bonjour
- 242 ASCII; LPR
- 243 SSID
- 244 WPA
- 245 Ограничения
- 246 О брандмауэре; Предосторожности при включенной функции брандмауэра; Получить IP-адрес автоматически
- 247 Рекомендации по обеспечению оптимального качества печати
- 248 Используются ли цветные чернила при черно-белой печати?
- 249 Что нужно проверить для успешного выполнения печати; Перед запуском печати проверьте состояние устройства!; В порядке ли печатающая головка?; Не испачканы ли чернилами внутренние части устройства?; Проверьте, правильно ли вставлена бумага!; Правильно ли ориентирована бумага при загрузке?; Не скручена ли бумага?
- 250 Обязательно задайте параметры бумаги после ее загрузки
- 251 Отмена задания печати
- 252 Рекомендации по обеспечению стабильного качества печати; Периодически выполняйте печать!
- 253 Меры предосторожности при транспортировке устройства; При отправке устройства в ремонт; Выключите устройство.
- 255 Технические характеристики; Общие технические характеристики
- 257 Технические характеристики сети; Минимальные требования к системе
- 262 Печать с панели управления аппарата
- 263 Использование печати с помощью веб-службы
- 264 О системе связи Bluetooth
- 265 Копирование
- 267 Выберите часто используемый профиль.
- 268 Проверьте источник бумаги.; Кассета; Источник бумаги
- 270 Вкладка «Быстрая установка»; Быстрая установка
- 273 Настройка «Размер стр.» и «Ориентация»; Откройте; Ориентация
- 274 Настройка количества копий и порядка печати страниц
- 276 Настройка поля для переплета; Сторона переплета
- 278 Выполнение печати без полей; Настройка параметра «Печать без полей»; Проверьте размер бумаги.
- 279 Настройте степень расширения для бумаги.; Чтобы увеличить печатаемую часть документа
- 280 Главная; Предварительный просмотр
- 281 Печать по размеру бумаги
- 283 Печать с масштабированием; Масштабирование; Выберите размер бумаги для документа.; • Выбор значения параметра Размер бумаги (Printer Paper Size)
- 284 • Указание коэффициента масштабирования.; Масштаб
- 285 Печать на развороте
- 287 Печать в виде плитки/постера; Настройка печати в виде плитки/постера; Макет страницы; Выберите размер бумаги.; Размер бумаги
- 288 Установите разбивку изображения и страницы для печати.; Печать только указанных страниц; Установите диапазон печати.
- 290 Печать буклета
- 292 Двухсторонняя печать; Выполнение автоматической двухсторонней печати
- 293 Укажите значение для параметра «Сторона переплета».; Выполнение двухсторонней печати вручную
- 296 Печать штампа и фона; Фон; Штамп; Фон; Печать штампа; Штамп
- 297 Установите параметры штампа.; Печать фона; Установите параметры фона.
- 298 Без полей; Вставить
- 299 Сохранение нового штампа
- 302 Задание нового фона
- 305 Настройка печати конверта
- 307 Печать на открытках; окно настройки драйвера принтера.
- 308 Отображать справочное сообщение; Печать Hagaki; Начало печати
- 309 Просмотр на экране подготовленного к печати материала
- 310 Настройка размера бумаги (специальный размер бумаги); Задайте специальный размер бумаги в приложениях.
- 311 Задайте специальный размера бумаги.
- 313 Редактирование и печать документа
- 314 Выполнение печати; Повторная печать из журнала печати; Отображение журнала печати
- 316 Вкладка «Главная»; Возможности настройки
- 317 Установка уровня «Качество печати» (Другое)
- 319 Печать цветного документа в черно-белом варианте
- 320 Указание режима корректировки цвета
- 322 Оптимальная фотопечать графических данных; Настройка цветов; Настройка цветов с помощью драйвера принтера
- 325 Печать с использованием ICC-профилей
- 326 Перед печатью задайте ICC-профиль с помощью драйвера принтера
- 328 Другое
- 329 Настройка цветового баланса
- 332 Установка печати образца
- 335 Настройка яркости
- 337 Настройка интенсивности
- 339 Настройка контрастности
- 343 Настройка интенсивности/контраста
- 345 Общие сведения о драйвере принтера
- 346 Драйвер принтера Canon IJ; Типы драйвера принтера
- 347 Выберите название модели используемого принтера и щелкните; В меню; в отображаемом меню.
- 348 Вкладка «Обслуживание»
- 349 Монитор состояния Canon IJ; Запуск монитора состояния Canon IJ; Сведения о состоянии; Когда происходят ошибки
- 350 При необходимости щелкните пункт; Данные о чернилах; Данные о чернилах
- 352 Удаление ненужного задания печати; Отобразите монитор состояния Canon IJ.; Очистить очередь печати
- 353 Инструкции по эксплуатации (Драйвер принтера); Ограничения, связанные с драйвером принтера
- 354 Замечания о приложениях с ограничениями
- 357 Удаление ненужных драйверов MP Drivers; Запустите программу удаления.
- 358 Перед установкой MP Drivers; Проверка состояния устройства; Проверка параметров персонального компьютера
- 359 Установка MP Drivers; Разрешить; Установите драйверы MP Drivers.; Завершено
- 362 Загрузите фотобумагу.; Режим автосохранения
- 363 Печать с флэш-диска USB; Печатать фотографии; При необходимости задайте значения параметров.
- 364 Цветной; Добавление задания печати
- 366 Настраиваемые параметры
- 367 Использование полезных режимов отображения; Изменение способа отображения
- 368 Формы шаблонов для печати; Линованная бумага; Миллиметровка; Контрольная таблица
- 369 Печать форм шаблонов
- 375 Копировать этикетку на диск; затем нажмите кнопку
- 376 Укажите область печати, затем нажмите кнопку; С помощью кнопок
- 377 для цветного копирования или кнопку; Черный; Стоп
- 378 Изм. области печати диска
- 380 Использование веб-службы; Авторские права и права на публичное использование; Печать из сайта для обмена фотографиями:
- 382 Печать фотографий из фотоальбома в Интернете
- 383 Кнопками
- 385 Загрузка и печать форм шаблонов
- 387 Параметры для веб-службы; Регистрация учетной записи на сайте для обмена фотографиями
- 389 Сброс параметров веб-службы
- 390 Печать с помощью Google Cloud Print; Подготовка к печати с помощью Google Cloud Print
- 391 Получение учетной записи Google; Регистрация устройства в Google Cloud Print
- 392 Параметры облака
- 394 Отправка данных печати с помощью службы Google Cloud Print; Выполните печать с компьютера или смартфона.
- 395 Запустить печать из облака; Запустить; Печать из Google Cloud Print
- 397 Подключите PictBridge-совместимый аппарат к устройству.; Задайте параметры печати, такие как тип бумаги и макет.
- 398 Начните печать с PictBridge-совместимого устройства.
- 399 Обычная
- 400 Настройки принтера
- 402 Фото
- 403 Запустите печать с мобильного телефона.; О передаваемых данных
- 409 Установка на принтер и снятие с принтера; Установка модуля Bluetooth на принтер; Снятие модуля Bluetooth с принтера
- 412 Зарегистрируйте принтер для печати через Bluetooth.
- 415 Проверка имени принтера как устройства; Откройте экран; Выбор имени устройства
- 416 Графический ЖК-дисплей; Проверьте имя устройства.
- 417 Регистрация принтера; В ОС Windows 7 или Windows Vista:
- 423 Выберите пункты из панели; В ОС Windows Vista или Windows XP:
- 425 Подсоедините модуль Bluetooth.; Откройте диалоговое окно свойств принтера.
- 426 Задайте нужные параметры.
- 428 Выведите на ЖК-дисплей экран; phone print settings); Начните печать с Bluetooth-совместимого устройства.
- 432 Изменить пароль; Canon; Включить
- 436 Создание копий; Стандартная; Просмотр
- 437 Добавление задачи копирования (Резервировать копию)
- 439 Экран параметров печати; Стандартная копия
- 443 МИН; Такой же размер
- 444 Двухстороннее копирование; Односторонняя на двухстороннюю
- 446 При помещении оригинала на стекло рабочей поверхности:
- 448 О других функциях копирования; Копия без полей
- 449 Копирование двух страниц по размеру одной страницы
- 455 Копирование толстых оригиналов, таких как книги
- 459 Копирование с сортировкой
- 461 для цветной печати или кнопку
- 467 Другие полезные функции факсимильной связи
- 468 Отправка факсов с компьютера
- 469 Подготовка к работе с факсом; Настройка устройства; Режим приоритета телефона; Установка основных параметров передачи факсов
- 470 Основное подключение
- 471 Для пользователей в Великобритании:; Подключение различных линий; Подключение к Интернет-телефону; Тип телефонной линии; Подключение к xDSL
- 472 Подключение к линии ISDN
- 473 Импульсный набор
- 476 О режиме приема
- 477 Удобный прием; DRPD; Входящий звонок
- 478 О сведениях об отправителе; Установка даты и времени
- 479 Настройка декретного времени (летнего времени)
- 481 Регистрация информации о пользователе
- 487 Кнопка; предназначена для передачи в цвете, а кнопка; При загрузке документа в УАПД:
- 488 Автоповтор набора; Повторный набор номера вручную
- 490 Отправка факсов с использованием полезных функций
- 493 Отправка факса с помощью функции быстрого набора; Кодированный набор
- 495 Нажмите левую кнопку
- 498 Укажите номера факсов/телефонов получателей один за другим.
- 500 Предотвращение ошибок при передаче факсов
- 502 Использование функции набора без снятия трубки; Загрузите документы в УАПД.; Рычаг; Когда услышите высокотональный сигнал, нажмите кнопку
- 506 Прямой ввод
- 507 Введите имя получателя.; Имя
- 509 Регистрация получателей для группового набора
- 510 Зарегистрируйте членов.; Член
- 512 Чтобы завершить регистрацию, нажмите кнопку
- 513 Изменение информации регистрации
- 514 Удаление зарегистрированных сведений
- 516 Об утилите быстрого набора
- 517 Запуск Утилиты быстрого набора; Устройство подключено к компьютеру правильно.; Параметры быстрого; Параметры и обслуживание устройства (Device
- 518 Диалоговое окно «Утилита быстрого набора»; Утилита быстрого набора; Регистрация тел. номера; Список зарегистрированных сведений; Выбрать все
- 519 Инструкции; Выход
- 520 Запустите Утилиту быстрого набора.; Выберите устройство из списка; Сохранить
- 521 Примечание; Выбор между отдельным номером и группой; Зарегистрировать групповой набор
- 525 Удалить
- 526 Информация о пользователе; Имя пользователя
- 527 Отклоняемые номера; Список
- 529 Удаление Утилиты быстрого набора; Удалите Утилиту быстрого набора.; при запросе подтверждения.
- 531 Подготовка к приему факса; Прием факса
- 533 Если выбран параметр DRPD или Сетевой коммутатор (Network switch):
- 534 При выполнении голосового вызова:; Для DRPD; Для сетевого коммутатора
- 535 Изменение параметров бумаги; ФАКС - параметры бумаги; нажмите кнопку
- 537 Режим только факса; Сетевой коммутатор
- 538 Дополнительные настройки в режиме DRPD
- 539 Режим принятия памяти; Устройство настроено на сохранение принятых факсов в памяти:; На устройстве произошла ошибка:
- 541 Прием факсов с использованием полезных функций
- 542 Ожидание обработки документа
- 543 ВЫКЛ
- 544 Дистанционный прием; Дополнительные парам. факса
- 545 Отклонение получения факса
- 546 Регистрация отклоняемых номеров
- 549 для завершения определения условий отклонения.; Отклоненный No
- 551 Использование линии тонального набора; Набор с помощью телефона, подключенного к аппарату
- 552 Использование линии импульсного набора
- 554 Передача/прием факсов с использованием ECM
- 555 Оставшегося количества чернил недостаточно для печати факса.
- 556 Печать списка документов в памяти устройства
- 558 Печать всех документов в памяти устройства
- 559 Удаление указанного в памяти устройства документа
- 560 Удаление всех документов в памяти устройства
- 564 Тип отчетов и списков
- 565 Печать отчета или списка
- 566 Ошибки при отправке факса
- 567 Ошибки при получении факса
- 568 Отклонение получаемого факса; Контроль за безопасностью
- 572 Нажмите; Отправить
- 573 Выполните переход из меню; указанным далее образом:
- 574 В диалоговом окне; Адресная книга; нажмите; Создать
- 575 Контакт; Список рассылки
- 576 Введите номер факса на вкладке; Домашний; Служебный; и нажмите; ОК
- 578 Изменение получателей в адресной книге
- 579 Удаление получателей из адресной книги
- 581 Поиск получателя в адресной книге (драйвер факса)
- 582 Введите имя искомого получателя в поле; Поиск по получателю; диалогового окна; Выбор получателя из адресной книги; Задать как получателя
- 583 Check 3: Правильно ли установлен тип телефонной линии?; Check 5: Правильно ли введен номер факса/телефона получателя?
- 584 Check 8: Правильно ли подключена телефонная линия?
- 589 Сканирование с компьютера
- 590 Сканирование с панели управления устройства
- 591 Основные
- 592 Возможности программного обеспечения IJ Scan Utility; Удобное сканирование для определенной цели; Автоматическое сохранение отсканированных изображений; Интеграция с приложениями
- 594 Запуск программы IJ Scan Utility
- 595 Убедитесь, что сканер или принтер включен.; Запустите программу IJ Scan Utility.
- 597 Сканирование фотографий
- 598 Сканирование документов; Документ
- 599 Сканирование с избранными настройками; Поместите объект на рабочую поверхность.
- 600 Совмещение; Совмещение изображений; Выбор размера на выходе
- 601 Убедитесь, что выбрано значение; Сканирование слева; Направление сканирования; Запустить сканирование изображения 1
- 602 Запустить сканирование изображения 2
- 603 Настройте отсканированные изображения по своему усмотрению.; Настройка рамок обрезки; Сохранение
- 605 С использованием функции автоматического сканирования; Без использования функции автоматического сканирования; Автоматическое сканирование; Поместите исходные документы на рабочую поверхность.; Настраиваемое сканирование
- 606 Выберите значение параметра; Выберите источник; соответствии с исходными сканируемыми документами.
- 608 Разместите документы в УАПД.; Сканирование документа
- 609 соответствии с документами, которые будут сканироваться.
- 614 Установите для параметра; Сканировать обе стороны при сканировании из УАПД
- 616 Сохранение после проверки результатов сканирования; Сканирование фотографии; Проверить результаты сканирования
- 617 Сохранить параметры; Мои документы
- 622 Извлечение текста из отсканированных изображений (OCR); ScanGear
- 625 Экраны программы IJ Scan Utility
- 629 Параметры (Сохранить на
- 636 Параметры приложения
- 654 Не запускать сторонние приложения (Do not start any application); Место сохранения; Выбор приложения; Выбор целевой папки
- 655 Автоматически
- 660 Параметры обработки изображения (Image Processing Settings)
- 663 Вложить в электронное письмо (фотография)
- 672 (1) Кнопки операций предварительного просмотра
- 674 Окно «Совмещение изображений»; Выбор размера на выходе (Select Output Size)
- 676 Область просмотра эскизов; Если изображения не сканировались
- 679 Назначение программы ScanGear (драйвера сканера); Возможности данного программного обеспечения; Расширенный режим
- 681 Запуск программы ScanGear (драйвер сканера); Сканирование документов после простой коррекции изображения; настройки цвета
- 682 Запуск из программы My Image Garden; Запустите приложение My Image Garden.; Запуск из приложения; Запустите приложение.
- 683 Задайте значение параметра; Выбор источника
- 684 Укажите; Место назначения; Установите нужный; Формат вывода
- 685 Настройте должным образом параметры в группе; Коррекция изображения; Состояние окна ScanGear после сканирования; Сканировать
- 686 Сканирование в расширенном режиме; Щелкните вкладку; Настройка ввода; соответствии с видом документа или целью.
- 687 Задайте
- 688 УАПД двухстороннее – настройки вывода документов
- 690 соответствии с документом, помещенным на планшет.
- 691 Настройте нужную рамку обрезки и выберите; Выберите изображения, которые требуется отсканировать.
- 692 После предварительного просмотра изображений щелкните; Инверсия пропорций; Настраиваемый; Настройте рамки обрезки.
- 695 Настройка яркости и цветового тона изображения
- 696 Уменьшение просвечивания; Функция повышения четкости лиц, оказавшихся немного не в фокусе; Скрыть нечеткость; Устранение градаций и полос; Убрать растр
- 698 Настройка цветов с помощью цветного образца
- 699 Желтый; Цветной образец
- 700 Настройка насыщенности и баланса цвета; Насыщенность; Баланс цвета
- 702 Настройка яркости и контрастности; Канал; Оттенки серого
- 703 Яркость; Контрастность
- 704 Настройка гистограммы; Чтение гистограмм
- 705 Настройка гистограмм (с использованием регулятора); Перемещение регуляторов черной и белой точек; Изображения, большая часть данных в которых приходится на тени; Перемещение регулятора средней точки
- 706 Настройка гистограмм (с использованием пипеток); Баланс серого
- 707 Настройка кривой тона; Чтение кривых тона
- 710 Настройка порогового значения
- 711 Окна программы ScanGear (драйвера сканера)
- 713 OCR
- 716 Панель инструментов; В режиме эскиза
- 717 Область предварительного просмотра; Когда
- 718 Когда значок
- 719 Добавление/Удаление любимых настроек
- 731 Параметры изображения
- 735 Кнопки настройки цветов; Сопоставление цветов; Параметры цвета
- 739 Вкладка Сканер
- 741 Вкладка Просмотр; Просмотр при запуске ScanGear (Preview at Start of ScanGear)
- 742 Формат обрезания для просмотра эскизов
- 745 Вкладка Параметры цвета
- 747 Размещение исходных документов (рабочая поверхность); Для фотографий, открыток, визиток и дисков
- 748 Сжать отсканированные
- 749 Откройте лоток для документов
- 750 Исходная рамка обрезки; Виды рамок обрезки
- 751 Настройка рамки обрезки; Создание нескольких рамок обрезки
- 752 Удаление рамок обрезки
- 753 Ограничения драйвера сканера; Приложения с ограничениями на использование
- 757 Настройка разрешения
- 759 Форматы данных
- 760 Сканер; Монитор
- 762 Экран окна параметров сканирования с ПК; Сканеры; Экран «Параметры сканирования с панели управления»; Параметры сканирования с панели управления
- 764 Удалите программу IJ Network Scanner Selector EX.
- 766 Сканирование с помощью WIA-драйвера; Разместите исходный документ на рабочей поверхности или в УАПД.; Файл; раздела; Факсы и
- 768 Щелкните пункт; Со сканера или камеры; Настроить качество сканированного изображения; и настройте параметры по своему усмотрению.
- 771 Далее; и выполняйте появляющиеся на экране
- 776 СКАНИРОВАТЬ
- 777 Выберите тип документа с помощью кнопки
- 778 Нажмите правую кнопку; для настройки необходимых; для цветного сканирования или кнопку; При загрузке оригинала в УАПД:
- 779 При отображении экрана выбора программы:; Если используется Windows 7 или Windows Vista:
- 783 Сохранить на флэш-диск USB
- 786 Удаление данных сканирования с флэш-диска USB; Удалить отсканиров. данные
- 791 Выбор сканера или принтера; Убедитесь, что программа IJ Network Scanner Selector EX активна.
- 792 Выберите сканер или принтер в разделе; Настройка сканирования с помощью программы IJ Scan Utility; Название продукта
- 795 Вернитесь на экран «Параметры сканирования с ПК» и нажмите кнопку
- 796 Выберите режим сканирования на вкладке
- 797 Укажите коррекцию изображения в меню; Варианты сканирования; Укажите имя файла и другие параметры в меню
- 800 Поиск каждой функции
- 802 Проблемы с печатью
- 806 Проблемы с устройством
- 807 Проблемы при установке или загрузке
- 808 Об отображаемых ошибках и сообщениях
- 809 Питание устройства не включается
- 810 Проверка 6. Правильно настройте порт принтера.; Войдите в систему с полномочиями администратора.
- 811 Порты; для настройки порта.; Проверка 7. Объем данных для печати слишком велик?
- 816 Чернила не подаются; Проверка 2. Оранжевая лента или защитная пленка не удалены?
- 817 Замятие бумаги; Если на ЖК-дисплее отображается код поддержки и сообщение:
- 819 Не удается отправить факс; Проверка 3: Не переполнена ли память устройства?
- 820 Проверка 8: Не возникла ли ошибка при передаче?; Проверка 9: Правильно ли загружен документ?; Проверка 11: Правильно ли подключена телефонная линия?; Частое возникновение ошибок при отправке факсов; Проверка: Проверьте состояние телефонной линии или соединения.; Нач. скорость передачи
- 821 Проблемы с получением факсов; Не удается принять факс, не удается распечатать факс; Проверка 2: Заполнена ли память устройства?
- 823 Плохое качество принятых факсов; Проверка 5: Вы проверили параметры бумаги и качества печати?; Не удается принять факс в цвете; Проверка 1: Проверьте состояние телефонной линии или соединения.
- 825 Не удается выполнить печать этикетки диска; Печать этикетки диска не начинается; Лоток для диска подается неправильно; Сбой механизма подачи лотка для диска
- 826 Проверка. проверьте версию встроенного ПО устройства.; Эта услуга
- 830 Проверка 2. Если не установлены MP Drivers, установите MP Drivers.
- 831 Включить поддержку двусторонней связи
- 832 Низкая скорость печати
- 833 Проверка 1. Подтвердите параметры точки доступа.; Открытая система
- 834 Не удается обнаружить устройство в сети
- 835 Настроить подключение к сети по USB; Проверить параметры принтеров
- 836 Повторно
- 838 Включен ли параметр беспроводной сети устройства?; К началу; Проверить
- 839 Подключено ли устройство к точке доступа?
- 841 Проверьте параметры точки доступа.
- 842 Не удается определить устройство по проводной сети: проверка 1; Подключен ли кабель LAN, и включены ли устройство и маршрутизатор?
- 844 Не удается определить устройство по проводной сети: проверка 3; Включен ли параметр проводной сети устройства?
- 845 Не удается определить устройство по проводной сети: проверка 4; Подключено ли устройство к маршрутизатору?
- 846 Повторно определить
- 847 Проверьте параметры маршрутизатора.
- 850 Не удается обнаружить устройство в проводной локальной сети
- 851 Другие проблемы с сетью
- 852 При использовании протокола WEP
- 853 Во время настройки на экране компьютера отображается сообщение; Ввод пароля; connecting the machine to the non encrypted wireless network); Отображается сообщение «; Подключение к устройству по беспроводной сети
- 855 Проверка информации о сети; Проверка информации о сетевых параметрах
- 856 Пакеты отправляются устойчиво; Выключить Canon IJ Network Scanner Selector EX
- 857 Сброс настроек сети
- 865 Проверка 1. Включена ли автоматическая двухсторонняя печать?
- 866 Копирование/Печать прерывается, не завершившись
- 867 Сбои при печати с устройства беспроводной связи; Проверка. Возможна ли печать через соединение Bluetooth?
- 871 Не удается напечатать задание до конца; Проверка 2. Объем данных для печати слишком большой?
- 872 Часть страницы не печатается; Печатать с уменьшением
- 874 Проверка 1. Вы проверили параметры бумаги и качества печати?; Проверка 3. Оранжевая лента или защитная пленка не удалены?; При копировании см. также следующие разделы:
- 876 Линии не выровнены; Проверка 2. Выполните выравнивание печатающих головок.
- 877 Линия не печатается или печатается частично
- 878 Изображение не печатается или печатается частично
- 880 Бумага испачкана/Отпечатанная поверхность поцарапана; Бумага испачкана; Углы бумаги пачкаются; Отпечатанная поверхность поцарапана; Проверка 2. Подходит ли тип бумаги для печати? Проверьте следующее:; Для обычной бумаги; Для другой бумаги
- 882 Проверка 6. Выполняется ли печать вне рекомендованной области?
- 883 Ползунком; Задержка на сушку; установите время ожидания, а; Проверьте сообщение и щелкните
- 884 Обратная сторона бумаги испачкана
- 885 Вертикальные линии печатаются на боковых частях распечатки; Проверка. Правильный ли размер загруженной бумаги?
- 886 Цвета передаются неравномерно; Проверка 3. Выполните выравнивание печатающих головок.
- 891 Сканер не работает
- 892 Программа ScanGear (драйвер сканера) не запускается; Проверка 2. Выберите сканер или принтер в меню приложения.
- 893 Проверка 6. Выберите сканер или принтер в меню приложения.
- 896 Низкая скорость сканирования
- 897 Появляется сообщение «Недостаточно памяти.»; Проверка 1. Закройте другие приложения и повторите попытку.
- 898 Компьютер перестает работать во время сканирования
- 899 Сканер не работает после обновления Windows
- 900 Отсканированное изображение не открывается
- 901 Неудовлетворительные результаты сканирования
- 902 Проверка 4. Проверьте качество цветопередачи монитора.
- 903 Проверка 5. Очистите рабочую поверхность и крышку сканера.
- 904 Белые области вокруг отсканированного изображения
- 905 Не удается отсканировать изображение в правильном размере; Проверка. Убедитесь, что исходные документы размещены правильно.
- 906 При сканировании с панели управления
- 908 Проверка 1. Измените параметры отображения в приложении.
- 918 Не удается отправить четкий факс; Проверка 1: Правильно ли загружен документ?
- 919 Проблемы с телефоном; Не удается набор; Проверка 1: Правильно ли подключен кабель телефонной линии?; Телефон отключается во время вызова
- 923 Не удается подключиться к устройству через USB-соединение
- 924 Текст на ЖК-дисплее не виден; Если все индикаторы на панели управления выключены:; Если на панели управления светится какой-либо индикатор:
- 925 Непонятный язык сообщений на ЖК-дисплее
- 926 Держатель печатающей головки не встает в положение для замены; Проверка 1. все ли индикаторы на панели управления погасли?
- 927 Не отображается окно монитора состояния принтера; Проверка. Включен ли монитор состояния принтера?; щелкните; Включить Монитор состояния
- 928 Если дополнительный лоток приема бумаги отсоединился
- 930 Проверка 1. Установка драйверов MP Drivers.; Компьютер с ОС Windows 7 (кроме компьютеров Toshiba с ОС Windows 7)
- 932 Проверка 1. Готовность модуля Bluetooth к использованию.
- 936 В открывшемся окне дважды щелкните значок; Дисковод; Принтер не обнаружен. Проверьте
- 937 В других случаях сделайте следующее.
- 938 Canon Easy-WebPrint EX; Canon Easy-WebPrint EX; Canon Easy-WebPrint EX; Canon Easy-WebPrint EX
- 939 Процедура обновления MP Drivers в сетевом окружении; Использовать принтер с; Подключение принтера к
- 940 Удаление программы IJ Network Tool; Удалите программу IJ Network Tool.
- 946 Inkjet Printer/Scanner/Fax Extended Survey Program; На ЖК-дисплее отображается сообщение; Проверьте размер бумаги и выберите
- 947 Выводится ошибка автоматической двухсторонней печати; Не удается правильно выполнить печать при автоматической; Ошибка записи/Ошибка вывода/Ошибка подключения
- 949 Другие сообщения об ошибках
- 950 Если Вы согласны принять участие в программе опроса:; Если Вы не согласны принять участие в программе опроса:
- 951 Удаление
- 952 Сообщение об ошибке на PictBridge-совместимом устройстве; Продолжить
- 954 Если не удается устранить неполадку
- 955 Код поддержки появляется на ЖК-дисплее и экране компьютера
- 957 Список кодов поддержки (при замятии бумаги)
- 968 Замятие оригинала в УАПД:
- 971 Выключите устройство и отсоедините устройство от электросети.
- 972 Возьмите застрявшую бумагу руками.
- 973 Убедитесь, что удалена вся застрявшая бумага.; Закройте крышку чернильного контейнера и крышку сканера.
- 974 В других случаях
- 977 Причина
 
  
  
  
  
  
  
  
  
  
  
  
  
  
  
  
  
  
  
  
  
  
  
  
  
  
  
  
  
  
  
  
  
  
  
  
  
  
  
  
  
  
  
  
  
  
  
  
  
  
  
  
  
  
  
  
  
  
  
  
  
  
  
  
  
  
  
  
  
  
  
  
  
  
  
  
  
  
  
  
  
  
  
  
  
  
  
  
  
  
  
  
  
  
  
  
  
  
  
  
  
  
  
  
  
  
  
  
  
  
  
  
  
  
  
  
  
  
  
  
  
  
  
  
  
  
  
  
  
  
  
  
  
  
  
  
  
  
  
  
  
  
  
  
  
  
  
  
  
  
  
  
  
  
  
  
  
  
  
  
  
  
  
  
  
  
  
  
  
  
  
  
  
  
  
  
  
  
  
  
  
  
  
  
  
  
  
  
  
  
  
  
  
  
  
  
  
  
  
  
  
  
  
  
  
  
  
  
  
  
  
  
  
  
  
  
  
  
  
  
  
  
  
  
  
  
  
  
  
  
  
  
  
  
  
  
  
  
  
  
  
  
  
  
  
  
  
  
  
  
  
  
  
  
  
  
  
  
  
  
  
  
  
  
  
  
  
  
  
  
  
  
  
  
  
  
  
  
  
  
  
  
  
  
  
  
  
  
  
  
  
  
  
  
  
  
  
  
  
  
  
  
  
  
  
  
  
  
  
  
  
  
  
  
  
  
  
  
  
  
  
  
  
  
  
  
  
  
  
  
  
  
  
  
  
  
  
  
  
  
  
  
  
  
  
  
  
  
  
  
  
  
  
  
  
  
  
  
  
  
  
  
  
  
  
  
  
  
  
  
  
  
  
  
  
  
  
  
  
  
  
  
  
  
  
  
  
  
  
  
  
  
  
  
  
  
  
  
  
  
  
  
  
  
  
  
  
  
  
  
  
  
  
  
  
  
  
  
  
  
  
  
  
  
  
  
  
  
  
  
  
  
  
  
  
  
  
  
  
  
  
  
  
  
  
  
  
  
  
  
  
  
  
  
  
  
  
  
  
  
  
  
  
  
  
  
  
  
  
  
  
  
  
  
  
  
  
  
  
  
  
  
  
  
  
  
  
  
  
  
  
  
  
  
  
  
  
  
  
  
  
  
  
  
  
  
  
  
  
  
  
  
  
  
  
  
  
  
  
  
  
  
  
  
  
  
  
  
  
  
  
  
  
  
  
  
  
  
  
  
  
  
  
  
  
  
  
  
  
  
  
  
  
  
  
  
  
  
  
  
  
  
  
  
  
  
  
  
  
  
  
  
  
  
  
  
  
  
  
  
  
  
  
  
  
  
  
  
  
  
  
  
  
  
  
  
  
  
  
  
  
  
  
  
  
  
  
  
  
  
  
  
  
  
  
  
  
  
  
  
  
  
  
  
  
  
  
  
  
  
  
  
  
  
  
  
  
  
  
  
  
  
  
  
  
  
  
  
  
  
  
  
  
  
  
  
  
  
  
  
  
  
  
  
  
  
  
  
  
  
  
  
  
  
  
  
  
  
  
  
  
  
  
  
  
  
  
  
  
  
  
  
  
  
  
  
  
  
  
  
  
  
  
  
  
  
  
  
  
  
  
  
  
  
  
  
  
  
  
  
  
  
  
  
  
  
  
  
  
  
  
  
  
  
  
  
  
  
  
  
  
  
  
  
  
  
  
  
  
  
  
  
  
  
  
  
  
  
  
  
  
  
  
  
  
  
  
  
  
  
  
  
  
  
  
  
  
  
  
  
  
  
  
  
  
  
  
  
  
  
  
  
  
  
  
  
  
  
  
  
  
  
  
  
  
  
  
  
  
  
  
  
  
  
  
  
  
  
  
  
  
  
  
  
  
  
  
  
  
  
  
  
  
  
  
  
  
  
  
  
  
  
  
  
  
  
  
  
  
  
  
  
  
  
  
  
  
  
  
  
  
  
  
  
  
  
  
  
  
  
  
  
  
  
  
  
  
  
  
  
  
  
  
  
  
  
  
  
  
  
  
  
  
  
  
  
  
  
  
  
  
  
  
  
  
  
  
  
  
  
  
  
  
  
  
  
  
  
  
  
  
  
  
  
  
  
  
  
  
  
  
  
  
  
  
  
  
  
  
  
  
  
  
  
  
  
  
  
  
  
  
  
  
  
  
  
  
  
  
  
  
  
  
  
  
  
  
  
  
  
  
  
  
  
  
  
  
  
  
  
  
  
  
  
  
  
  
  
  
  
  
  
  
  
  
  
  
  
  
  
  
  
  
  
  
  
  
  
  
  
  
  
  
  
  
  
  
  
  
  
  
  
  
  
  
  
  
  
  
  
  
  
  
  
  
  
  
  
  
  
  
  
  
  
  
  
  
  
  
  
  
  
  
  
  
  
  
  
  
  
  
  
  
  
  
  
  
  
 

