МФУ Canon PIXMA MX725 - инструкция пользователя по применению, эксплуатации и установке на русском языке. Мы надеемся, она поможет вам решить возникшие у вас вопросы при эксплуатации техники.
Если остались вопросы, задайте их в комментариях после инструкции.
"Загружаем инструкцию", означает, что нужно подождать пока файл загрузится и можно будет его читать онлайн. Некоторые инструкции очень большие и время их появления зависит от вашей скорости интернета.

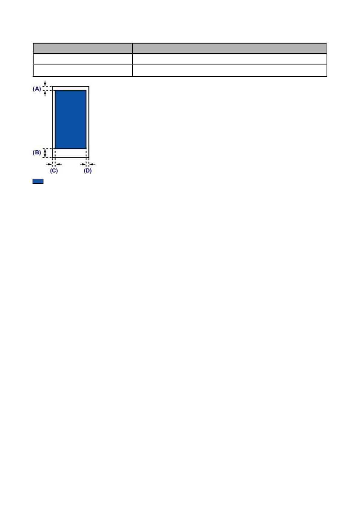
Конверты
Размер
Рекомендуемая область печати (ширина x высота)
European DL/Конверт European DL
98,8 x 179,6 мм (3,88 x 7,07 дюйма)
Станд. конверт №10 (США)
93,5 x 200,9 мм (3,68 x 7,90 дюйма)
Рекомендуемая область печати
(A)
3,0 мм (0,12 дюйма)
(B)
37,4 мм (1,47 дюйма)
(C)
5,6 мм (0,22 дюйма)
(D)
5,6 мм (0,22 дюйма)
74
Содержание
- 3 Обозначения, используемые в настоящем документе; Основное руководство
- 4 Товарные знаки и лицензии
- 5 Рекомендации по поиску; Поиск функций
- 6 Поиск ссылочных страниц
- 7 Окно, используемое при пояснении операций
- 8 Обзор устройства
- 12 Изменение параметров устройства на ЖК-дисплее
- 18 Функция интеграции с онлайн-хранилищами данных; Интеграция с онлайновой службой для ведения заметок; Параметры
- 19 Печать с устройства, совместимого с AirPrint; Проверка окружающей среды; Печать с помощью AirPrint
- 20 В параметрах меню легко коснитесь элемента; Печать; В разделе; выберите используемую модель.; Параметры принтера
- 21 Проверка состояния печати; Домашняя страница
- 22 Удаление задания печати; AirPrint Устранение неполадок; Убедитесь, что в устройстве достаточно бумаги и чернил.
- 23 Использование службы; Печатать из эл. почты; Проверка среды выполнения; Печатать из эл. почты; Печатать из эл. почты; Печать URL-адреса страницы регистрации принтера и PIN-кода
- 24 Печать с компьютера или смартфона; Подготовьте файл, который нужно напечатать; служба; Использование службы несколькими пользователями
- 25 электронной почты пользователя, а затем нажать; Регистрация; Документ не печатается; Облачные настройки
- 26 Если не удается выполнить печать после ремонта принтера; Торговые марки
- 27 Подготовка к использованию Печатать из эл. почты; Убедитесь, что принтер подключен к сети; Принимаю; Введите адрес электронной почты владельца принтера и нажмите
- 34 Беспров. сеть включена
- 35 порт для флэш-диска USB; стекло рабочей поверхности
- 36 Вид сзади; задняя крышка; разъем кабеля питания; разъем для внешних устройств
- 37 Вид внутренних частей; индикатор чернильницы; держатель печатающей головки; крышка чернильного контейнера
- 38 Примечание
- 39 Кнопка OK; Цифровые кнопки; Регулировка звука
- 40 Об электропитании устройства
- 41 МЕНЮ; ВКЛ
- 42 Включение и выключение устройства; Включение питания устройства; КОПИРОВАТЬ; Выключение питания устройства; Нажмите кнопку; для выключения устройства.; КОПИРОВАТЬ
- 43 Уведомление о штепселе шнура питания или шнуре питания
- 47 Переключение режима ввода; Ввод цифр, букв и символов
- 48 Список символов, вводимых с помощью цифровых кнопок
- 51 Источники для загрузки бумаги
- 52 Загрузка бумаги стороной для печати вниз
- 53 Загрузка бумаги небольшого размера; Сдвиньте направляющую бумаги
- 54 Прижмите направляющие бумаги
- 55 Откройте лоток приема бумаги.; После загрузки бумаги
- 58 Загрузка бумаги формата больше A4
- 60 Подготовьте конверты.
- 64 Типы носителей; Обычная бумага (включая вторичную бумагу); Подлинная бумага Canon; Бумага для печати фотографий:; Размеры страницы
- 65 Нестандартные размеры:; Вес бумаги; Примечания по хранению бумаги
- 66 Предел загрузки бумаги; Стандартные типы бумаги; Имя носителя; Лоток приема бумаги; Бумага для создания собственных напечатанных изображений:
- 68 Параметры типа носителя на панели управления
- 69 Типы носителей, непригодные для использования
- 71 Степень расширен. копии
- 72 Размер
- 75 Загрузка оригиналов
- 77 Загрузка оригиналов на стекло рабочей поверхности; Загрузите оригиналы на стекло рабочей поверхности.; Осторожно закройте крышку сканера.
- 79 параметры устройства
- 81 Загрузка оригиналов для каждой функции; Размещение оригинала и совмещение его с меткой выравнивания; С помощью программы на компьютере,; компьютере
- 82 программного обеспечения на компьютере
- 83 УАПД
- 85 Доступные для печати изображения; Фотография; JPEG
- 86 Отключение флэш-диска USB
- 88 Процедура замены; Обращение с чернилами; Откройте крышку сканера.
- 89 Откройте крышку чернильного контейнера.; Снимите чернильный контейнер, индикатор которого часто мигает.
- 90 Приготовьте новый чернильный контейнер.
- 93 Проверка состояния чернил
- 94 Убедитесь, что включено питание, и нажмите кнопку; Выберите; Настройка; , затем нажмите кнопку; Выберите пункт; Приблиз. запас чернил; кнопку; OK
- 95 Откройте крышку сканера, а затем — крышку чернильного контейнера.; Проверьте индикатор чернильницы.; Мигает редко (с интервалом приблизительно 3 с)
- 98 Процедура обслуживания; Перед выполнением технического обслуживания; При размытой или неровной печати:; Оцените шаблон для проверки сопел.
- 99 Выровняйте печатающую головку.
- 100 Печать образца для проверки сопел
- 101 Оценка образца для проверки сопел; Проверьте образец на наличие недостающих линий; Для; Чистка не требуется. Выберите; Все A; Подтвердите сообщение, затем нажмите кнопку
- 102 Требуется чистка. Выберите; Также B; Да; и нажмите кнопку
- 103 Чистка печатающей головки
- 108 После появления сообщения о завершении нажмите кнопку
- 109 Печать для
- 110 При появлении сообщения «; Правильно ли напечатаны образцы?; » подтвердите, что образец напечатан правильно, выбрав; затем нажмите кнопку; номер образца с наименее заметными вертикальными полосами.
- 111 B—H, затем нажмите кнопку
- 112 J—P, затем нажмите кнопку; номер образца с наименее заметными горизонтальными полосами.
- 114 Обслуживание с компьютера
- 115 Очистка
- 116 Связанные разделы
- 117 Очистка подающих роликов с компьютера; Очистка роликов
- 118 Выравнивание печатающих головок с компьютера; Выравнивание печатающих головок (Print Head Alignment); Откройте окно настройки драйвера принтера.; Выравнивание печатающих головок; на вкладке; Вставьте бумагу в устройство
- 120 В запросе подтверждения нажмите кнопку; Проверьте напечатанный шаблон.
- 122 Щелкните; для регулировки положения печатающих головок.; Запуск выравнивания; Напечатать значение выравнивания
- 123 Проверка сопел
- 124 Очистка внутренних компонентов устройства; Чистка поддона; Вставьте бумагу в устройство.; Выполнить
- 125 Чистка устройства
- 126 Чистка наружной поверхности принтера
- 127 Чистка стекла рабочей поверхности и крышки сканера
- 128 Чистка УАПД (устройства автоматической подачи документов); Откройте лоток для документов.
- 130 Чистка подающих роликов
- 132 Чистка внутренних компонентов устройства (Чистка поддона)
- 134 Нужно приготовить: хлопчатобумажный тампон
- 135 Чистка прокладки в кассете; Протрите прокладку
- 138 Параметры печати; Измените значения отдельных параметров.; Страница
- 139 Регистрация профиля часто используемой конфигурации печати; Сохранение конфигурации печати
- 140 Удаление ненужных конфигураций печати; Выберите конфигурацию печати для удаления.
- 141 Управление питанием устройства; Отключение питания
- 142 Уменьшение издаваемого устройством шума; Параметры бесшумного режима (Quiet Settings); Параметры бесшумного режима; Установите бесшумный режим.
- 143 Изменение режима работы устройства; Специальные; При необходимости настройте следующие параметры.
- 146 Параметры устройства
- 148 Параметры факса; Параметры ФАКСА; Тип телефонной линии (Telephone line type); Определение сигнала в линии (Dial tone detect); Продолжительность паузы (Pause time settings)
- 149 Полученные документы (Received documents)
- 150 Контроль за безопасностью (Security control); Параметр клавиши рычага (Hook key setting)
- 155 Формат отображения даты (Date display format)
- 156 Постраничный вывод
- 157 Тип
- 158 Параметры Bluetooth; Выбор имени устройства (Select device name)
- 159 Параметры печати PictBridge
- 161 Обновление микропрограммы; Проверить текущую версию (Check current version)
- 162 Сброс настройки; службы; Сброс; Только No телефона (Telephone number only); Страна или регион
- 163 О Параметры ECO
- 164 Использ. бесшумный режим
- 168 Подключение устройства к компьютеру с помощью USB-кабеля
- 169 Определение принтеров с одинаковым именем во время настройки; Список настроек сети; Подтвержд. настроек сети
- 170 Изменить метод подключения
- 174 О передаче данных по сети
- 176 IJ Network Tool; Запуск программы IJ Network Tool; Пуск
- 177 Изменение параметров на вкладке «Беспроводная сеть»
- 178 Использовать WPA
- 180 Авто; Открытая; Общий ключ; Использовать по умолчанию
- 181 Имя порта; Сведения о WPA; Сведения о WPA2; Подтверждение типа проверки
- 182 Готово
- 184 Изменение параметров на вкладке «Проводная сеть»; Проводная сеть; Проводная сеть; Переданные параметры
- 185 Изменение параметров на вкладке «Пароль администратора»; Пароль администратора; Использовать пароль администратора
- 186 Мониторинг состояния беспроводной локальной сети; Запустите программу IJ Network Tool.; Выберите принтер в разделе; Вид; Состояние; Измерение производительности подключения
- 187 Общая производительность сети:
- 188 Инициализировать
- 189 Просмотр измененных параметров; Конфигурация; Подтверждение
- 190 Экраны для сетевого подключения программы IJ Network Tool
- 191 Экран программы Canon IJ Network Tool; Canon IJ Network Tool; Элементы экрана Canon IJ Network Tool
- 192 Меню программы Canon IJ Network Tool
- 194 Экран «Конфигурация»
- 195 Беспроводная сеть
- 197 Найденные точки доступа:; Задать
- 198 Экран «Сведения о WEP»; Проверка подлинности:
- 199 Экран «Сведения о WPA»; Тип проверки подлинности:; Подтверждение типа проверки подлинности
- 200 Экран «Сведения о WPA2»
- 201 Экран «Подтверждение типа проверки подлинности»; PSK; PSK
- 202 Тип динамического шифрования
- 203 Экран «Подтверждение информации настройки»
- 205 Вкладка «Пароль администратора»; Подтверждение пароля:
- 206 Экран «Сведения о сети»; Сведения о сети; Копировать все сведения
- 207 Вкладка «Управление доступом»; Управление доступом; Тип управления доступом к принтеру:
- 210 Добавить доступный MAC-адрес
- 212 Другие экраны программы IJ Network Tool
- 216 Состояние устройства:
- 217 Экран «Измерение производительности подключения»
- 219 Экран «Обслуживание»; Инициализация параметров
- 220 Сетевая настройка гнезда карты памяти; Обновить; Компьютер
- 221 Отмена
- 222 Экран «Связывание с портом»
- 225 Подключение слота карты памяти в качестве сетевого диска
- 226 Ограничения на использование слота карты памяти в сети; Доступ
- 227 Нет драйвера; Связывание с портом
- 228 О технических терминах; AES
- 229 Bonjour
- 230 ASCII; LPR
- 231 SSID
- 232 WPA
- 233 Ограничения
- 234 О брандмауэре; Предосторожности при включенной функции брандмауэра; Получить IP-адрес автоматически
- 235 Рекомендации по обеспечению оптимального качества печати
- 236 Используются ли цветные чернила при черно-белой печати?
- 237 Что нужно проверить для успешного выполнения печати; Перед запуском печати проверьте состояние устройства!; В порядке ли печатающая головка?; Не испачканы ли чернилами внутренние части устройства?; Проверьте, правильно ли вставлена бумага!; Правильно ли ориентирована бумага при загрузке?; Не скручена ли бумага?
- 238 Обязательно задайте параметры бумаги после ее загрузки
- 239 Отмена задания печати
- 240 Рекомендации по обеспечению стабильного качества печати; Периодически выполняйте печать!
- 241 Меры предосторожности при транспортировке устройства; При отправке устройства в ремонт; Выключите устройство.
- 243 Технические характеристики; Общие технические характеристики
- 245 Технические характеристики сети; Минимальные требования к системе
- 250 Печать с панели управления аппарата
- 251 Использование печати с помощью веб-службы
- 252 О системе связи Bluetooth
- 253 Копирование
- 255 Выберите часто используемый профиль.
- 256 Проверьте источник бумаги.; Кассета; Источник бумаги
- 258 Вкладка «Быстрая установка»; Быстрая установка
- 261 Настройка «Размер стр.» и «Ориентация»; Откройте; Ориентация
- 262 Настройка количества копий и порядка печати страниц
- 264 Настройка поля для переплета; Сторона переплета
- 266 Выполнение печати без полей; Настройка параметра «Печать без полей»
- 267 Настройте степень расширения для бумаги.; Чтобы увеличить печатаемую часть документа
- 268 Печать по размеру бумаги
- 270 Печать с масштабированием; Масштабирование; Выберите размер бумаги для документа.; • Выбор значения параметра Размер бумаги (Printer Paper Size)
- 271 • Указание коэффициента масштабирования.; Масштаб
- 272 Печать на развороте
- 274 Печать в виде плитки/постера; Настройка печати в виде плитки/постера; Макет страницы; Выберите размер бумаги.; Размер бумаги; Установите разбивку изображения и страницы для печати.
- 275 Печать только указанных страниц; Установите диапазон печати.
- 277 Печать буклета
- 279 Двухсторонняя печать; Выполнение автоматической двухсторонней печати
- 280 Укажите значение для параметра «Сторона переплета».; Выполнение двухсторонней печати вручную
- 282 Печать штампа и фона; Фон; Штамп; Печать штампа; Штамп
- 283 Установите параметры штампа.; Печать фона; Установите параметры фона.
- 284 Без полей; Вставить
- 285 Сохранение нового штампа; Параметры штампа
- 288 Задание нового фона
- 289 Выберите данные изображения для регистрации в качестве фона.; Изменение и задание отдельных параметров фона; Выберите фон для изменения его настроек.
- 291 Настройка печати конверта
- 293 Печать на открытках; окно настройки драйвера принтера.
- 295 Просмотр на экране подготовленного к печати материала
- 296 Настройка размера бумаги (специальный размер бумаги); Задайте специальный размер бумаги в приложениях.
- 298 Редактирование и печать документа
- 300 Выполнение печати; Повторная печать из журнала печати; Отображение журнала печати
- 302 Вкладка «Главная»; Главная; Возможности настройки
- 303 Установка уровня «Качество печати» (Другое)
- 305 Печать цветного документа в черно-белом варианте
- 308 Оптимальная фотопечать графических данных; Настройка цветов; Настройка цветов с помощью драйвера принтера
- 311 Печать с использованием ICC-профилей
- 312 Перед печатью задайте ICC-профиль с помощью драйвера принтера
- 314 Другое
- 315 Настройка цветового баланса
- 318 Установка печати образца
- 321 Настройка яркости
- 323 Настройка интенсивности
- 325 Настройка контрастности
- 329 Настройка интенсивности/контраста
- 331 Общие сведения о драйвере принтера
- 332 Драйвер принтера Canon IJ; Типы драйвера принтера
- 333 Выберите название модели используемого принтера и щелкните; В меню; в отображаемом меню.
- 334 Вкладка «Обслуживание»
- 335 Монитор состояния Canon IJ; Запуск монитора состояния Canon IJ; Сведения о состоянии; Когда происходят ошибки
- 336 При необходимости щелкните пункт; Данные о чернилах; Данные о чернилах
- 337 Предварительный просмотр
- 338 Удаление ненужного задания печати; Отобразите монитор состояния Canon IJ.; Очистить очередь печати
- 339 Инструкции по эксплуатации (Драйвер принтера); Ограничения, связанные с драйвером принтера
- 340 Замечания о приложениях с ограничениями
- 343 Удаление ненужных драйверов MP Drivers; Запустите программу удаления.
- 344 Перед установкой MP Drivers; Проверка состояния устройства; Проверка параметров персонального компьютера
- 345 Установка MP Drivers; Разрешить; Установите драйверы MP Drivers.; Завершено
- 348 Режим автосохранения
- 349 При необходимости задайте значения параметров.
- 350 Цветной; Добавление задания печати
- 353 Использование полезных режимов отображения; Изменение способа отображения
- 354 Формы шаблонов для печати; Линованная бумага; Миллиметровка; Контрольная таблица
- 355 Печать форм шаблонов
- 361 Использование веб-службы; Авторские права и права на публичное использование; Печать из сайта для обмена фотографиями:
- 363 Печать фотографий из фотоальбома в Интернете
- 364 Кнопками
- 366 Загрузка и печать форм шаблонов
- 367 Параметры для веб-службы; Регистрация учетной записи на сайте для обмена фотографиями
- 368 Сброс параметров веб-службы
- 370 Печать с помощью Google Cloud Print; Подготовка к печати с помощью Google Cloud Print
- 371 Получение учетной записи Google; Регистрация устройства в Google Cloud Print
- 373 Параметры облака
- 374 Отправка данных печати с помощью службы Google Cloud Print; Выполните печать с компьютера или смартфона.
- 375 Запустить печать из облака; Запустить; Печать из Google Cloud Print; С помощью кнопок
- 377 Подключите PictBridge-совместимый аппарат к устройству.; Задайте параметры печати, такие как тип бумаги и макет.
- 379 Обычная
- 380 Настройки принтера
- 382 Фото
- 383 О передаваемых данных
- 389 Установка на принтер и снятие с принтера; Установка модуля Bluetooth на принтер; Снятие модуля Bluetooth с принтера
- 392 Зарегистрируйте принтер для печати через Bluetooth.
- 395 Проверка имени принтера как устройства; Откройте экран; Выбор имени устройства
- 396 Графический ЖК-дисплей; Проверьте имя устройства.
- 397 Регистрация принтера; В ОС Windows 7 или Windows Vista:
- 403 Выберите пункты из панели; В ОС Windows Vista или Windows XP:
- 405 Подсоедините модуль Bluetooth.; Откройте диалоговое окно свойств принтера.
- 406 Задайте нужные параметры.
- 407 Выбор принтера; Стоп; Прервать
- 408 Выведите на ЖК-дисплей экран; phone print settings); Начните печать с Bluetooth-совместимого устройства.
- 412 Изменить пароль; Включить
- 416 Создание копий; Стандартная копия; Просмотр; для цветного копирования или кнопку; Черный; Идет
- 417 Добавление задачи копирования (Резервировать копию)
- 419 Экран параметров печати
- 424 Двухстороннее копирование; Односторонняя на двухстороннюю
- 426 При помещении оригинала на стекло рабочей поверхности:
- 428 О других функциях копирования; Копия без полей
- 429 Копирование двух страниц по размеру одной страницы
- 431 Копирование четырех страниц по размеру одной страницы
- 434 Копирование толстых оригиналов, таких как книги
- 437 Копирование с сортировкой
- 439 для цветной печати или кнопку
- 445 Другие полезные функции факсимильной связи
- 446 Отправка факсов с компьютера
- 447 Подготовка к работе с факсом; Настройка устройства; Режим приоритета телефона; Установка основных параметров передачи факсов
- 448 Основное подключение
- 449 Для пользователей в Великобритании:; Подключение различных линий; Подключение к Интернет-телефону; Тип телефонной линии; Подключение к xDSL
- 450 Подключение к линии ISDN
- 454 О режиме приема
- 455 Удобный прием; DRPD; Входящий звонок
- 456 О сведениях об отправителе; Установка даты и времени
- 457 Настройка декретного времени (летнего времени)
- 459 Регистрация информации о пользователе
- 464 Кнопка; предназначена для передачи в цвете, а кнопка; При загрузке документа в УАПД:
- 465 Автоповтор набора; Повторный набор номера вручную
- 467 Отправка факсов с использованием полезных функций
- 470 Отправка факса с помощью функции быстрого набора; Кодированный набор; Выберите код быстрого кодированного или группового набора.
- 472 Нажмите левую кнопку
- 475 Укажите номера факсов/телефонов получателей один за другим.
- 477 Предотвращение ошибок при передаче факсов
- 479 Использование функции набора без снятия трубки; Загрузите документы в УАПД.; Рычаг; Когда услышите высокотональный сигнал, нажмите кнопку
- 483 Прямой ввод
- 484 Введите имя получателя.; Имя
- 485 Введите номер факса или телефона получателя.; Чтобы завершить регистрацию, нажмите кнопку
- 486 Регистрация получателей для группового набора
- 487 Зарегистрируйте членов.; Член
- 489 Изменение информации регистрации
- 490 Удаление зарегистрированных сведений
- 492 Об утилите быстрого набора
- 493 Запуск Утилиты быстрого набора; Устройство подключено к компьютеру правильно.; Параметры быстрого; Параметры и обслуживание устройства (Device
- 494 Диалоговое окно «Утилита быстрого набора»; Утилита быстрого набора; Регистрация тел. номера; Список зарегистрированных сведений; Выбрать все
- 495 Выход
- 496 Запустите Утилиту быстрого набора.; Выберите устройство из списка; Сохранить
- 497 Выбор между отдельным номером и группой; Зарегистрировать групповой набор
- 501 Удалить
- 502 Информация о пользователе; Имя пользователя
- 503 Отклоняемые номера; Список
- 505 Удаление Утилиты быстрого набора; Удалите Утилиту быстрого набора.; при запросе подтверждения.
- 507 Подготовка к приему факса; Прием факса
- 509 Если выбран параметр DRPD или Сетевой коммутатор (Network switch):
- 510 Поднимите трубку и ответьте на вызов.; Для DRPD; Для сетевого коммутатора
- 511 Изменение параметров бумаги; ФАКС - параметры бумаги; нажмите кнопку
- 513 Режим только факса; Сетевой коммутатор
- 514 Дополнительные настройки в режиме DRPD
- 515 Режим принятия памяти; Устройство настроено на сохранение принятых факсов в памяти:; На устройстве произошла ошибка:
- 517 Прием факсов с использованием полезных функций
- 519 ВЫКЛ
- 520 Дополнительные парам. факса
- 521 Отклонение получения факса; Без
- 522 Регистрация отклоняемых номеров
- 527 Использование линии тонального набора; Набор с помощью телефона, подключенного к аппарату
- 528 Использование линии импульсного набора
- 529 Передача/прием факсов с использованием ECM
- 530 Оставшегося количества чернил недостаточно для печати факса.
- 531 Печать списка документов в памяти устройства
- 533 Печать всех документов в памяти устройства
- 534 Удаление указанного в памяти устройства документа
- 535 Удаление всех документов в памяти устройства
- 539 Тип отчетов и списков
- 540 Печать отчета или списка
- 541 Ошибки при отправке факса
- 542 Ошибки при получении факса
- 543 Отклонение получаемого факса; Контроль за безопасностью
- 547 Нажмите; Отправить
- 548 Выполните переход из меню; указанным далее образом:; Первое открытие адресной книги (Windows XP)
- 549 В диалоговом окне; Адресная книга; нажмите; Создать
- 550 Контакт; Список рассылки
- 551 Введите номер факса на вкладке; Домашний; Служебный; и нажмите; ОК
- 554 Свойства; измените нужную информацию и
- 556 Поиск получателя в адресной книге (драйвер факса)
- 557 Введите имя искомого получателя в поле; Поиск по получателю; диалогового окна; Выбор получателя из адресной книги; Задать как получателя
- 558 Check 3: Правильно ли установлен тип телефонной линии?; Check 5: Правильно ли введен номер факса/телефона получателя?
- 559 Check 8: Правильно ли подключена телефонная линия?
- 564 Сканирование с компьютера
- 565 Сканирование с панели управления устройства
- 566 Основные
- 567 Возможности программного обеспечения IJ Scan Utility; Удобное сканирование для определенной цели; Автоматическое сохранение отсканированных изображений; Интеграция с приложениями
- 569 Запуск программы IJ Scan Utility
- 570 Убедитесь, что сканер или принтер включен.; Запустите программу IJ Scan Utility.
- 571 Сканирование фотографий
- 572 Сканирование документов; Документ
- 573 Сканирование с избранными настройками; Поместите объект на рабочую поверхность.
- 574 Совмещение; Совмещение изображений; Выбор размера на выходе
- 575 Убедитесь, что выбрано значение; Сканирование слева; Направление сканирования; Запустить сканирование изображения 1
- 576 Запустить сканирование изображения 2; Настройте отсканированные изображения по своему усмотрению.
- 577 Настройка рамок обрезки; Сохранение
- 578 С использованием функции автоматического сканирования; Без использования функции автоматического сканирования; Автоматическое сканирование; Поместите исходные документы на рабочую поверхность.; Настраиваемое сканирование
- 579 Выберите значение параметра; Выберите источник; соответствии с исходными сканируемыми документами.
- 581 Разместите документы в УАПД.; Сканирование документа
- 582 соответствии с документами, которые будут сканироваться.
- 587 Установите для параметра; Сканировать обе стороны при сканировании из УАПД
- 589 Сохранение после проверки результатов сканирования; Сканирование фотографии; Проверить результаты сканирования
- 590 Сохранить параметры; Мои документы
- 595 Извлечение текста из отсканированных изображений (OCR); ScanGear
- 598 Экраны программы IJ Scan Utility
- 601 Параметры (Сохранить на
- 609 Параметры приложения
- 614 Не запускать сторонние приложения (Do not start any application); Место сохранения; Выбор приложения; Выбор целевой папки
- 628 Автоматически
- 633 Параметры обработки изображения (Image Processing Settings)
- 636 Вложить в электронное письмо (фотография)
- 645 (1) Кнопки операций предварительного просмотра
- 647 Окно «Совмещение изображений»; Выбор размера на выходе (Select Output Size)
- 648 Запустить сканирование изображения 1 (Start Scanning Image 1); Запустить сканирование изображения 2 (Start Scanning Image 2); Настройка рамок обрезки (Adjust cropping frames)
- 649 Область просмотра эскизов; Если изображения не сканировались
- 652 Назначение программы ScanGear (драйвера сканера); Возможности данного программного обеспечения; Расширенный режим
- 654 Запуск программы ScanGear (драйвер сканера); Сканирование документов после простой коррекции изображения; настройки цвета
- 655 Запуск из программы My Image Garden; Запустите приложение My Image Garden.; Запуск из приложения; Запустите приложение.
- 656 Задайте значение параметра; Выбор источника
- 657 Укажите; Место назначения; Установите нужный; Формат вывода; Настройте должным образом параметры в группе; Коррекция изображения; Сканировать
- 658 Состояние окна ScanGear после сканирования
- 659 Сканирование в расширенном режиме; Щелкните вкладку; соответствии с видом документа или целью.
- 660 Задайте
- 661 УАПД двухстороннее – настройки вывода документов
- 663 соответствии с документом, помещенным на планшет.
- 665 Настройте рамки обрезки.
- 667 Настройка яркости и цветового тона изображения
- 668 Уменьшение просвечивания; Функция повышения четкости лиц, оказавшихся немного не в фокусе; Скрыть нечеткость; Устранение градаций и полос; Убрать растр
- 670 Настройка цветов с помощью цветного образца
- 671 Желтый; Цветной образец
- 672 Настройка насыщенности и баланса цвета; Насыщенность; Баланс цвета
- 674 Настройка яркости и контрастности; Канал; Оттенки серого
- 675 Яркость; Контрастность
- 676 Настройка гистограммы; Чтение гистограмм
- 677 Настройка гистограмм (с использованием регулятора); Перемещение регуляторов черной и белой точек; Изображения, большая часть данных в которых приходится на тени; Перемещение регулятора средней точки
- 678 Настройка гистограмм (с использованием пипеток); Баланс серого
- 679 Настройка кривой тона; Чтение кривых тона
- 682 Настройка порогового значения
- 683 Окна программы ScanGear (драйвера сканера)
- 685 OCR
- 688 Панель инструментов; В режиме эскиза
- 689 Область предварительного просмотра; Когда
- 690 Когда значок
- 691 Добавление/Удаление любимых настроек
- 701 В режиме полного изображения
- 703 Параметры изображения
- 707 Кнопки настройки цветов; Сопоставление цветов; Параметры цвета
- 711 Вкладка Сканер
- 713 Вкладка Просмотр; Просмотр при запуске ScanGear (Preview at Start of ScanGear)
- 714 Формат обрезания для просмотра эскизов
- 717 Вкладка Параметры цвета
- 719 Размещение исходных документов (рабочая поверхность); Для фотографий, открыток, визиток и дисков
- 720 Сжать отсканированные; Откройте лоток для документов
- 722 Исходная рамка обрезки; Виды рамок обрезки
- 723 Создание нескольких рамок обрезки
- 724 Удаление рамок обрезки
- 725 Ограничения драйвера сканера; Приложения с ограничениями на использование
- 728 Настройка рамки обрезки
- 729 Настройка разрешения
- 731 Форматы данных
- 732 Сканер; Монитор
- 733 Меню
- 734 Экран окна параметров сканирования с ПК; Сканеры; Экран «Параметры сканирования с панели управления»; Параметры сканирования с панели управления
- 735 с панели управления
- 736 Удаление программы IJ Network Scanner Selector EX; Удалите программу IJ Network Scanner Selector EX.
- 738 Сканирование с помощью WIA-драйвера; Разместите исходный документ на рабочей поверхности или в УАПД.; Файл; раздела; Факсы и
- 740 Щелкните пункт; Со сканера или камеры; Настроить качество сканированного изображения; и настройте параметры по своему усмотрению.
- 743 Далее; и выполняйте появляющиеся на экране
- 748 СКАНИРОВАТЬ
- 749 Выберите тип документа с помощью кнопки
- 750 Нажмите правую кнопку; для настройки необходимых; для цветного сканирования или кнопку; При загрузке оригинала в УАПД:
- 751 При отображении экрана выбора программы:; Если используется Windows 7 или Windows Vista:
- 753 для задания необходимых
- 754 При размещении оригинала на стекле рабочей поверхности:
- 755 Сохранить на флэш-диск USB
- 758 Удаление данных сканирования с флэш-диска USB
- 762 Выбор сканера или принтера; Убедитесь, что программа IJ Network Scanner Selector EX активна.
- 763 Выберите сканер или принтер в разделе; Настройка сканирования с помощью программы IJ Scan Utility; Название продукта
- 766 Вернитесь на экран «Параметры сканирования с ПК» и нажмите кнопку
- 767 Выберите режим сканирования на вкладке
- 768 Укажите коррекцию изображения в меню; Варианты сканирования; Укажите имя файла и другие параметры в меню
- 771 Поиск каждой функции
- 773 Проблемы с печатью
- 777 Проблемы с устройством
- 778 Проблемы при установке или загрузке
- 779 Об отображаемых ошибках и сообщениях
- 780 Питание устройства не включается
- 781 Проверка 5. Правильно настройте порт принтера.; Войдите в систему с полномочиями администратора.; Откройте свойства драйвера принтера для устройства.
- 782 Порты; для настройки порта.; Проверка 6. Слишком большой объем данных печати?
- 787 Чернила не подаются; Проверка 2. Оранжевая лента или защитная пленка не удалены?
- 788 Замятие бумаги; Если на ЖК-дисплее отображается код поддержки и сообщение:
- 790 Не удается отправить факс; Проверка 3: Не переполнена ли память устройства?
- 791 Проверка 8: Не возникла ли ошибка при передаче?; Проверка 9: Правильно ли загружен документ?; Проверка 11: Правильно ли подключена телефонная линия?; Частое возникновение ошибок при отправке факсов; Проверка: Проверьте состояние телефонной линии или соединения.; Нач. скорость передачи
- 792 Проблемы с получением факсов; Не удается принять факс, не удается распечатать факс; Проверка 2: Заполнена ли память устройства?
- 794 Плохое качество принятых факсов; Проверка 5: Вы проверили параметры бумаги и качества печати?; Не удается принять факс в цвете; Проверка 1: Проверьте состояние телефонной линии или соединения.
- 796 Проверка. проверьте версию встроенного ПО устройства.; Эта услуга
- 800 Проверка 2. Если не установлены MP Drivers, установите MP Drivers.
- 801 Включить поддержку двусторонней связи
- 802 Низкая скорость печати
- 803 Проверка 1. Подтвердите параметры точки доступа.; Открытая система
- 804 Не удается обнаружить устройство в сети
- 805 Настроить подключение к сети по USB; Проверить параметры принтеров
- 806 Повторно
- 808 Включен ли параметр беспроводной сети устройства?; К началу; Проверить
- 809 Подключено ли устройство к точке доступа?
- 811 Проверьте параметры точки доступа.
- 812 Не удается определить устройство по проводной сети: проверка 1; Подключен ли кабель LAN, и включены ли устройство и маршрутизатор?
- 814 Не удается определить устройство по проводной сети: проверка 3; Включен ли параметр проводной сети устройства?
- 815 Не удается определить устройство по проводной сети: проверка 4; Подключено ли устройство к маршрутизатору?
- 816 Повторно определить
- 817 Проверьте параметры маршрутизатора.
- 820 Не удается обнаружить устройство в проводной локальной сети
- 821 Другие проблемы с сетью
- 822 При использовании протокола WEP
- 823 Во время настройки на экране компьютера отображается сообщение; Ввод пароля; connecting the machine to the non encrypted wireless network); Отображается сообщение «; Подключение к устройству по беспроводной сети
- 825 Проверка информации о сети; Проверка информации о сетевых параметрах
- 826 Пакеты отправляются устойчиво; Выключить Canon IJ Network Scanner Selector EX
- 827 Сброс настроек сети
- 834 Проверка 1. Включена ли автоматическая двухсторонняя печать?
- 835 Копирование/Печать прерывается, не завершившись
- 836 Сбои при печати с устройства беспроводной связи; Проверка. Возможна ли печать через соединение Bluetooth?
- 840 Не удается напечатать задание до конца; Проверка 2. Объем данных для печати слишком большой?
- 841 Часть страницы не печатается; Печатать с уменьшением
- 843 Проверка 1. Вы проверили параметры бумаги и качества печати?; Проверка 3. Оранжевая лента или защитная пленка не удалены?; При копировании см. также следующие разделы:
- 845 Линии не выровнены; Проверка 2. Выполните выравнивание печатающих головок.
- 846 Линия не печатается или печатается частично
- 847 Изображение не печатается или печатается частично
- 849 Бумага испачкана/Отпечатанная поверхность поцарапана; Бумага испачкана; Углы бумаги пачкаются; Отпечатанная поверхность поцарапана; Проверка 2. Подходит ли тип бумаги для печати? Проверьте следующее:; Для обычной бумаги; Для другой бумаги
- 851 Проверка 6. Выполняется ли печать вне рекомендованной области?
- 852 Ползунком; Задержка на сушку; установите время ожидания, а; Проверьте сообщение и щелкните
- 853 Обратная сторона бумаги испачкана
- 854 Вертикальные линии печатаются на боковых частях распечатки; Проверка. Правильный ли размер загруженной бумаги?
- 855 Цвета передаются неравномерно; Проверка 3. Выполните выравнивание печатающих головок.
- 860 Сканер не работает
- 861 Программа ScanGear (драйвер сканера) не запускается; Проверка 2. Выберите сканер или принтер в меню приложения.
- 862 Проверка 6. Выберите сканер или принтер в меню приложения.
- 865 Низкая скорость сканирования
- 866 Появляется сообщение «Недостаточно памяти.»; Проверка 1. Закройте другие приложения и повторите попытку.
- 867 Компьютер перестает работать во время сканирования
- 868 Сканер не работает после обновления Windows
- 869 Отсканированное изображение не открывается
- 870 Неудовлетворительные результаты сканирования
- 871 Проверка 4. Проверьте качество цветопередачи монитора.
- 872 Проверка 5. Очистите рабочую поверхность и крышку сканера.
- 873 Белые области вокруг отсканированного изображения
- 874 Не удается отсканировать изображение в правильном размере; Проверка. Убедитесь, что исходные документы размещены правильно.
- 875 При сканировании с панели управления
- 877 Проверка 1. Измените параметры отображения в приложении.
- 887 Не удается отправить четкий факс; Проверка 1: Правильно ли загружен документ?
- 888 Проблемы с телефоном; Не удается набор; Проверка 1: Правильно ли подключен кабель телефонной линии?; Телефон отключается во время вызова
- 892 Не удается подключиться к устройству через USB-соединение
- 893 Текст на ЖК-дисплее не виден; Если все индикаторы на панели управления выключены:; Если на панели управления светится какой-либо индикатор:
- 894 Непонятный язык сообщений на ЖК-дисплее
- 895 Держатель печатающей головки не встает в положение для замены; Проверка 1. все ли индикаторы на панели управления погасли?
- 896 Не отображается окно монитора состояния принтера; Проверка. Включен ли монитор состояния принтера?; щелкните; Включить Монитор состояния
- 897 Если дополнительный лоток приема бумаги отсоединился
- 899 Проверка 1. Установка драйверов MP Drivers.; Компьютер с ОС Windows 7 (кроме компьютеров Toshiba с ОС Windows 7)
- 901 Проверка 1. Готовность модуля Bluetooth к использованию.
- 905 В открывшемся окне дважды щелкните значок; Дисковод; Принтер не обнаружен. Проверьте
- 906 В других случаях сделайте следующее.
- 907 Canon Easy-WebPrint EX; Canon Easy-WebPrint EX; Canon Easy-WebPrint EX; Canon Easy-WebPrint EX
- 908 Процедура обновления MP Drivers в сетевом окружении; Использовать принтер с; Подключение принтера к
- 909 Удаление программы IJ Network Tool; Удалите программу IJ Network Tool.
- 915 Inkjet Printer/Scanner/Fax Extended Survey Program; На ЖК-дисплее отображается сообщение; Проверьте размер бумаги и выберите
- 916 Выводится ошибка автоматической двухсторонней печати; Не удается правильно выполнить печать при автоматической; Ошибка записи/Ошибка вывода/Ошибка подключения
- 918 Другие сообщения об ошибках
- 919 Если Вы согласны принять участие в программе опроса:; Если Вы не согласны принять участие в программе опроса:
- 920 Удаление
- 921 Сообщение об ошибке на PictBridge-совместимом устройстве; Продолжить
- 923 Если не удается устранить неполадку
- 924 Код поддержки появляется на ЖК-дисплее и экране компьютера
- 925 Список кодов поддержки (при замятии бумаги)
- 936 Замятие оригинала в УАПД:
- 939 Выключите устройство и отсоедините устройство от электросети.
- 940 Возьмите застрявшую бумагу руками.
- 941 Убедитесь, что удалена вся застрявшая бумага.; Закройте крышку чернильного контейнера и крышку сканера.
- 942 В других случаях
- 943 Причина


