МФУ Canon PIXMA MX524 - инструкция пользователя по применению, эксплуатации и установке на русском языке. Мы надеемся, она поможет вам решить возникшие у вас вопросы при эксплуатации техники.
Если остались вопросы, задайте их в комментариях после инструкции.
"Загружаем инструкцию", означает, что нужно подождать пока файл загрузится и можно будет его читать онлайн. Некоторые инструкции очень большие и время их появления зависит от вашей скорости интернета.

Конверты
Размер
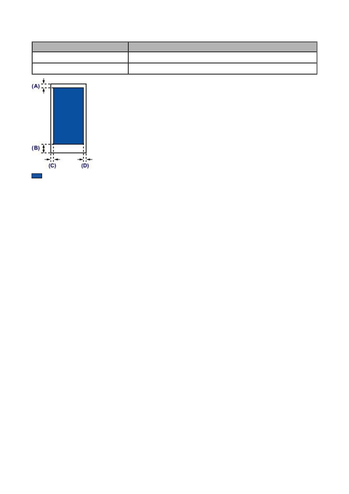
Рекомендуемая область печати (ширина x высота)
European DL/Конверт European DL
98,8 x 179,5 мм (3,88 x 7,06 дюйма)
Станд. конверт №10 (США)
93,5 x 200,8 мм (3,68 x 7,90 дюйма)
Рекомендуемая область печати
(A)
8,0 мм (0,31 дюйма)
(B)
32,5 мм (1,28 дюйма)
(C)
5,6 мм (0,22 дюйма)
(D)
5,6 мм (0,22 дюйма)
59
Содержание
- 3 Обозначения, используемые в настоящем документе; Основное руководство
- 4 Товарные знаки и лицензии
- 5 Рекомендации по поиску; Поиск функций
- 6 Поиск ссылочных страниц
- 7 Окно, используемое при пояснении операций
- 8 Обзор устройства
- 12 Изменение параметров устройства на ЖК-дисплее
- 14 Полезные функции устройства; Простая печать фотографий с помощью приложения; Простое упорядочение изображений
- 15 Загрузка различного содержимого; CREATIVE PARK
- 16 Простая загрузка отсканированных изображений на веб-ресурсы; Фотопечать веб-альбома
- 17 Печать в различных средах с помощью Google Cloud Print
- 18 Интеграция с онлайновой службой для ведения заметок; Параметры
- 19 Проверка окружающей среды; Печать с помощью AirPrint
- 20 В параметрах меню легко коснитесь элемента; Печать; В разделе; выберите используемую модель.; Параметры принтера
- 21 Проверка состояния печати; Домашняя страница
- 22 Удаление задания печати; AirPrint Устранение неполадок; Убедитесь, что в устройстве достаточно бумаги и чернил.
- 26 Беспров. сеть включена
- 28 Вид сзади; модуль подачи; разъем кабеля питания; разъем для внешних устройств
- 29 Вид внутренних частей; фиксирующий рычаг картриджа
- 30 Примечание
- 31 Кнопка OK; Цифровые кнопки; Регулировка звука
- 32 Об электропитании устройства
- 33 МЕНЮ; ВКЛ
- 34 Включение и выключение устройства; Включение питания устройства; КОПИРОВАТЬ; Аварийный сигнал; Выключение питания устройства; Нажмите кнопку; для выключения устройства.; КОПИРОВАТЬ
- 36 Уведомление о штепселе шнура питания или шнуре питания
- 40 Переключение режима ввода; Ввод цифр, букв и символов
- 41 Список символов, вводимых с помощью цифровых кнопок
- 44 Осторожно откройте переднюю крышку и выдвиньте упор для бумаги.
- 46 После загрузки бумаги
- 47 Загрузка конвертов; Подготовьте конверты.
- 49 Откройте лоток приема бумаги.; После загрузки конвертов
- 50 Подходящие типы носителей; Типы носителей; Обычная бумага (включая вторичную бумагу); Подлинная бумага Canon; Размеры страницы
- 51 Нестандартные размеры:; Вес бумаги; Примечания по хранению бумаги
- 52 Предел загрузки бумаги; Стандартные типы бумаги; Бумага для печати рабочих документов:
- 53 Параметры типа носителя на панели управления; Бумага для печати фотографий:
- 54 Типы носителей, непригодные для использования
- 56 Степень расширен. копии
- 57 Размер
- 59 Конверты
- 60 Загрузка оригиналов
- 62 Загрузка оригиналов на стекло рабочей поверхности; Загрузите оригиналы на стекло рабочей поверхности.; Осторожно закройте крышку сканера.
- 64 Загрузите документ в УАПД.; параметры устройства
- 66 Загрузка оригиналов для каждой функции; Размещение оригинала и совмещение его с меткой выравнивания; С помощью программы на компьютере,; компьютере
- 67 программного обеспечения на компьютере
- 68 стекло рабочей поверхности; УАПД
- 70 Доступные для печати изображения; Фотография; JPEG
- 71 Отключение флэш-диска USB
- 73 Процедура замены; Оперирование картриджами FINE; Убедитесь, что питание включено, откройте переднюю крышку
- 74 Откройте крышку лотка приема бумаги; Извлеките пустой картридж FINE.
- 75 Извлеките картридж FINE.; Приготовьте новый картридж FINE.
- 76 Установите картридж FINE.
- 77 Закройте крышку лотка приема бумаги
- 79 Убедитесь, что включено питание, и нажмите кнопку; Выберите пункт
- 82 Процедура обслуживания; Перед выполнением технического обслуживания; При размытой или неровной печати:; Оцените шаблон для проверки сопел.
- 83 Замените картридж FINE.
- 84 Печать образца для проверки сопел
- 85 Оценка образца для проверки сопел; Проверьте образец на наличие недостающих линий; Чистка не требуется. Выберите; Все A; , затем нажмите кнопку; Подтвердите сообщение, затем нажмите кнопку; OK
- 86 Требуется чистка. Выберите; Также B; Выберите; Да; и нажмите кнопку
- 87 Очистка печатающей головки
- 92 При появлении сообщения «; Правильно ли напечатаны образцы?; » подтвердите, что образец напечатан правильно, выбрав; затем нажмите кнопку; головки на стекле рабочей поверхности.
- 93 Осторожно закройте крышку сканера, затем нажмите кнопку; После появления сообщения о завершении нажмите кнопку
- 94 Обслуживание с компьютера
- 95 Очистка печатающих головок с компьютера; Очистка
- 96 Связанные разделы
- 97 Очистка подающих роликов с компьютера; Очистка роликов
- 98 Выравнивание печатающей головки
- 99 Выравнивание печатающих головок (Print Head Alignment)
- 100 В запросе подтверждения нажмите кнопку; Проверьте напечатанный шаблон.
- 102 Запуск выравнивания; Напечатать значение выравнивания
- 103 Проверка сопел
- 104 Очистка внутренних компонентов устройства; Откройте окно настройки драйвера принтера.; на вкладке; Чистка поддона; Вставьте бумагу в устройство.; Выполнить
- 105 Очистка устройства
- 106 Очистка наружной поверхности устройства
- 107 Очистка стекла рабочей поверхности и крышки сканера
- 108 Очистка УАПД (устройства автоматической подачи документов); Откройте лоток для документов.
- 110 Очистка подающего ролика
- 112 Очистка внутренних компонентов устройства (очистка поддона)
- 114 Нужно приготовить: хлопчатобумажный тампон
- 117 Изменение параметров печати; Параметры печати; Измените значения отдельных параметров.; Страница
- 118 Регистрация профиля часто используемой конфигурации печати; Сохранение конфигурации печати
- 119 Удаление ненужных конфигураций печати; Выберите конфигурацию печати для удаления.
- 120 Параметры картриджа (Ink Cartridge Settings); Параметры картриджа; Выберите используемый картридж FINE.
- 121 Управление питанием устройства; Отключение питания
- 122 Уменьшение издаваемого устройством шума; Параметры бесшумного режима (Quiet Settings); Параметры бесшумного режима; Установите бесшумный режим.
- 123 Изменение режима работы устройства; Специальные; При необходимости настройте следующие параметры.
- 126 Параметры устройства
- 128 Параметры факса; Параметры ФАКСА; Тип телефонной линии (Telephone line type); Определение сигнала в линии (Dial tone detect); Продолжительность паузы (Pause time settings)
- 129 Полученные документы (Received documents)
- 130 Контроль за безопасностью (Security control); Параметр клавиши рычага (Hook key setting)
- 135 Формат отображения даты (Date display format)
- 136 Тип
- 137 Параметры Bluetooth; Выбор имени устройства (Select device name)
- 138 Параметры печати PictBridge
- 140 Обновление микропрограммы; Проверить текущую версию (Check current version)
- 141 Сброс настройки; службы; Сброс; Только No телефона (Telephone number only); Страна или регион
- 142 О Параметры ECO
- 143 Использ. бесшумный режим
- 147 Подключение устройства к компьютеру с помощью USB-кабеля
- 148 Определение принтеров с одинаковым именем во время настройки; Список настроек сети; Подтвержд. настроек сети
- 149 Изменить метод подключения
- 153 О передаче данных по сети
- 155 IJ Network Tool; Запуск программы IJ Network Tool; Пуск
- 156 Изменение параметров на вкладке «Беспроводная сеть»
- 157 Использовать WPA
- 159 Авто; Открытая; Общий ключ; Использовать по умолчанию
- 160 Имя порта; Сведения о WPA; Сведения о WPA2; Подтверждение типа проверки
- 161 Готово
- 163 Изменение параметров на вкладке «Проводная сеть»; Проводная сеть; Проводная сеть; Переданные параметры
- 164 Изменение параметров на вкладке «Пароль администратора»; Пароль администратора; Использовать пароль администратора
- 165 Мониторинг состояния беспроводной локальной сети; Запустите программу IJ Network Tool.; Выберите принтер в разделе; Вид; Состояние; Измерение производительности подключения
- 166 Общая производительность сети:
- 167 Инициализировать
- 168 Просмотр измененных параметров; Конфигурация; Подтверждение
- 169 Экраны для сетевого подключения программы IJ Network Tool
- 170 Экран программы Canon IJ Network Tool; Canon IJ Network Tool; Элементы экрана Canon IJ Network Tool
- 171 Меню программы Canon IJ Network Tool
- 173 Экран «Конфигурация»
- 174 Беспроводная сеть
- 176 Найденные точки доступа:; Задать
- 177 Экран «Сведения о WEP»; Проверка подлинности:
- 178 Экран «Сведения о WPA»; Тип проверки подлинности:; Подтверждение типа проверки подлинности
- 179 Экран «Сведения о WPA2»
- 180 Экран «Подтверждение типа проверки подлинности»; PSK; PSK
- 181 Тип динамического шифрования
- 182 Экран «Подтверждение информации настройки»
- 184 Вкладка «Пароль администратора»; Подтверждение пароля:
- 185 Экран «Сведения о сети»; Сведения о сети; Копировать все сведения
- 186 Вкладка «Управление доступом»; Управление доступом; Тип управления доступом к принтеру:
- 189 Добавить доступный MAC-адрес
- 191 Другие экраны программы IJ Network Tool
- 195 Состояние устройства:
- 196 Экран «Измерение производительности подключения»
- 198 Экран «Обслуживание»; Инициализация параметров
- 199 Настройка; Сетевая настройка гнезда карты памяти; Обновить; Компьютер
- 200 Отмена
- 201 Экран «Связывание с портом»
- 204 Подключение слота карты памяти в качестве сетевого диска
- 205 Ограничения на использование слота карты памяти в сети; Доступ
- 206 Нет драйвера; Связывание с портом
- 207 О технических терминах; AES
- 208 Bonjour
- 209 ASCII; LPR
- 210 SSID
- 211 WPA
- 212 Ограничения
- 213 О брандмауэре; Предосторожности при включенной функции брандмауэра; Получить IP-адрес автоматически
- 214 Рекомендации по обеспечению оптимального качества печати
- 215 Полезные сведения о чернилах; Используются ли цветные чернила при черно-белой печати?
- 216 Что нужно проверить для успешного выполнения печати; Перед запуском печати проверьте состояние устройства!; В порядке ли печатающая головка?; Не испачканы ли чернилами внутренние части устройства?; Проверьте, правильно ли вставлена бумага!; Правильно ли ориентирована бумага при загрузке?; Не скручена ли бумага?
- 217 Обязательно задайте параметры бумаги после ее загрузки
- 218 Отмена задания печати
- 219 Рекомендации по обеспечению стабильного качества печати; Периодически выполняйте печать!
- 220 Меры предосторожности при транспортировке устройства; При отправке устройства в ремонт; Выключите устройство.; Закройте переднюю крышку.
- 222 Технические характеристики; Общие технические характеристики; Технические характеристики операций копирования
- 224 Технические характеристики сети; Минимальные требования к системе
- 225 Mac OS; Печать с мобильных устройств
- 229 Печать с панели управления аппарата
- 230 Использование печати с помощью веб-службы
- 231 О системе связи Bluetooth
- 232 Копирование
- 234 Выберите часто используемый профиль.
- 236 Вкладка «Быстрая установка»; Быстрая установка
- 239 Настройка «Размер стр.» и «Ориентация»; Откройте; Ориентация
- 240 Настройка количества копий и порядка печати страниц
- 242 Настройка поля для переплета; Сторона переплета
- 244 Выполнение печати без полей; Настройка параметра «Печать без полей»; Проверьте размер бумаги.
- 245 Настройте степень расширения для бумаги.; Чтобы увеличить печатаемую часть документа
- 246 Главная; Предварительный просмотр
- 247 Печать по размеру бумаги
- 249 Печать с масштабированием; Масштабирование; Выберите размер бумаги для документа.; • Выбор значения параметра Размер бумаги (Printer Paper Size)
- 250 • Указание коэффициента масштабирования.; Масштаб
- 251 Печать на развороте
- 253 Печать в виде плитки/постера; Настройка печати в виде плитки/постера; Макет страницы; Выберите размер бумаги.; Размер бумаги
- 254 Установите разбивку изображения и страницы для печати.; Печать только указанных страниц; Установите диапазон печати.
- 256 Печать буклета
- 258 Двухсторонняя печать; Выполнение автоматической двухсторонней печати
- 259 Укажите значение для параметра «Сторона переплета».; Выполнение двухсторонней печати вручную
- 261 Специальные параметры
- 262 Печать штампа и фона; Фон; Штамп; Фон; Печать штампа; Штамп
- 263 Установите параметры штампа.; Печать фона; Установите параметры фона.
- 264 Без полей; Вставить
- 265 Сохранение нового штампа
- 268 Задание нового фона
- 271 Настройка печати конверта
- 273 Печать на открытках; окно настройки драйвера принтера.
- 275 Просмотр на экране подготовленного к печати материала
- 276 Настройка размера бумаги (специальный размер бумаги); Задайте специальный размер бумаги в приложениях.
- 277 Задайте специальный размера бумаги.
- 279 Редактирование и печать документа
- 280 Выполнение печати; Повторная печать из журнала печати; Отображение журнала печати
- 282 Вкладка «Главная»; Возможности настройки
- 283 Установка уровня «Качество печати» (Другое)
- 285 Печать цветного документа в черно-белом варианте
- 286 Указание режима корректировки цвета
- 288 Оптимальная фотопечать графических данных; Настройка цветов; Настройка цветов с помощью драйвера принтера
- 291 Печать с использованием ICC-профилей
- 292 Перед печатью задайте ICC-профиль с помощью драйвера принтера
- 293 Выполните настройку других пунктов.
- 294 Настройка цветового баланса
- 297 Установка печати образца
- 300 Настройка яркости
- 302 Настройка интенсивности
- 304 Настройка контрастности
- 308 Настройка интенсивности/контраста
- 310 Общие сведения о драйвере принтера
- 311 Драйвер принтера Canon IJ; Типы драйвера принтера
- 312 Выберите название модели используемого принтера и щелкните; В меню; в отображаемом меню.
- 313 Вкладка «Обслуживание»
- 314 Монитор состояния Canon IJ; Запуск монитора состояния Canon IJ; Сведения о состоянии; Когда происходят ошибки
- 315 При необходимости щелкните пункт; Данные о чернилах; Данные о чернилах
- 317 Удаление ненужного задания печати; Отобразите монитор состояния Canon IJ.; Очистить очередь печати
- 318 Инструкции по эксплуатации (Драйвер принтера); Ограничения, связанные с драйвером принтера
- 319 Замечания о приложениях с ограничениями
- 322 Удаление ненужных драйверов MP Drivers; Запустите программу удаления.
- 323 Перед установкой MP Drivers; Проверка состояния устройства; Проверка параметров персонального компьютера
- 324 Установка MP Drivers; Разрешить; Установите драйверы MP Drivers.; Завершено
- 327 Загрузите фотобумагу.; Режим автосохранения
- 328 Печать с флэш-диска USB; Печатать фотографии; При необходимости задайте значения параметров.
- 329 Цветной; Добавление задания печати
- 331 Настраиваемые параметры
- 332 Использование полезных режимов отображения; Изменение способа отображения
- 333 Формы шаблонов для печати; Линованная бумага; Миллиметровка; Контрольная таблица
- 334 Печать форм шаблонов
- 340 Использование веб-службы; Авторские права и права на публичное использование; Печать из сайта для обмена фотографиями:
- 342 Печать фотографий из фотоальбома в Интернете
- 343 Кнопками
- 345 Загрузка и печать форм шаблонов
- 347 Параметры для веб-службы; Регистрация учетной записи на сайте для обмена фотографиями
- 348 Сброс параметров веб-службы
- 350 Печать с помощью Google Cloud Print; Подготовка к печати с помощью Google Cloud Print
- 351 Получение учетной записи Google; Регистрация устройства в Google Cloud Print
- 352 Параметры облака
- 354 Отправка данных печати с помощью службы Google Cloud Print; Выполните печать с компьютера или смартфона.
- 355 Запустить печать из облака; Запустить; Печать из Google Cloud Print; С помощью кнопок
- 357 Подключите PictBridge-совместимый аппарат к устройству.; Задайте параметры печати, такие как тип бумаги и макет.
- 358 Начните печать с PictBridge-совместимого устройства.
- 359 Обычная
- 362 Фото
- 363 Запустите печать с мобильного телефона.; О передаваемых данных
- 369 Установка на принтер и снятие с принтера; Установка модуля Bluetooth на принтер; Снятие модуля Bluetooth с принтера
- 372 Зарегистрируйте принтер для печати через Bluetooth.
- 375 Проверка имени принтера как устройства; Откройте экран; Выбор имени устройства
- 376 Графический ЖК-дисплей; Проверьте имя устройства.
- 377 Регистрация принтера; В ОС Windows 7 или Windows Vista:
- 383 Выберите пункты из панели; В ОС Windows Vista или Windows XP:
- 385 Подсоедините модуль Bluetooth.; Откройте диалоговое окно свойств принтера.
- 386 Задайте нужные параметры.
- 388 Выведите на ЖК-дисплей экран; phone print settings); Начните печать с Bluetooth-совместимого устройства.
- 392 Изменить пароль; Canon; Включить
- 396 Создание копий; Стандартная; Просмотр; для цветного копирования или кнопку; Черный
- 397 Добавление задачи копирования (Резервировать копию)
- 399 Экран параметров печати; Стандартная копия
- 401 Макет; Разобрать
- 402 Уменьшение или увеличение копии
- 403 МИН; Такой же размер
- 404 Двухстороннее копирование
- 405 При помещении оригинала на стекло рабочей поверхности:
- 407 О других функциях копирования; Копия без полей
- 408 Копирование двух страниц по размеру одной страницы
- 414 Копирование толстых оригиналов, таких как книги
- 420 для цветной печати или кнопку
- 426 Другие полезные функции факсимильной связи
- 427 Отправка факсов с компьютера
- 428 Подготовка к работе с факсом; Настройка устройства; Режим приоритета телефона; Установка основных параметров передачи факсов
- 429 Основное подключение
- 430 Для пользователей в Великобритании:; Подключение различных линий; Подключение к Интернет-телефону; Тип телефонной линии; Подключение к xDSL
- 431 Подключение к линии ISDN
- 432 Импульсный набор
- 436 Удобный прием; DRPD
- 437 О сведениях об отправителе; Установка даты и времени
- 441 Имя аппарата; Телефонный аппарат
- 445 Кнопка; предназначена для передачи в цвете, а кнопка; При загрузке документа в УАПД:; При загрузке документа на стекло рабочей поверхности:
- 446 Автоповтор набора; Стоп; Повторный набор номера вручную
- 448 Отправка факсов с использованием полезных функций
- 451 Отправка факса с помощью функции быстрого набора; Кодированный набор
- 456 Укажите номера факсов/телефонов получателей один за другим.
- 458 Предотвращение ошибок при передаче факсов
- 460 Использование функции набора без снятия трубки
- 464 Прямой ввод
- 465 Введите имя получателя.; Имя
- 466 Введите номер факса или телефона получателя.; Чтобы завершить регистрацию, нажмите кнопку
- 468 Зарегистрируйте членов.; Член
- 471 Изменение информации регистрации
- 472 Удаление зарегистрированных сведений
- 474 Об утилите быстрого набора
- 475 Запуск Утилиты быстрого набора; Устройство подключено к компьютеру правильно.; Параметры быстрого; Параметры и обслуживание устройства (Device
- 476 Диалоговое окно «Утилита быстрого набора»; Утилита быстрого набора; Регистрация тел. номера; Список зарегистрированных сведений; Выбрать все
- 477 Инструкции; Выход
- 478 Запустите Утилиту быстрого набора.; Выберите устройство из списка; Сохранить
- 479 Выбор между отдельным номером и группой; Зарегистрировать групповой набор
- 483 Удалить
- 484 Информация о пользователе; Имя пользователя
- 485 Отклоняемые номера; Список
- 487 Удаление Утилиты быстрого набора; Удалите Утилиту быстрого набора.; при запросе подтверждения.
- 489 Подготовка к приему факса; Прием факса
- 491 Если выбран параметр DRPD или Сетевой коммутатор (Network switch):
- 492 При выполнении голосового вызова:; Для DRPD; Для сетевого коммутатора
- 493 Изменение параметров бумаги; Нажмите левую кнопку; ФАКС - параметры бумаги; нажмите кнопку
- 495 Режим только факса; Сетевой коммутатор
- 497 Режим принятия памяти; Устройство настроено на сохранение принятых факсов в памяти:; На устройстве произошла ошибка:
- 499 Прием факсов с использованием полезных функций
- 500 Ожидание обработки документа
- 501 ВЫКЛ
- 502 Дополнительные парам. факса
- 503 Отклонение получения факса
- 504 Регистрация отклоняемых номеров
- 507 для завершения определения условий отклонения.; Зарегистрировать отклоняемые номера?
- 509 Использование линии тонального набора; Набор с помощью телефона, подключенного к аппарату
- 512 Передача/прием факсов с использованием ECM
- 513 Оставшегося количества чернил недостаточно для печати факса.
- 518 Удаление указанного в памяти устройства документа
- 523 Тип отчетов и списков
- 524 Печать отчета или списка
- 527 Ошибки при получении факса; Отклонение получаемого факса
- 531 Нажмите; Отправить
- 532 Выполните переход из меню; указанным далее образом:
- 533 В диалоговом окне; Адресная книга; нажмите; Создать
- 534 Контакт; Список рассылки
- 535 Введите номер факса на вкладке; Домашний; Служебный; и нажмите; ОК
- 537 Изменение получателей в адресной книге
- 538 Удаление получателей из адресной книги
- 540 Поиск получателя в адресной книге (драйвер факса)
- 541 Введите имя искомого получателя в поле; Поиск по получателю; диалогового окна; Выбор получателя из адресной книги; Задать как получателя
- 542 Check 3: Правильно ли установлен тип телефонной линии?; Check 5: Правильно ли введен номер факса/телефона получателя?
- 543 Check 8: Правильно ли подключена телефонная линия?
- 548 Сканирование с компьютера
- 549 Сканирование с панели управления устройства
- 550 Основные
- 551 Возможности программного обеспечения IJ Scan Utility; Удобное сканирование для определенной цели; Автоматическое сохранение отсканированных изображений; Интеграция с приложениями
- 553 Запуск программы IJ Scan Utility
- 554 Убедитесь, что сканер или принтер включен.; Запустите программу IJ Scan Utility.
- 555 Сканирование фотографий
- 556 Сканирование документов; Документ
- 557 Сканирование с избранными настройками; Поместите объект на рабочую поверхность.; Другое
- 558 Совмещение; Совмещение изображений; Выбор размера на выходе
- 559 Убедитесь, что выбрано значение; Сканирование слева; Направление сканирования; Запустить сканирование изображения 1
- 560 Запустить сканирование изображения 2
- 561 Настройте отсканированные изображения по своему усмотрению.; Настройка рамок обрезки; Сохранение
- 563 С использованием функции автоматического сканирования; Без использования функции автоматического сканирования; Автоматическое сканирование; Поместите исходные документы на рабочую поверхность.; Настраиваемое сканирование
- 564 Выберите значение параметра; Выберите источник; соответствии с исходными сканируемыми документами.
- 566 Разместите документы в УАПД.; Сканирование документа
- 567 соответствии с документами, которые будут сканироваться.
- 570 Сохранение после проверки результатов сканирования; Сканирование фотографии; Проверить результаты сканирования
- 571 Сохранить параметры; Мои документы
- 576 Извлечение текста из отсканированных изображений (OCR); ScanGear
- 579 Экраны программы IJ Scan Utility
- 583 Параметры (Сохранить на
- 590 Параметры приложения
- 606 Не запускать сторонние приложения (Do not start any application); Место сохранения; Выбор приложения; Выбор целевой папки
- 607 Автоматически
- 612 Параметры обработки изображения (Image Processing Settings)
- 615 Вложить в электронное письмо (фотография)
- 624 (1) Кнопки операций предварительного просмотра
- 626 Окно «Совмещение изображений»; Выбор размера на выходе (Select Output Size)
- 628 Область просмотра эскизов; Если изображения не сканировались
- 631 Назначение программы ScanGear (драйвера сканера); Возможности данного программного обеспечения; Расширенный режим
- 633 Запуск программы ScanGear (драйвер сканера); Сканирование документов после простой коррекции изображения; настройки цвета
- 634 Запуск из программы My Image Garden; Запустите приложение My Image Garden.; Запуск из приложения; Запустите приложение.
- 635 Задайте значение параметра; Выбор источника
- 636 Укажите; Место назначения; Установите нужный; Формат вывода
- 637 Настройте должным образом параметры в группе; Коррекция изображения; Состояние окна ScanGear после сканирования; Сканировать
- 638 Сканирование в расширенном режиме; Щелкните вкладку; Настройка ввода; соответствии с видом документа или целью.
- 639 Задайте
- 640 УАПД двухстороннее – настройки вывода документов
- 642 соответствии с документом, помещенным на планшет.
- 643 Настройте нужную рамку обрезки и выберите; Выберите изображения, которые требуется отсканировать.
- 644 После предварительного просмотра изображений щелкните; Инверсия пропорций; Настраиваемый; Настройте рамки обрезки.
- 647 Настройка яркости и цветового тона изображения
- 648 Уменьшение просвечивания; Функция повышения четкости лиц, оказавшихся немного не в фокусе; Скрыть нечеткость; Устранение градаций и полос; Убрать растр
- 650 Настройка цветов с помощью цветного образца
- 651 Желтый; Цветной образец
- 652 Настройка насыщенности и баланса цвета; Насыщенность; Баланс цвета
- 654 Настройка яркости и контрастности; Канал; Оттенки серого
- 655 Яркость; Контрастность
- 656 Настройка гистограммы; Чтение гистограмм
- 657 Настройка гистограмм (с использованием регулятора); Перемещение регуляторов черной и белой точек; Изображения, большая часть данных в которых приходится на тени; Перемещение регулятора средней точки
- 658 Настройка гистограмм (с использованием пипеток); Баланс серого
- 659 Настройка кривой тона; Чтение кривых тона
- 662 Настройка порогового значения
- 663 Окна программы ScanGear (драйвера сканера)
- 665 OCR
- 668 Панель инструментов; В режиме эскиза
- 669 Область предварительного просмотра; Когда
- 670 Когда значок
- 671 Добавление/Удаление любимых настроек
- 683 Параметры изображения
- 687 Кнопки настройки цветов; Сопоставление цветов; Параметры цвета
- 691 Вкладка Сканер
- 693 Вкладка Просмотр; Просмотр при запуске ScanGear (Preview at Start of ScanGear)
- 694 Формат обрезания для просмотра эскизов
- 697 Вкладка Параметры цвета
- 699 Размещение исходных документов (рабочая поверхность); Для фотографий, открыток, визиток и дисков
- 700 Сжать отсканированные
- 701 Откройте лоток для документов
- 702 Исходная рамка обрезки; Виды рамок обрезки
- 703 Настройка рамки обрезки; Создание нескольких рамок обрезки
- 704 Удаление рамок обрезки
- 705 Ограничения драйвера сканера; Приложения с ограничениями на использование
- 709 Настройка разрешения
- 711 Форматы данных
- 712 Сканер; Монитор
- 714 Экран окна параметров сканирования с ПК; Сканеры; Экран «Параметры сканирования с панели управления»; Параметры сканирования с панели управления
- 716 Удалите программу IJ Network Scanner Selector EX.
- 718 Сканирование с помощью WIA-драйвера; Разместите исходный документ на рабочей поверхности или в УАПД.; Файл; раздела; Факсы и
- 720 Щелкните пункт; Со сканера или камеры; Настроить качество сканированного изображения; и настройте параметры по своему усмотрению.
- 723 Далее; и выполняйте появляющиеся на экране
- 728 СКАНИРОВАТЬ
- 729 Выберите тип документа с помощью кнопки
- 730 Нажмите правую кнопку; для настройки необходимых; для цветного сканирования или кнопку; При загрузке оригинала в УАПД:
- 731 При отображении экрана выбора программы:; Если используется Windows 7 или Windows Vista:
- 735 Сохранить на флэш-диск USB
- 738 Удаление данных сканирования с флэш-диска USB; Удалить отсканиров. данные
- 740 Формат
- 742 Выбор сканера или принтера; Убедитесь, что программа IJ Network Scanner Selector EX активна.
- 743 Выберите сканер или принтер в разделе; Настройка сканирования с помощью программы IJ Scan Utility; Название продукта
- 746 Вернитесь на экран «Параметры сканирования с ПК» и нажмите кнопку
- 747 Выберите режим сканирования на вкладке
- 748 Укажите коррекцию изображения в меню; Варианты сканирования; Укажите имя файла и другие параметры в меню
- 751 Поиск каждой функции
- 753 Проблемы с печатью
- 757 Проблемы с устройством
- 758 Проблемы при установке или загрузке
- 759 Об отображаемых ошибках и сообщениях
- 760 Питание устройства не включается
- 761 Проверка 6. Правильно настройте порт принтера.; Войдите в систему с полномочиями администратора.
- 762 Порты; для настройки порта.; Проверка 7. Объем данных для печати слишком велик?
- 767 Чернила не подаются; Проверка 2. Правильно ли установлен картридж FINE?
- 768 Замятие бумаги; Если на ЖК-дисплее отображается код поддержки и сообщение:
- 770 Не удается отправить факс; Проверка 3: Не переполнена ли память устройства?
- 771 Проверка 8: Не возникла ли ошибка при передаче?; Проверка 9: Правильно ли загружен документ?; Проверка 11: Правильно ли подключена телефонная линия?; Частое возникновение ошибок при отправке факсов; Проверка: Проверьте состояние телефонной линии или соединения.
- 772 Нач. скорость передачи
- 773 Проблемы с получением факсов; Не удается принять факс, не удается распечатать факс; Проверка 2: Заполнена ли память устройства?
- 775 Плохое качество принятых факсов
- 776 Проверка 5: Вы проверили параметры бумаги и качества печати?; Не удается принять факс в цвете; Проверка 1: Проверьте состояние телефонной линии или соединения.
- 780 Проверка 2. Если не установлены MP Drivers, установите MP Drivers.
- 781 Включить поддержку двусторонней связи
- 782 Низкая скорость печати
- 783 Проверка 1. Подтвердите параметры точки доступа.; Открытая система
- 784 Не удается обнаружить устройство в сети
- 785 Настроить подключение к сети по USB; Проверить параметры принтеров
- 786 Повторно определить
- 788 Включен ли параметр беспроводной сети устройства?; К началу
- 789 Подключено ли устройство к точке доступа?
- 791 Проверьте параметры точки доступа.
- 792 Подключен ли кабель LAN, и включены ли устройство и маршрутизатор?
- 794 Включен ли параметр проводной сети устройства?
- 795 Подключено ли устройство к маршрутизатору?
- 797 Проверьте параметры маршрутизатора.
- 801 Другие проблемы с сетью
- 802 При использовании протокола WEP
- 803 Ввод пароля; Подключение к устройству по беспроводной сети без; Отображается сообщение «; Подключение к устройству по
- 805 Проверка информации о сети; Проверка информации о сетевых параметрах
- 806 Пакеты отправляются устойчиво; Выключить Canon IJ Network Scanner Selector EX
- 807 Сброс настроек сети
- 814 Проверка 1. Включена ли автоматическая двухсторонняя печать?
- 815 Копирование/Печать прерывается, не завершившись
- 816 Сбои при печати с устройства беспроводной связи; Проверка. Возможна ли печать через соединение Bluetooth?
- 820 Не удается напечатать задание до конца; Проверка 2. Объем данных для печати слишком большой?
- 821 Часть страницы не печатается; Печатать с уменьшением
- 823 Белые полосы; Проверка 1. Вы проверили параметры бумаги и качества печати?; Проверка 5. Правильно ли установлен картридж FINE?
- 824 При копировании см. также следующие разделы:
- 825 Неверные цвета; Проверка 1. Правильно ли напечатан образец для проверки сопел?; Проверка 3. Правильно ли установлен картридж FINE?
- 826 Линии не выровнены; Проверка 2. Выполните выравнивание печатающих головок.
- 827 Линия не печатается или печатается частично
- 828 Изображение не печатается или печатается частично
- 830 Бумага испачкана/Отпечатанная поверхность поцарапана; Бумага испачкана; Углы бумаги пачкаются; Отпечатанная поверхность поцарапана; Для обычной бумаги
- 832 Проверка 9. Загрязнена ли внутренняя часть устройства?
- 834 Обратная сторона бумаги испачкана
- 835 Проверка. Правильный ли размер загруженной бумаги?
- 836 Цвета передаются неравномерно
- 837 Проверка 3. Выполните выравнивание печатающих головок.
- 841 Сканер не работает
- 842 Программа ScanGear (драйвер сканера) не запускается; Проверка 2. Выберите сканер или принтер в меню приложения.
- 843 Проверка 6. Выберите сканер или принтер в меню приложения.
- 846 Низкая скорость сканирования
- 847 Появляется сообщение «Недостаточно памяти.»; Проверка 1. Закройте другие приложения и повторите попытку.
- 848 Компьютер перестает работать во время сканирования
- 849 Сканер не работает после обновления Windows
- 850 Отсканированное изображение не открывается
- 851 Неудовлетворительные результаты сканирования
- 852 Проверка 4. Проверьте качество цветопередачи монитора.
- 853 Проверка 5. Очистите рабочую поверхность и крышку сканера.
- 854 Белые области вокруг отсканированного изображения
- 856 При сканировании с панели управления
- 858 Проверка 1. Измените параметры отображения в приложении.
- 869 Не удается отправить четкий факс; Проверка 1: Правильно ли загружен документ?
- 870 Проблемы с телефоном; Не удается набор; Проверка 1: Правильно ли подключен кабель телефонной линии?; Телефон отключается во время вызова
- 875 Текст на ЖК-дисплее не виден; Если все индикаторы на панели управления выключены:; Если на панели управления светится какой-либо индикатор:
- 876 Непонятный язык сообщений на ЖК-дисплее
- 877 Не отображается окно монитора состояния принтера; Проверка. Включен ли монитор состояния принтера?; щелкните; Сведения о; Включить Монитор состояния
- 879 Проверка 1. Установка драйверов MP Drivers.; Компьютер с ОС Windows 7 (кроме компьютеров Toshiba с ОС Windows 7)
- 881 Проверка 1. Готовность модуля Bluetooth к использованию.
- 885 В открывшемся окне дважды щелкните значок; Дисковод
- 886 Принтер не обнаружен.; В других случаях сделайте следующее.
- 887 Canon Easy-WebPrint EX; Canon Easy-WebPrint EX; Canon Easy-WebPrint EX
- 888 Процедура обновления MP Drivers в сетевом окружении
- 889 Удаление программы IJ Network Tool; Удалите программу IJ Network Tool.
- 896 Inkjet Printer/Scanner/Fax Extended Survey Program; На ЖК-дисплее отображается сообщение; Данные поддерж. типов не сохранены. (Data of supported types are not
- 898 Выводится ошибка автоматической двухсторонней печати; Не удается правильно выполнить печать при; Ошибка записи/Ошибка вывода/Ошибка подключения
- 900 Другие сообщения об ошибках; Если Вы согласны принять участие в программе опроса:; Если Вы не согласны принять участие в программе опроса:
- 901 Изменение настройки экрана подтверждения
- 902 Продолжить
- 904 Если не удается устранить неполадку
- 905 Код поддержки появляется на ЖК-дисплее и экране компьютера
- 906 Список кодов поддержки (при замятии бумаги)
- 914 Замятие оригинала в УАПД:
- 916 Выключите устройство и отсоедините устройство от электросети.; Убедитесь, что под держателем картриджа FINE нет замятой бумаги.
- 918 Закройте крышку лотка приема бумаги и загрузите бумагу повторно.
- 919 В других случаях
- 920 Причина