МФУ Canon PIXMA MX455 - инструкция пользователя по применению, эксплуатации и установке на русском языке. Мы надеемся, она поможет вам решить возникшие у вас вопросы при эксплуатации техники.
Если остались вопросы, задайте их в комментариях после инструкции.
"Загружаем инструкцию", означает, что нужно подождать пока файл загрузится и можно будет его читать онлайн. Некоторые инструкции очень большие и время их появления зависит от вашей скорости интернета.

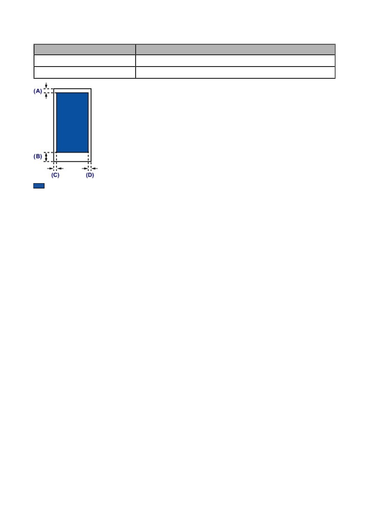
Конверты
Размер
Рекомендуемая область печати (ширина x высота)
European DL/Конверт European DL
98,8 x 179,5 мм (3,88 x 7,06 дюйма)
Станд. конверт №10 (США)
93,5 x 200,8 мм (3,68 x 7,90 дюйма)
Рекомендуемая область печати
(A)
8,0 мм (0,31 дюйма)
(B)
32,5 мм (1,28 дюйма)
(C)
5,6 мм (0,22 дюйма)
(D)
5,6 мм (0,22 дюйма)
57
Содержание
- 3 Обозначения, используемые в настоящем документе; Основное руководство
- 4 Товарные знаки и лицензии
- 5 Рекомендации по поиску; Поиск функций
- 6 Поиск ссылочных страниц
- 7 Окно, используемое при пояснении операций
- 8 Обзор устройства
- 14 Полезные функции устройства; Простая печать фотографий с помощью приложения; Простое упорядочение изображений
- 15 Загрузка различного содержимого; CREATIVE PARK; Простая загрузка отсканированных изображений на веб-ресурсы
- 17 Интеграция с онлайновой службой для ведения заметок; Параметры
- 18 Проверка окружающей среды; Печать с помощью AirPrint
- 19 В параметрах меню легко коснитесь элемента; Печать; В разделе; выберите используемую модель.; Параметры принтера
- 20 Проверка состояния печати; Домашняя страница
- 21 Удаление задания печати; AirPrint Устранение неполадок; Убедитесь, что в устройстве достаточно бумаги и чернил.
- 27 Вид сзади; модуль подачи; разъем кабеля питания; разъем для внешних устройств
- 28 Вид внутренних частей; фиксирующий рычаг картриджа
- 29 Цифровые кнопки
- 30 Примечание
- 31 Об электропитании устройства
- 32 ПИТАНИЕ; ВКЛ
- 33 Включение питания устройства; Аварийный сигнал; Выключение питания устройства; Нажмите кнопку; для выключения устройства.
- 35 Уведомление о штепселе шнура питания или шнуре питания
- 36 Отключите кабель питания.
- 37 ЖК-дисплей и панель управления; Выбор меню или элемента настройки
- 38 Переключение режима ввода; Ввод цифр, букв и символов
- 42 Осторожно откройте переднюю крышку и выдвиньте упор для бумаги.
- 44 После загрузки бумаги
- 45 Загрузка конвертов; Подготовьте конверты.
- 47 Откройте лоток приема бумаги.; После загрузки конвертов
- 48 Подходящие типы носителей; Типы носителей; Обычная бумага (включая вторичную бумагу); Подлинная бумага Canon; Размеры страницы
- 49 Нестандартные размеры:; Вес бумаги; Примечания по хранению бумаги
- 50 Предел загрузки бумаги; Стандартные типы бумаги; Бумага для печати рабочих документов:
- 51 Параметры типа носителя на панели управления; Бумага для печати фотографий:
- 52 Типы носителей, непригодные для использования
- 54 Печать без полей
- 55 Размер
- 57 Конверты
- 58 Загрузка оригиналов
- 60 Загрузка оригиналов на стекло рабочей поверхности; Загрузите оригиналы на стекло рабочей поверхности.; Осторожно закройте крышку сканера.
- 62 Загрузите документ в УАПД.; Регулировка звука
- 64 Загрузка оригиналов для каждой функции; Размещение оригинала и совмещение его с меткой выравнивания; С помощью программы на компьютере,; В режиме сканирования:
- 66 стекло рабочей поверхности; УАПД
- 69 Отключение флэш-диска USB
- 71 Процедура замены; Оперирование картриджами FINE; Убедитесь, что питание включено, откройте переднюю крышку
- 72 Откройте крышку лотка приема бумаги; Извлеките пустой картридж FINE.
- 73 Извлеките картридж FINE.; Приготовьте новый картридж FINE.
- 74 Установите картридж FINE.
- 75 Закройте крышку лотка приема бумаги
- 77 Убедитесь, что питание включено, и нажмите кнопку; С помощью кнопок и выберите пункт
- 80 Процедура обслуживания; Перед выполнением технического обслуживания; При размытой или неровной печати:; Оцените шаблон для проверки сопел.
- 81 Замените картридж FINE.
- 82 Печать образца для проверки сопел; Меню настройки
- 83 Оценка образца для проверки сопел; Проверьте образец на наличие недостающих линий; Если в образце есть пропущенные полосы; Если в образце имеются горизонтальные белые полосы
- 85 Глубокая чистка печатающей головки
- 86 Настройка; OK
- 87 При появлении сообщения; Да; и нажав кнопку; головки на стекле рабочей поверхности.
- 88 Осторожно закройте крышку сканера, затем нажмите кнопку; Цветной; или; Черный
- 89 Обслуживание с компьютера
- 90 Очистка печатающих головок с компьютера; Очистка
- 91 Связанные разделы
- 92 Очистка подающих роликов с компьютера; Очистка роликов
- 93 Выравнивание печатающей головки
- 94 Выравнивание печатающих головок (Print Head Alignment)
- 95 В запросе подтверждения нажмите кнопку; Проверьте напечатанный шаблон.
- 97 Запуск выравнивания; Напечатать значение выравнивания
- 98 Проверка сопел
- 99 Очистка внутренних компонентов устройства; Откройте окно настройки драйвера принтера.; на вкладке; Чистка поддона; Вставьте бумагу в устройство.; Выполнить
- 100 Очистка устройства
- 101 Очистка наружной поверхности устройства
- 102 Очистка стекла рабочей поверхности и крышки сканера
- 103 Очистка УАПД (устройства автоматической подачи документов); Откройте лоток для документов.
- 105 Очистка подающего ролика
- 106 Очистка внутренних компонентов устройства (очистка поддона)
- 108 Нужно приготовить: хлопчатобумажный тампон
- 111 Изменение параметров печати; Измените значения отдельных параметров.; Страница
- 112 Регистрация профиля часто используемой конфигурации печати; Сохранение конфигурации печати
- 113 Удаление ненужных конфигураций печати; Выберите конфигурацию печати для удаления.
- 114 Параметры картриджа (Ink Cartridge Settings); Параметры картриджа; Выберите используемый картридж FINE.
- 115 Управление питанием устройства; Отключение питания
- 116 Уменьшение издаваемого устройством шума; Параметры бесшумного режима (Quiet Settings); Параметры бесшумного режима; Установите бесшумный режим.
- 117 Изменение режима работы устройства; Специальные; При необходимости настройте следующие параметры.
- 121 Параметры факса
- 125 ВЫК
- 132 Сброс настройки
- 137 Подключение устройства к компьютеру с помощью USB-кабеля
- 138 Определение принтеров с одинаковым именем во время настройки
- 139 Изменить метод подключения
- 142 О передаче данных по сети
- 144 IJ Network Tool; Запуск программы IJ Network Tool; Пуск
- 145 Изменение параметров на вкладке «Беспроводная сеть»
- 146 Использовать WPA
- 148 Авто; Открытая; Общий ключ; Использовать по умолчанию
- 149 Имя порта; Сведения о WPA; Сведения о WPA2; Подтверждение типа проверки
- 150 Готово
- 152 Изменение параметров на вкладке «Проводная сеть»; Проводная сеть; Проводная сеть; Переданные параметры
- 153 Изменение параметров на вкладке «Пароль администратора»; Пароль администратора; Использовать пароль администратора
- 154 Мониторинг состояния беспроводной локальной сети; Запустите программу IJ Network Tool.; Выберите принтер в разделе; в меню; Вид; Состояние; Измерение производительности подключения
- 155 Общая производительность сети:
- 156 Инициализировать
- 157 Просмотр измененных параметров; Конфигурация; Подтверждение
- 158 Экраны для сетевого подключения программы IJ Network Tool
- 159 Экран программы Canon IJ Network Tool; Canon IJ Network Tool; Элементы экрана Canon IJ Network Tool
- 160 Меню программы Canon IJ Network Tool
- 162 Экран «Конфигурация»
- 163 Беспроводная сеть
- 165 Найденные точки доступа:; Задать
- 166 Экран «Сведения о WEP»; Проверка подлинности:
- 167 Экран «Сведения о WPA»; Тип проверки подлинности:; Подтверждение типа проверки подлинности
- 168 Экран «Сведения о WPA2»
- 169 Экран «Подтверждение типа проверки подлинности»; PSK; PSK
- 170 Тип динамического шифрования
- 171 Экран «Подтверждение информации настройки»
- 173 Вкладка «Пароль администратора»; Подтверждение пароля:
- 174 Экран «Сведения о сети»; Сведения о сети; Копировать все сведения
- 175 Вкладка «Управление доступом»; Управление доступом; Тип управления доступом к принтеру:
- 178 Добавить доступный MAC-адрес
- 180 Другие экраны программы IJ Network Tool
- 184 Состояние устройства:
- 185 Экран «Измерение производительности подключения»
- 187 Экран «Обслуживание»; Инициализация параметров
- 188 Сетевая настройка гнезда карты памяти; Обновить; Компьютер
- 189 Отмена
- 190 Экран «Связывание с портом»
- 193 Подключение слота карты памяти в качестве сетевого диска
- 194 Ограничения на использование слота карты памяти в сети; Доступ
- 195 Нет драйвера; Связывание с портом
- 196 О технических терминах; AES
- 197 Bonjour
- 198 ASCII; LPR
- 199 SSID
- 200 WPA
- 201 Ограничения
- 202 О брандмауэре; Предосторожности при включенной функции брандмауэра; Получить IP-адрес автоматически
- 203 Рекомендации по обеспечению оптимального качества печати
- 204 Полезные сведения о чернилах; Используются ли цветные чернила при черно-белой печати?
- 205 Что нужно проверить для успешного выполнения печати; Перед запуском печати проверьте состояние устройства!; В порядке ли печатающая головка?; Не испачканы ли чернилами внутренние части устройства?; Проверьте, правильно ли вставлена бумага!; Правильно ли ориентирована бумага при загрузке?; Не скручена ли бумага?
- 206 Обязательно задайте параметры бумаги после ее загрузки
- 207 Отмена задания печати
- 208 Рекомендации по обеспечению стабильного качества печати; Периодически выполняйте печать!
- 209 Меры предосторожности при транспортировке устройства; При отправке устройства в ремонт; Выключите устройство.; не горит, а затем отключите устройство от; Закройте переднюю крышку.
- 211 Технические характеристики; Общие технические характеристики; Технические характеристики операций копирования
- 213 Технические характеристики сети; Минимальные требования к системе
- 214 Mac OS; Операционная система; Дисковод; Дисплей; Печать с мобильных устройств; Apple AirPrint
- 219 О системе связи Bluetooth
- 220 Копирование
- 222 Выберите часто используемый профиль.
- 224 Вкладка «Быстрая установка»; Быстрая установка
- 227 Настройка «Размер стр.» и «Ориентация»; Откройте; Ориентация
- 228 Настройка количества копий и порядка печати страниц
- 230 Настройка поля для переплета; Сторона переплета
- 232 Выполнение печати без полей; Настройка параметра «Печать без полей»; Проверьте размер бумаги.
- 233 Настройте степень расширения для бумаги.; Чтобы увеличить печатаемую часть документа
- 234 Главная; Предварительный просмотр
- 235 Печать по размеру бумаги
- 237 Печать с масштабированием; Масштабирование; Выберите размер бумаги для документа.; • Выбор значения параметра Размер бумаги (Printer Paper Size)
- 238 • Указание коэффициента масштабирования.; Масштаб
- 239 Печать на развороте
- 241 Печать в виде плитки/постера; Настройка печати в виде плитки/постера; Макет страницы; Выберите размер бумаги.; Размер бумаги
- 242 Установите разбивку изображения и страницы для печати.; Печать только указанных страниц; Установите диапазон печати.
- 244 Печать буклета
- 246 Двухсторонняя печать
- 248 Печать штампа и фона; Фон; Штамп; Фон; Печать штампа; Штамп
- 249 Установите параметры штампа.; Печать фона; Установите параметры фона.
- 250 Без полей; Вставить
- 251 Сохранение нового штампа
- 254 Задание нового фона
- 257 Настройка печати конверта
- 259 Печать на открытках; окно настройки драйвера принтера.
- 261 Просмотр на экране подготовленного к печати материала
- 262 Настройка размера бумаги (специальный размер бумаги); Задайте специальный размер бумаги в приложениях.
- 263 Задайте специальный размера бумаги.
- 265 Редактирование и печать документа
- 266 Повторная печать из журнала печати; Отображение журнала печати
- 268 Вкладка «Главная»; Возможности настройки
- 269 Установка уровня «Качество печати» (Другое)
- 271 Печать цветного документа в черно-белом варианте
- 272 Указание режима корректировки цвета
- 274 Оптимальная фотопечать графических данных; Настройка цветов; Настройка цветов с помощью драйвера принтера
- 277 Печать с использованием ICC-профилей
- 278 Перед печатью задайте ICC-профиль с помощью драйвера принтера
- 279 Выполните настройку других пунктов.
- 280 Настройка цветового баланса
- 283 Установка печати образца
- 286 Настройка яркости
- 288 Настройка интенсивности
- 290 Настройка контрастности
- 294 Настройка интенсивности/контраста
- 296 Общие сведения о драйвере принтера
- 297 Драйвер принтера Canon IJ; Типы драйвера принтера
- 298 Выберите название модели используемого принтера и щелкните; В меню; в отображаемом меню.
- 299 Вкладка «Обслуживание»
- 300 Монитор состояния Canon IJ; Запуск монитора состояния Canon IJ; Сведения о состоянии; Когда происходят ошибки
- 301 Проверка уровня чернил с компьютера; При необходимости щелкните пункт; Данные о чернилах; Данные о чернилах
- 303 Удаление ненужного задания печати; Отобразите монитор состояния Canon IJ.; Очистить очередь печати
- 304 Инструкции по эксплуатации (Драйвер принтера); Ограничения, связанные с драйвером принтера
- 305 Замечания о приложениях с ограничениями
- 308 Удаление ненужных драйверов MP Drivers; Запустите программу удаления.
- 309 Перед установкой MP Drivers; Проверка состояния устройства; Проверка параметров персонального компьютера
- 310 Установка MP Drivers; Разрешить; Установите драйверы MP Drivers.; Завершено
- 312 Формы шаблонов для печати; Линованная бумага; Миллиметровка; Миллиметровка 1; Контрольная таблица; Нотная бумага 1
- 313 Печать форм шаблонов
- 316 Прикрепите дополнительный модуль Bluetooth BU-30.; Запустите печать с мобильного телефона.
- 317 О передаваемых данных
- 323 Установка на принтер и снятие с принтера; Установка модуля Bluetooth на принтер; Снятие модуля Bluetooth с принтера
- 326 Зарегистрируйте принтер для печати через Bluetooth.
- 329 Проверка имени принтера как устройства; Откройте экран; Параметры Bluetooth; Выберите; Выбор имени устройства
- 330 Графический ЖК-дисплей; Проверьте имя устройства.
- 331 Регистрация принтера; В ОС Windows 7 или Windows Vista:
- 337 Выберите пункты из панели; В ОС Windows Vista или Windows XP:
- 339 Подсоедините модуль Bluetooth.; Откройте диалоговое окно свойств принтера.
- 340 Задайте нужные параметры.
- 342 Выведите на ЖК-дисплей экран; phone print settings); Начните печать с Bluetooth-совместимого устройства.
- 346 Изменить пароль; Canon; Включить
- 350 Создание копий; КОПИРОВАТЬ; Подтвердите размер страницы и увеличение.; Меню; для цветного копирования или кнопку; Стоп
- 351 Добавление задачи копирования (Резервировать копию)
- 353 Стандартное
- 355 О меню Спец. копирование
- 356 Копирование двух страниц по размеру одной страницы; Меню копирования
- 357 Переполнение
- 360 Копирование толстых оригиналов, таких как книги
- 362 Копирование без полей
- 363 для цветного копирования или
- 364 Копирование с сортировкой
- 365 Переполнение памяти
- 371 Другие полезные функции факсимильной связи
- 372 Отправка факсов с компьютера
- 373 Подготовка к работе с факсом; Настройка устройства; Режим только факса; Установка основных параметров передачи факсов
- 374 Основное подключение
- 375 Для пользователей в Великобритании:; Подключение различных линий; Подключение к Интернет-телефону; Подключение к xDSL
- 376 Подключение к линии ISDN
- 377 Импульсный набор
- 380 Удобный прием; DRPD; Сетевой; Входящий звонок; Режим
- 381 О сведениях об отправителе; Позиция TTI; Установка даты и времени
- 386 ФАКС
- 387 Кнопка; предназначена для передачи в цвете, а кнопка
- 388 При загрузке документа в УАПД:; При загрузке документа на стекло рабочей поверхности:
- 389 Автоповтор набора; Повторный набор номера вручную
- 391 Отправка факсов с использованием полезных функций
- 394 Отправка факса с помощью функции набора из памяти; Меню ФАКС; С помощью кнопки
- 398 Укажите номера факсов/телефонов получателей один за другим.
- 400 Предотвращение ошибок при передаче факсов
- 402 Использование функции набора без снятия трубки
- 407 Убедитесь, что отображается элемент; Имя; , затем нажмите кнопку; С помощью цифровых кнопок введите имя получателя.
- 408 Чтобы завершить регистрацию, нажмите кнопку
- 410 Тон; С помощью цифровых кнопок введите имя группы.
- 411 Изменение информации регистрации
- 413 Удаление зарегистрированных сведений
- 415 Об утилите быстрого набора
- 416 Запуск Утилиты быстрого набора; Устройство подключено к компьютеру правильно.; Параметры быстрого; Параметры и обслуживание устройства (Device
- 417 Диалоговое окно «Утилита быстрого набора»; Утилита быстрого набора; Регистрация тел. номера; Список зарегистрированных сведений; Выбрать все
- 418 Инструкции; Выход
- 419 Запустите Утилиту быстрого набора.; Выберите устройство из списка; Выберите пункт; Сохранить
- 420 Выбор между отдельным номером и группой; Зарегистрировать групповой набор
- 424 Удалить
- 425 Информация о пользователе; Имя пользователя
- 426 Отклоняемые номера; Список
- 428 Удаление Утилиты быстрого набора; Удалите Утилиту быстрого набора.; при запросе подтверждения.
- 430 Подготовка к приему факса; При выполнении факсимильного вызова:
- 432 Если выбран параметр DRPD или Сетевой коммутатор (Network switch):
- 433 Поднимите трубку и ответьте на вызов.; Для DRPD; Для сетевого коммутатора
- 434 Изменение параметров бумаги
- 435 , чтобы вернуться на экран режима ожидания
- 436 Сетевой коммутатор
- 438 Режим принятия памяти; Устройство настроено на сохранение принятых факсов в памяти:; На устройстве произошла ошибка:
- 440 Прием факсов с использованием полезных функций
- 442 ВЫКЛ
- 443 приема
- 444 Отклонение получения факса; Прием отклонен; Регистрация отклоняемых номеров
- 446 Отклонить
- 448 Использование линии тонального набора; Набор с помощью функции набора без снятия трубки; Набор с помощью телефона, подключенного к аппарату
- 449 Использование линии импульсного набора
- 450 Передача/прием факсов с использованием ECM
- 451 Оставшегося количества чернил недостаточно для печати факса.
- 455 Удаление указанного в памяти устройства документа
- 460 Тип отчетов и списков; Отчет о работе; Обращение к памяти
- 461 Печать отчета или списка
- 463 Ошибки при получении факса
- 464 Контроль за
- 468 Нажмите; Отправить
- 469 Выполните переход из меню; указанным далее образом:
- 470 В диалоговом окне; Адресная книга; нажмите; Создать
- 471 Контакт; Список рассылки
- 472 Введите номер факса на вкладке; Домашний; Служебный; и нажмите; ОК
- 474 Изменение получателей в адресной книге
- 475 Удаление получателей из адресной книги
- 477 Поиск получателя в адресной книге (драйвер факса)
- 478 Введите имя искомого получателя в поле; Поиск по получателю; диалогового окна; Выбор получателя из адресной книги; Задать как получателя
- 479 Check 3: Правильно ли установлен тип телефонной линии?; Check 5: Правильно ли введен номер факса/телефона получателя?
- 480 Check 8: Правильно ли подключена телефонная линия?
- 485 Сканирование с компьютера
- 487 Основные
- 488 Возможности программного обеспечения IJ Scan Utility; Удобное сканирование для определенной цели; Автоматическое сохранение отсканированных изображений; Интеграция с приложениями
- 490 Запуск программы IJ Scan Utility
- 491 Убедитесь, что сканер или принтер включен.; Запустите программу IJ Scan Utility.
- 492 Сканирование фотографий; Фото
- 493 Сканирование документов; Документ
- 494 Сканирование с избранными настройками; Поместите объект на рабочую поверхность.; Другое
- 495 Совмещение; Совмещение изображений; Выбор размера на выходе
- 496 Убедитесь, что выбрано значение; Сканирование слева; параметра; Направление сканирования; Запустить сканирование изображения 1
- 497 Запустить сканирование изображения 2
- 498 Настройте отсканированные изображения по своему усмотрению.; Настройка рамок обрезки; Сохранение
- 500 С использованием функции автоматического сканирования; Без использования функции автоматического сканирования; Автоматическое сканирование; Поместите исходные документы на рабочую поверхность.; Настраиваемое сканирование
- 501 Выберите значение параметра; Выберите источник; соответствии с исходными сканируемыми документами.
- 503 Разместите документы в УАПД.; Сканирование документа
- 504 соответствии с документами, которые будут сканироваться.
- 507 Сохранение после проверки результатов сканирования; Сканирование фотографии; Проверить результаты сканирования
- 508 Сохранить параметры; Мои документы
- 513 Извлечение текста из отсканированных изображений (OCR); ScanGear
- 516 Экраны программы IJ Scan Utility
- 519 Параметры (Сохранить на
- 527 Параметры приложения
- 543 Не запускать сторонние приложения (Do not start any application); Место сохранения; Выбор приложения; Выбор целевой папки
- 544 Автоматически
- 547 Параметры обработки изображения (Image Processing Settings)
- 549 (Document Scan Orientation
- 557 (1) Кнопки операций предварительного просмотра
- 559 Окно «Совмещение изображений»; Выбор размера на выходе (Select Output Size)
- 561 Область просмотра эскизов; Если изображения не сканировались
- 564 Назначение программы ScanGear (драйвера сканера); Возможности данного программного обеспечения; Расширенный режим
- 566 Запуск программы ScanGear (драйвер сканера); Сканирование документов после простой коррекции изображения; настройки цвета
- 567 Запуск из программы My Image Garden; Запустите приложение My Image Garden.; Запуск из приложения; Запустите приложение.
- 568 Задайте значение параметра; Выбор источника
- 569 Просмотр; Укажите; Место назначения; Установите нужный; Формат вывода
- 570 Настройте должным образом параметры в группе; Коррекция изображения; Состояние окна ScanGear после сканирования; Сканировать
- 571 Сканирование в расширенном режиме; Щелкните вкладку; Настройка ввода; соответствии с видом документа или целью.
- 572 Задайте
- 573 УАПД двухстороннее – настройки вывода документов
- 575 соответствии с документом, помещенным на планшет.
- 576 Настройте нужную рамку обрезки и выберите; Выберите изображения, которые требуется отсканировать.
- 577 После предварительного просмотра изображений щелкните; Инверсия пропорций; Настраиваемый; Настройте рамки обрезки.
- 580 Настройка яркости и цветового тона изображения
- 581 Уменьшение просвечивания; Функция повышения четкости лиц, оказавшихся немного не в фокусе; Скрыть нечеткость; Устранение градаций и полос; Убрать растр
- 583 Настройка цветов с помощью цветного образца
- 584 Желтый; Цветной образец
- 585 Настройка насыщенности и баланса цвета; Насыщенность; Баланс цвета
- 587 Настройка яркости и контрастности; Канал; Оттенки серого
- 588 Яркость; Контрастность
- 589 Настройка гистограммы; Чтение гистограмм
- 590 Настройка гистограмм (с использованием регулятора); Перемещение регуляторов черной и белой точек; Изображения, большая часть данных в которых приходится на тени; Перемещение регулятора средней точки
- 591 Настройка гистограмм (с использованием пипеток); Баланс серого
- 592 Настройка кривой тона; Чтение кривых тона
- 595 Настройка порогового значения
- 596 Окна программы ScanGear (драйвера сканера)
- 598 OCR
- 601 Панель инструментов; В режиме эскиза
- 602 Область предварительного просмотра; Когда
- 603 Когда значок
- 604 Добавление/Удаление любимых настроек
- 616 Параметры изображения
- 620 Кнопки настройки цветов; Сопоставление цветов; Параметры цвета
- 624 Вкладка Сканер
- 626 Вкладка Просмотр; Просмотр при запуске ScanGear (Preview at Start of ScanGear)
- 627 Формат обрезания для просмотра эскизов
- 630 Вкладка Параметры цвета
- 632 Размещение исходных документов (рабочая поверхность); Для фотографий, открыток, визиток и дисков
- 633 Сжать отсканированные
- 634 Откройте лоток для документов
- 635 Исходная рамка обрезки; Виды рамок обрезки
- 636 Настройка рамки обрезки; Создание нескольких рамок обрезки
- 637 Удаление рамок обрезки
- 638 Ограничения драйвера сканера; Приложения с ограничениями на использование
- 642 Настройка разрешения
- 644 Форматы данных
- 645 Сканер; Монитор
- 647 Экран окна параметров сканирования с ПК; Сканеры; Экран «Параметры сканирования с панели управления»; Параметры сканирования с панели управления
- 649 Удалите программу IJ Network Scanner Selector EX.
- 651 Сканирование с помощью WIA-драйвера; Разместите исходный документ на рабочей поверхности или в УАПД.; Файл; Факсы и
- 653 Щелкните пункт; Со сканера или камеры; Настроить качество сканированного изображения; и настройте параметры по своему усмотрению.
- 656 Далее; и выполняйте появляющиеся на экране
- 661 СКАНИРОВАТЬ; Сохранить на
- 663 для цветного сканирования или кнопку; При загрузке оригинала в УАПД:
- 664 При отображении экрана выбора программы:; Если используется Windows 7 или Windows Vista:
- 668 Legal
- 670 Выбор сканера или принтера; Убедитесь, что программа IJ Network Scanner Selector EX активна.
- 671 Выберите сканер или принтер в разделе; Настройка сканирования с помощью программы IJ Scan Utility; Название продукта
- 674 Вернитесь на экран «Параметры сканирования с ПК» и нажмите кнопку
- 675 Выберите режим сканирования на вкладке
- 676 Укажите коррекцию изображения в меню; Варианты сканирования; Укажите имя файла и другие параметры в меню
- 679 Поиск каждой функции
- 681 Проблемы с печатью
- 685 Проблемы с устройством
- 686 Проблемы при установке или загрузке
- 688 Питание устройства не включается
- 689 Проверка 6. Правильно настройте порт принтера.; Войдите в систему с полномочиями администратора.
- 690 Порты; для настройки порта.; Проверка 7. Объем данных для печати слишком велик?
- 694 Чернила не подаются; Проверка 2. Правильно ли установлен картридж FINE?
- 695 Замятие бумаги; Если на ЖК-дисплее отображается код поддержки и сообщение:
- 697 Не удается отправить факс; Проверка 3. Не переполнена ли память устройства?
- 698 Проверка 8. Не возникла ли ошибка при передаче?; Проверка 9. Правильно ли загружен документ?; Проверка 11. Правильно ли подключена телефонная линия?; Частое возникновение ошибок при отправке факсов; Проверка. Проверьте состояние телефонной линии или соединения.
- 699 Скорость передачи; факса
- 700 Проблемы с получением факсов; Не удается принять факс, не удается распечатать факс; Проверка 2. Заполнена ли память устройства?
- 702 Плохое качество принятых факсов
- 703 Проверка 5. Вы проверили параметры бумаги и качества печати?; Не удается принять факс в цвете; Проверка 1. Проверьте состояние телефонной линии или соединения.
- 707 Проверка 2. Если не установлены MP Drivers, установите MP Drivers.
- 708 Включить поддержку двусторонней связи
- 709 Низкая скорость печати
- 710 Проверка 1. Подтвердите параметры точки доступа.; Открытая система
- 714 win; DrvSetup; Driver
- 715 Проверьте параметры точки доступа.
- 718 Другие проблемы с сетью
- 719 При использовании протокола WEP
- 720 Ввод пароля; Подключение к устройству по беспроводной сети без; Отображается сообщение «; Подключение к устройству по
- 722 Проверка информации о сети; Проверка информации о сетевых параметрах
- 723 Пакеты отправляются устойчиво; Выключить Canon IJ Network Scanner Selector EX
- 731 Копирование/Печать прерывается, не завершившись
- 732 Сбои при печати с устройства беспроводной связи; Проверка. Возможна ли печать через соединение Bluetooth?
- 735 Не удается напечатать задание до конца; Проверка 2. Объем данных для печати слишком большой?
- 737 Белые полосы; Проверка 1. Вы проверили параметры бумаги и качества печати?; Проверка 5. Правильно ли установлен картридж FINE?
- 738 При копировании см. также следующие разделы:
- 739 Неверные цвета; Проверка 1. Правильно ли напечатан образец для проверки сопел?; Проверка 3. Правильно ли установлен картридж FINE?
- 740 Линии не выровнены; Проверка 2. Выполните выравнивание печатающих головок.
- 741 Линия не печатается или печатается частично
- 742 Изображение не печатается или печатается частично
- 744 Бумага испачкана/Отпечатанная поверхность поцарапана; Бумага испачкана; Углы бумаги пачкаются; Отпечатанная поверхность поцарапана; Для обычной бумаги
- 746 Проверка 9. Загрязнена ли внутренняя часть устройства?
- 748 Обратная сторона бумаги испачкана
- 749 Проверка. Правильный ли размер загруженной бумаги?
- 750 Цвета передаются неравномерно
- 751 Проверка 3. Выполните выравнивание печатающих головок.
- 755 Сканер не работает
- 756 Программа ScanGear (драйвер сканера) не запускается; Проверка 2. Выберите сканер или принтер в меню приложения.
- 757 Проверка 6. Выберите сканер или принтер в меню приложения.
- 760 Низкая скорость сканирования
- 761 Появляется сообщение «Недостаточно памяти.»; Проверка 1. Закройте другие приложения и повторите попытку.
- 762 Компьютер перестает работать во время сканирования
- 763 Сканер не работает после обновления Windows
- 764 Отсканированное изображение не открывается
- 765 Неудовлетворительные результаты сканирования
- 766 Проверка 4. Проверьте качество цветопередачи монитора.
- 767 Проверка 5. Очистите рабочую поверхность и крышку сканера.
- 768 Белые области вокруг отсканированного изображения
- 770 При сканировании с панели управления
- 772 Проверка 1. Измените параметры отображения в приложении.
- 774 Ничего
- 778 Скорость
- 783 Не удается отправить четкий факс; Проверка 1. Правильно ли загружен документ?
- 784 Проблемы с телефоном; Не удается набор; Проверка 1. Правильно ли подключен кабель телефонной линии?; Телефон отключается во время вызова
- 789 Текст на ЖК-дисплее не виден
- 790 Непонятный язык сообщений на ЖК-дисплее
- 791 Не отображается окно монитора состояния принтера; Проверка. Включен ли монитор состояния принтера?; щелкните; Сведения о; Включить Монитор состояния; меню
- 793 Проверка 1. Установка драйверов MP Drivers.
- 794 Проверьте возможность использования модуля Bluetooth.
- 795 Проверка 1. Готовность модуля Bluetooth к использованию.
- 799 В открывшемся окне дважды щелкните значок; дисковода
- 800 Принтер не обнаружен.; В других случаях сделайте следующее.
- 801 WebPrint EX; EX; Canon Easy-WebPrint EX; Canon Easy-WebPrint EX
- 802 Процедура обновления MP Drivers в сетевом окружении; with wireless LAN connection)
- 803 Удаление программы IJ Network Tool; Удалите программу IJ Network Tool.
- 810 Inkjet Printer/Scanner/Fax Extended Survey Program; На ЖК-дисплее отображается сообщение
- 811 Ошибка записи/Ошибка вывода/Ошибка подключения
- 813 Другие сообщения об ошибках; Если Вы согласны принять участие в программе опроса:
- 815 Если не удается устранить неполадку
- 816 Код поддержки появляется на ЖК-дисплее и экране компьютера
- 817 Список кодов поддержки (при замятии бумаги)
- 822 Замятие оригинала в УАПД:
- 824 Выключите устройство и отсоедините устройство от электросети.; Убедитесь, что под держателем картриджа FINE нет замятой бумаги.
- 826 Закройте крышку лотка приема бумаги и загрузите бумагу повторно.
- 827 В других случаях
- 828 Причина


