LG 43LM6370PLA - Инструкция по эксплуатации

LG 43LM6370PLA

Телевизоры LG 43LM6370PLA - инструкция пользователя по применению, эксплуатации и установке на русском языке. Мы надеемся, она поможет вам решить возникшие у вас вопросы при эксплуатации техники.

Если остались дополнительные вопросы — свяжитесь с нами через контактную форму.

1 Страница 1
2 Страница 2
3 Страница 3
4 Страница 4
5 Страница 5
6 Страница 6
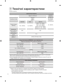
7 Страница 7
8 Страница 8
9 Страница 9
10 Страница 10
11 Страница 11
12 Страница 12
13 Страница 13
14 Страница 14
15 Страница 15
16 Страница 16
17 Страница 17
18 Страница 18
19 Страница 19
20 Страница 20
Страница: / 20
Загрузка инструкции

УК

РАЇНСЬК

А

LED TV*

Правила безпеки та довідкова інформація

ПОСІБНИК КОРИСТУВАЧА

Уважно прочитайте цей посібник, перш ніж вмикати пристрій,

і збережіть посібник для отримання необхідної інформації у

майбутньому.

www.lg.com

Copyright © 2021 LG Electronics Inc. Усі права захищено.

* У LED-телевізорі LG встановлено рідкокристалічний дисплей зі світлодіодним підсвічуванням.

"Загрузка инструкции" означает, что нужно подождать пока файл загрузится и можно будет его читать онлайн. Некоторые инструкции очень большие и время их появления зависит от вашей скорости интернета.

Характеристики

Другие модели - Телевизоры LG

Все телевизоры LG