Страница 19 - ЭКОЛОГИЧЕСКАЯ УПАКОВКА
19 РУССКИЙ ПАСПОРТ ТЕХНИЧЕСКОГО ИЗДЕЛИЯ Электрические духовые шкафы ПЕРЕД ПЕРВЫМ ИСПОЛЬЗОВАНИЕМ ПРИБОРА Внимательно изучите данную ин - струкцию — это позволит Вам обеспе - чить максимальную эффективность при использовании духового шкафа. После изготовления и сборки при - бора на его деталях могут с...
Страница 20 - Обеспечение безопасности
20 ПАСПОРТ ТЕХНИЧЕСКОГО ИЗДЕЛИЯ РУССКИЙ Электрические духовые шкафы стей. Выполнение ремонта иными ли - цами может привести к повреждению прибора и нарушению его работы, а кроме того к созданию опасных для вас ситуаций. Â В случае возникновения неис - правности отсоедините духовой шкаф от сети питан...
Страница 21 - ПРЕДУПРЕЖДЕНИЕ
21 РУССКИЙ ПАСПОРТ ТЕХНИЧЕСКОГО ИЗДЕЛИЯ Электрические духовые шкафы Â Не допускайте попадания воды на дно камеры работающего духового шкафа, так как это может привести к повреждению эмали. Чтобы умень - шить потребление электроэнергии, при использовании духового шкафа старайтесь как можно реже откры...
Страница 23 - УПРАВЛЕНИЕ ПРИБОРОМ; ОПИСАНИЕ ВЫПОЛНЯЕМЫХ
23 РУССКИЙ ПАСПОРТ ТЕХНИЧЕСКОГО ИЗДЕЛИЯ Электрические духовые шкафы РУКОВОДСТВО ПО ЭКСПЛУАТАЦИИ 1. УПРАВЛЕНИЕ ПРИБОРОМ Поворотно-нажимная ручка управления Управление данным прибором осуществляется с помощью поворотно- нажимной ручки управления. Операции, выполняемые с поворотно-нажимной ручкой управ...
Страница 24 - Настройка текущего времени; Настройка выдачи звукового; нажмите и
24 ПАСПОРТ ТЕХНИЧЕСКОГО ИЗДЕЛИЯ РУССКИЙ Электрические духовые шкафы 2.2. Настройка текущего времени Индикация при настройке текущего времени Нажимать ручку до тех пор, пока не начнет мигать символ часов. Это означает, что прибор перешел в режим настройки текущего времени (часов). Настройка текущего ...
Страница 25 - Настройка времени начала; Настройка времени окончания
25 РУССКИЙ ПАСПОРТ ТЕХНИЧЕСКОГО ИЗДЕЛИЯ Электрические духовые шкафы 2.4. Настройка времени начала приготовления Индикация при настройке времени начала приготовления Нажать несколько раз ручку, пока не начнет мигать символ времени начала приготовления. Это означает, что прибор перешел в режим настрой...
Страница 26 - Настройка отсрочки процесса; Ручной режим
26 ПАСПОРТ ТЕХНИЧЕСКОГО ИЗДЕЛИЯ РУССКИЙ Электрические духовые шкафы 2.6. Настройка отсрочки процесса приготовления Индикация при настройке отсрочки процесса приготовления Этот режим приготовления используется в тех случаях, когда требуется начать процесс приготовления через некоторое времени, и зате...
Страница 27 - Отключение подачи звукового
27 РУССКИЙ ПАСПОРТ ТЕХНИЧЕСКОГО ИЗДЕЛИЯ Электрические духовые шкафы 2.8. Отключение подачи звукового сигнала При завершении заданного времени приготовления или наступлении заданного времени выдачи звукового сигнала включается звуковой сигнал. Чтобы отключить звуковой сигнал, нажмите ручку. Если нажа...
Страница 29 - Нижний нагревательный; О работе духовки в любом из ре
29 РУССКИЙ ПАСПОРТ ТЕХНИЧЕСКОГО ИЗДЕЛИЯ Электрические духовые шкафы Макси-Гриль. В этом режиме будет задействован весь нагревательный элемент гриля. Большая мощность позволит значи - тельно уменьшить время приготовле - ния Ваших блюд Макси-Гриль с вентилятором. Позволяет равномерно прожарить большие...
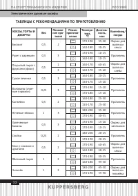
Страница 30 - ТАБЛИЦЫ С РЕКОМЕНДАЦИЯМИ ПО ПРИГОТОВЛЕНИЮ; с помощью режима
30 РУССКИЙ ПАСПОРТ ТЕХНИЧЕСКОГО ИЗДЕЛИЯ Электрические духовые шкафы ТАБЛИЦЫ С РЕКОМЕНДАЦИЯМИ ПО ПРИГОТОВЛЕНИЮ В таблицах с рекомендациями по приготовлению приводятся данные по диапазону используемых температур и примерной длительности приготовле - ния различных продуктов. Режим приготовления зависит...
Страница 34 - Перед проведением любых работ,
34 РУССКИЙ ПАСПОРТ ТЕХНИЧЕСКОГО ИЗДЕЛИЯ Электрические духовые шкафы Ч И С Т К А И О Б С Л УЖ И В А Н И Е Внимание! Перед проведением любых работ, связанных с чисткой или обслужива - нием, прибор должен быть отключен от электросети. Чистка камеры духового шкафа Â Камеру печи следует очищать от остатк...
Страница 35 - Инструкция по снятию
35 ПАСПОРТ ТЕХНИЧЕСКОГО ИЗДЕЛИЯ РУССКИЙ Электрические духовые шкафы 3 Просушить панели и установить их в духовой шкаф. 4 Включить духовой шкаф на один час при температуре 200 °С. Внимание! Для чистки поверхности катали - тических панелей не допускается ис - пользовать обычные чистящие сред - ства ил...
Страница 37 - Чистка дверцы со стеклом
37 ПАСПОРТ ТЕХНИЧЕСКОГО ИЗДЕЛИЯ РУССКИЙ Электрические духовые шкафы Для установки дверцы следует вы - полнить те же операции в обратной последовательности. 4 Для шарниров с клипсами: После открытия дверцы духового шкафа с помощью отвертки макси - мально раскройте клипсы. Удерживая клипсы сбоку рукой...
Страница 38 - Испанская ассоциация нормати
38 РУССКИЙ ПАСПОРТ ТЕХНИЧЕСКОГО ИЗДЕЛИЯ Электрические духовые шкафы ПОИСК И УСТРАНЕНИЕ НЕИСПРАВНОСТЕЙ Духовой шкаф не работает Проверьте подключение к элек - трической сети. Проверьте состояние предохранителей и ограничителя тока. Убедитесь в том, что таймер нахо - дится в ручном или запрограммиро -...
Страница 39 - для выполнения указанных функций; УСТАНОВКА
39 ПАСПОРТ ТЕХНИЧЕСКОГО ИЗДЕЛИЯ РУССКИЙ Электрические духовые шкафы для выполнения указанных функций и достоверность всех данных, указан - ных на этикетке с электрическими ха - рактеристиками. УСТАНОВКА Приведенная в этом разделе инфор - мация предназначена только для ква - лифицированных установщик...
Страница 40 - Установка духового шкафа; Для всех духовых шкафов после подключения к электросети:; Т Е Х Н И Ч Е С К И Й Ч Е Р Т Е Ж
40 РУССКИЙ ПАСПОРТ ТЕХНИЧЕСКОГО ИЗДЕЛИЯ Электрические духовые шкафы Установка духового шкафа Для всех духовых шкафов после подключения к электросети: 1 Вставьте духовой шкаф в мебельный гарнитур, убедившись, что кабель питания не пережат и не соприкасается с верхней частью духового шкафа. 2 Закрепит...
Страница 43 - УС ТА Н О В КА, ГА РА Н Т И Й Н О Е И П О С Т ГА РА Н Т И Й Н О Е О Б С Л УЖ И В А Н И Е; Телефон горячей линии Kuppersberg:; Полный список авторизованных сервисных центров Kuppersberg; УСЛОВИЯ ГАРАНТИИ
43 О О О « КУ П П Е Р С Б Е Р Г - С Е Р В И С » УС ТА Н О В КА, ГА РА Н Т И Й Н О Е И П О С Т ГА РА Н Т И Й Н О Е О Б С Л УЖ И В А Н И Е П О М О С К В Е И М О С КО В С КО Й О Б Л АС Т И « +7 (495) 236-90-67 Телефон горячей линии Kuppersberg: « 8 (800) 250-17-18 (Звонки для всех регионов бесплатные)....