Страница 2 - СОД Е РЖА Н И Е
50 РУКОВОДСТВО ПОЛЬЗОВАТЕЛЯ РУССКИЙ Электрические духовые шкафы СОД Е РЖА Н И Е ПЕРЕД ПЕРВЫМ ИСПОЛЬЗОВАНИЕМ ПРИБОРА ............................................................51 ЭКОЛОГИЧЕСКАЯ УПАКОВКА .................................................................................................5...
Страница 3 - ЭКОЛОГИЧЕСКАЯ УПАКОВКА
51 РУССКИЙ РУКОВОДСТВО ПОЛЬЗОВАТЕЛЯ Электрические духовые шкафы ЭКОЛОГИЧЕСКАЯ УПАКОВКА Детали упаковки изготовлены из полностью перерабатываемых мате - риалов, которые допускают повторное использование. Для получения инфор - мации по утилизации этих материалов обратитесь в местные органы власти. ВНИ...
Страница 4 - ОСНОВНЫЕ ТРЕБОВАНИЯ
52 РУКОВОДСТВО ПОЛЬЗОВАТЕЛЯ РУССКИЙ Электрические духовые шкафы ОСНОВНЫЕ ТРЕБОВАНИЯ БЕЗОПАСНОСТИ Электрическая безопасность Â Ремонт должны выполнять толь - ко специалисты официального сервис - ного центра и только с использованием оригинальных запасных частей. Выпол - нение ремонта иными лицами мож...
Страница 5 - ПРЕДУПРЕЖДЕНИЕ
53 РУССКИЙ РУКОВОДСТВО ПОЛЬЗОВАТЕЛЯ Электрические духовые шкафы го шкафа. Обязательно используйте для этой цели противни или решетки. Â Не допускайте попадания воды на дно камеры работающего духового шкафа, так как это может привести к повреждению эмали. Чтобы уменьшить потребление электроэнергии, п...
Страница 7 - РУ КО В ОДС Т В О П О
55 РУССКИЙ РУКОВОДСТВО ПОЛЬЗОВАТЕЛЯ Электрические духовые шкафы Â нажатие (подтверждение на - стройки и переключение меню), Â нажатие и удерживание (пере - ключение в ручной режим работы), Â поворот по часовой стрелке (на - стройка часов, выдачи звукового сиг - нала, режима приготовления), Â поворот...
Страница 8 - времени; звукового сигнала
56 РУКОВОДСТВО ПОЛЬЗОВАТЕЛЯ РУССКИЙ Электрические духовые шкафы 2.2. Настройка текущего времени Индикация при настройке текущего времени Нажимать ручку до тех пор, пока не начнет мигать символ часов. Это оз - начает, что прибор перешел в режим настройки текущего ремени (часов). Настройка текущего вр...
Страница 9 - окончания; приготовления
57 РУССКИЙ РУКОВОДСТВО ПОЛЬЗОВАТЕЛЯ Электрические духовые шкафы 2.5. Настройка времени окончания Индикация при настройке времени окончания приготовления Нажать несколько раз ручку, пока не начнет мигать символ времени окон - чания приготовления. Это означает, что прибор перешел в режим настройки вре...
Страница 10 - процесса приготовления
58 РУКОВОДСТВО ПОЛЬЗОВАТЕЛЯ РУССКИЙ Электрические духовые шкафы 2.6. Настройка отсрочки процесса приготовления Индикация при настройке отсрочки процесса приготовления Этот режим приготовления исполь - зуется в тех случаях, когда требуется начать процесс приготовления через некоторое времени, и затем...
Страница 11 - Отмена выдачи установленно; Э Л Е КТ Р И Ч Е С К И Е
59 РУССКИЙ РУКОВОДСТВО ПОЛЬЗОВАТЕЛЯ Электрические духовые шкафы 2.8. Отключение подачи звукового сигнала При завершении заданного вре - мени приготовления или наступлении заданного времени выдачи звукового сигнала включается звуковой сигнал. Чтобы отключить звуковой сигнал, нажмите ручку. Если нажат...
Страница 13 - Нижний нагрев с конвекцией.
61 РУССКИЙ РУКОВОДСТВО ПОЛЬЗОВАТЕЛЯ Электрические духовые шкафы Макси-Гриль. В этом режиме будет задействован весь нагревательный элемент гриля. Большая мощность позволит значи - тельно уменьшить время приготовле - ния Ваших блюд Макси-Гриль с конвекцией. Позволяет равномерно прожарить большие куски...
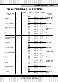
Страница 14 - ТАБЛИЦЫ С РЕКОМЕНДАЦИЯМИ ПО ПРИГОТОВЛЕНИЮ; щью режима
62 РУКОВОДСТВО ПОЛЬЗОВАТЕЛЯ РУССКИЙ Электрические духовые шкафы ТАБЛИЦЫ С РЕКОМЕНДАЦИЯМИ ПО ПРИГОТОВЛЕНИЮ В таблицах с рекомендациями по приготовлению приводятся данные по диапазону используемых температур и примерной длительности приготовления различных продуктов. Режим приготовления зависит от мод...
Страница 19 - Инструкция по снятию
67 РУССКИЙ РУКОВОДСТВО ПОЛЬЗОВАТЕЛЯ Электрические духовые шкафы 3. Просушить панели и установить их в духовой шкаф. 4. Включить духовой шкаф на один час при температуре 200 °С. Внимание! Для очистки поверхности катали - тических панелей не допускается ис - пользовать обычные чистящие сред - ства или...
Страница 21 - Очистка дверцы со стеклом
69 РУССКИЙ РУКОВОДСТВО ПОЛЬЗОВАТЕЛЯ Электрические духовые шкафы Для установки дверцы следует вы - полнить те же операции в обратной последовательности. 4. Для шарниров с клипсами: После открытия дверцы духового шкафа с помощью отвертки макси - мально раскройте клипсы. Удерживая клипсы сбоку рукой, и...
Страница 22 - Испанская ассоциация нормативов
70 РУКОВОДСТВО ПОЛЬЗОВАТЕЛЯ РУССКИЙ Электрические духовые шкафы ПОИСК И УСТРАНЕНИЕ НЕИСПРАВНОСТЕЙ Духовой шкаф не работает Проверьте подключение к элек - трической сети. Проверьте состояние предохранителей и ограничителя тока. Убедитесь в том, что таймер нахо - дится в ручном или запрограммиро - ван...
Страница 23 - Т Е Х Н И Ч Е С К И Й Ч Е Р Т Е Ж
71 РУССКИЙ РУКОВОДСТВО ПОЛЬЗОВАТЕЛЯ Электрические духовые шкафы Т Е Х Н И Ч Е С К И Й Ч Е Р Т Е Ж Обратите Ваше внимание! Также, неисправностями Изделия не являются: Духовки элек - трические и газовые Изменение цвета материалов изделия в процессе эксплу - атацииНезначительные технические запахи в но...
Страница 24 - УСТАНОВКА
72 РУКОВОДСТВО ПОЛЬЗОВАТЕЛЯ РУССКИЙ Электрические духовые шкафы УСТАНОВКА Приведенная в этом разделе инфор - мация предназначена только для ква - лифицированных установщиков обо- рудования, обладающих необходимы - ми знаниями и опытом для выполне - ния сборки и подключения к электро - сети. В случае...
Страница 25 - Установка духового шкафа; Для всех духовых шкафов после подключения к электросети:
73 РУССКИЙ РУКОВОДСТВО ПОЛЬЗОВАТЕЛЯ Электрические духовые шкафы Установка духового шкафа Для всех духовых шкафов после подключения к электросети: 1 Вставьте духовой шкаф в мебельный гарнитур, убедившись, что кабель питания не пережат и не соприкасается с верхней частью духового шкафа. 2 Закрепите ду...
Страница 26 - S E R I A L N U M B E R C H A RT:; Фирма-производитель оставляет за собой право на внесение из
74 РУКОВОДСТВО ПОЛЬЗОВАТЕЛЯ РУССКИЙ Электрические духовые шкафы Месяц: 1 цифра День 1 цифра Год 2 цифры Серийный номер 5 цифр S E R I A L N U M B E R C H A RT: * После цифр последовательность продолжают буквы. (Октябрь: A, Ноябрь: B, Декабрь: С) ** После цифр последовательность продолжают буквы (Смо...
Страница 29 - ГАРАНТИЙНЫЙ СЕРТИФИКАТ
77 Все условия гарантии регулируются действующим Законодательством РФ. Гарантийные обязательства не распространяются на технику с неисправностями, возникшими вследствие нарушения технологических требований, описанных в Инструкции по эксплуатации, в том числе: – нестабильности параметров электросети,...