Страница 19 - ПЕРЕД ПЕРВЫМ
19 русский паспорт технического изделия Электрические духовые шкафы ПЕРЕД ПЕРВЫМ ИсПОлЬЗОВаНИЕМ ПРИбОРа Внимательно изучите данную ин- струкцию — это позволит Вам обеспе- чить максимальную эффективность при использовании духового шкафа. После изготовления и сборки при- бора на его деталях могут сохр...
Страница 20 - Обеспечение безопасности детей
20 паспорт технического изделия русский Электрические духовые шкафы Â В случае возникновения неис- правности отсоедините духовой шкаф от сети питания. Обеспечение безопасности детей Â Не разрешайте детям подходить к работающему духовому шкафу, так как его части могут нагреваться до вы-сокой температ...
Страница 21 - ПРЕДУПРЕЖДЕНИЕ
21 русский паспорт технического изделия Электрические духовые шкафы Â Чтобы охладить духовой шкаф, откройте дверцу, при этом включится вентилятор, который обеспечит воз- душное охлаждение внутреннего про- странства. Â При приготовлении блюд с вы- соким содержанием жидкости на двер- це духового шкафа...
Страница 22 - та Й М Е Р
22 паспорт технического изделия русский Электрические духовые шкафы та Й М Е Р 1. Нажмите кнопку «MODE» пока не начнет мигать индикатор над симво- лом 2. Используя кнопки «+» и «-» уста- новите время, когда Вы хотите, чтобы прозвучал звуковой сигнал. 3. Световой сигнал напомнит Вам, что функция «зву...
Страница 23 - Программирование
23 русский паспорт технического изделия Электрические духовые шкафы 4. Электронные часы высветят теку- щее время. 5. Установите переключатели про- грамм и температуры в необходимые Вам положения. 6. По достижении установленного времени, духовка автоматически вы- ключится. Раздастся звуковой сигнал, ...
Страница 25 - О работе духовки в любом из ре-
25 русский паспорт технического изделия Электрические духовые шкафы традиционный нагрев с вентилятором. Подходит для приготовления жар- кого и пирогов. Благодаря вентилятору проис ходит равномерное распределе- ние нагретого воздуха внутри духовки. гриль и нижний нагревательный элемент. Тепло поступа...
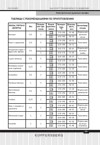
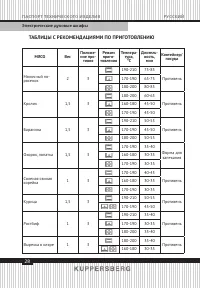
Страница 26 - таблИЦЫ с РЕкОМЕНДаЦИЯМИ ПО ПРИгОтОВлЕНИЮ; или
26 паспорт технического изделия русский Электрические духовые шкафы таблИЦЫ с РЕкОМЕНДаЦИЯМИ ПО ПРИгОтОВлЕНИЮ В таблицах с рекомендациями по приготовлению приводятся данные по диа- пазону используемых температур и примерной длительности приготовления различных продуктов. Режим приготовления зависит ...
Страница 30 - Перед проведением любых работ,
30 паспорт технического изделия русский Электрические духовые шкафы Ч И с т к а И О б с л УЖ И В а Н И Е Внимание! Перед проведением любых работ, связанных с чисткой или обслужива- нием, прибор должен быть отключен от электросети. Чистка камеры духового шкафа Â Камеру печи следует очищать от остатко...
Страница 31 - Инструкция по снятию
31 русский паспорт технического изделия Электрические духовые шкафы 3 Просушить панели и установить их в духовой шкаф. 4 Включить духовой шкаф на один час при температуре 200 °С. Внимание! Для чистки поверхности катали- тических панелей не допускается ис- пользовать обычные чистящие сред- ства или а...
Страница 33 - Чистка дверцы со стеклом
33 русский паспорт технического изделия Электрические духовые шкафы Для установки дверцы следует вы- полнить те же операции в обратной последовательности. 4 Для шарниров с клипсами: После открытия дверцы духового шкафа с помощью отвертки макси- мально раскройте клипсы. Удерживая клипсы сбоку рукой, ...
Страница 34 - Испанская ассоциация нормати-
34 паспорт технического изделия русский Электрические духовые шкафы ПОИск И УстРаНЕНИЕ НЕИсПРаВНОстЕЙ Духовой шкаф не работает Проверьте подключение к элек- трической сети. Проверьте состояние предохранителей и ограничителя тока. Убедитесь в том, что таймер нахо- дится в ручном или запрограммиро- ва...
Страница 35 - для выполнения указанных функций; УстаНОВка
35 русский паспорт технического изделия Электрические духовые шкафы для выполнения указанных функций и достоверность всех данных, указан- ных на этикетке с электрическими ха- рактеристиками. УстаНОВка Приведенная в этом разделе инфор- мация предназначена только для ква- лифицированных установщиков о...
Страница 36 - Установка духового шкафа; Для всех духовых шкафов после подключения к электросети:; т Е Х Н И Ч Е с к И Й Ч Е Р т Е Ж
36 паспорт технического изделия русский Электрические духовые шкафы Установка духового шкафа Для всех духовых шкафов после подключения к электросети: 1 Вставьте духовой шкаф в мебельный гарнитур, убедившись, что кабель питания не пережат и не соприкасается с верхней частью духового шкафа. 2 Закрепит...
Страница 38 - О О О «кУ П П Е Р с б Е Р г-с Е Р В И с»; Ус та Н О В ка, га Ра Н т И Й Н О Е И П О с т га Ра Н т И Й Н О Е О б с л УЖ И В а Н И Е; телефон горячей линии Kuppersberg:; Полный список авторизованных сервисных центров Kuppersberg; УслОВИЯ гаРаНтИИ
38 О О О «кУ П П Е Р с б Е Р г-с Е Р В И с» Ус та Н О В ка, га Ра Н т И Й Н О Е И П О с т га Ра Н т И Й Н О Е О б с л УЖ И В а Н И Е П О М О с к В Е И М О с кО В с кО Й О б л ас т И « +7 (495) 236-90-67 телефон горячей линии Kuppersberg: « 8 (800) 250-17-18 (Звонки для всех регионов бесплатные). >...