Котел Термекс THERMEX Grizzly 5-12 Wi-Fi ЭдЭБ01987 - инструкция пользователя по применению, эксплуатации и установке на русском языке. Мы надеемся, она поможет вам решить возникшие у вас вопросы при эксплуатации техники.
Если остались вопросы, задайте их в комментариях после инструкции.
"Загружаем инструкцию", означает, что нужно подождать пока файл загрузится и можно будет его читать онлайн. Некоторые инструкции очень большие и время их появления зависит от вашей скорости интернета.

24
жается фактическая температура теплоносителя и мигает индикатор антизамер-
зания. Когда прибор зафиксирует температуру на входе более 30°С, режим ан-
тизамерзания деактивируется.
В случае необходимости принудительной деактивации режима защиты от за-
мерзания, полностью отключите подачу электроэнергии для прибора. Затем
возобновите подачу электроэнергии, нажмите кнопку включения/выключения
и установите необходимую температуру с помощью кнопок регулировки.
10.
РАБОТА В СЛУЧАЕ ОТКЛЮЧЕНИЯ ЭЛЕКТРО-
ЭНЕРГИИ
При отключении электроснабжения котел выключится. При возобновлении
подачи электроэнергии котел автоматически включится с сохранением ранее
выбранного режима нагрева. При этом заданные настройки таймеров не сохра-
няются. Настройки автоматизации и таймеров, введенные в мобильном прило-
жении, сохраняются. Если после возобновления подачи электроэнергии котел
не начнет работать, пожалуйста, обратитесь за помощью в ближайший автори-
зованный сервисный центр.
11.
ВЫБЕГ НАСОСА
Выбег насоса – параметр, который определяет периодичность циркуляции
теплоносителя с помощью насоса и помогает получать точные данные о темпе-
ратуре теплоносителя. Выбег насоса работает следующим образом: после окон-
чания нагрева теплоносителя (достижение заданной пользователем темпера-
туры) насос продолжает циркуляцию в течение 10 минут, а затем включается
автоматически каждые 10 минут и осуществляет циркуляцию теплоносителя в
течение 10 минут.
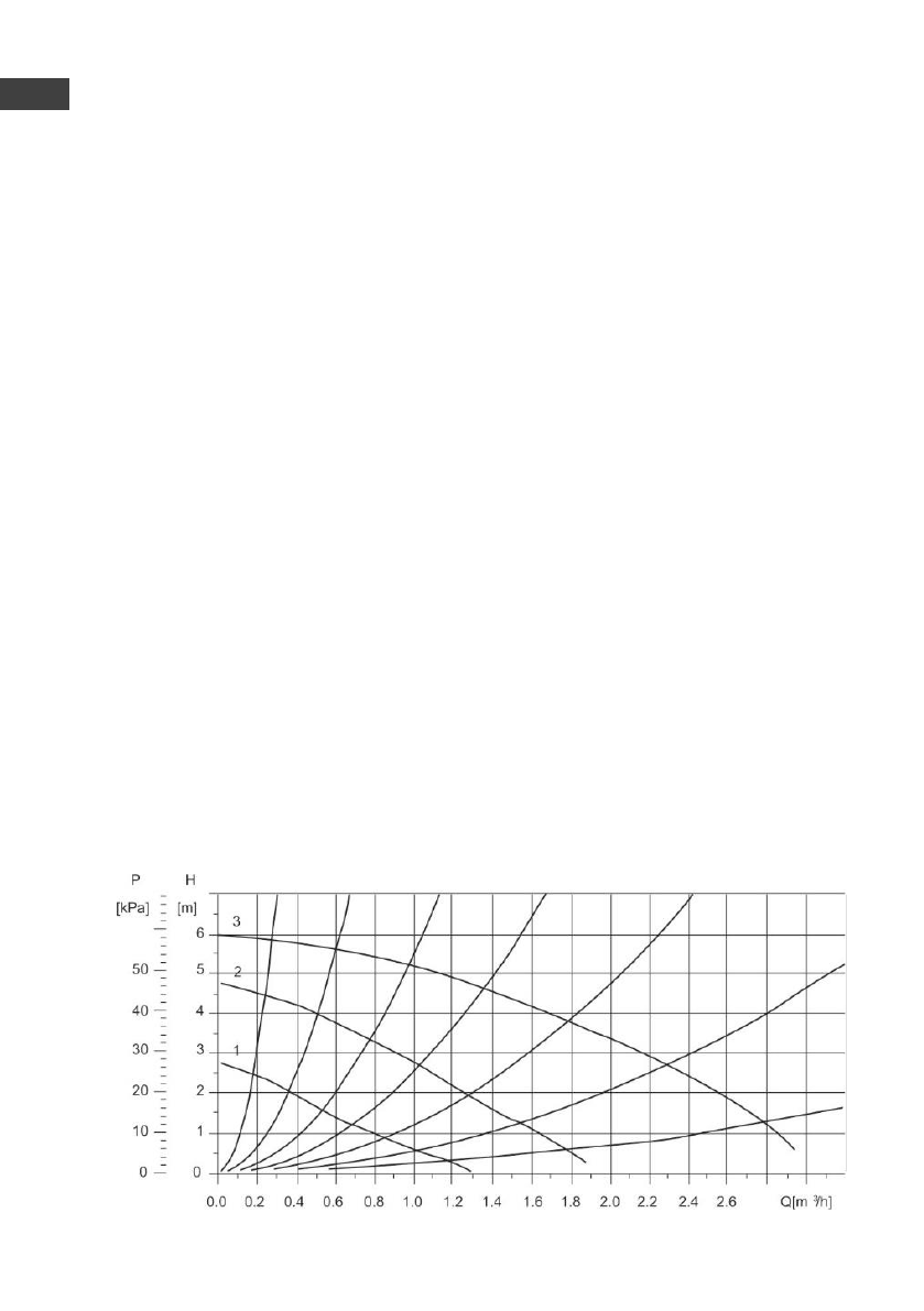
12.
ХАРАКТЕРИСТИКИ ДАВЛЕНИЯ НАСОСА
ыв
RU
Содержание
- 4 УКАЗАНИЕ МЕР БЕЗОПАСНОСТИ; Держать вблизи прибора легко воспламеняемые материалы; RU
- 6 ОСНОВНЫЕ ТЕХНИЧЕСКИЕ ХАРАКТЕРИСТИКИ; Таблица 1; Модель; трехфазном
- 8 отклонении от нормальной работы котла начинает мигать.
- 9 В приборе предусмотрено три режима нагрева: режим «Турбо», режим
- 11 Путем нажатия кнопки выбора режима [Mode] выберите режим «Турбо»; Настройка параметров для режима «Эко»; метра для режима «Эко».; Настройка параметров для режима «Комфорт»; в течение 3 секунд, чтобы войти в состояние настройки параметров.
- 12 Параметр HE - «Тип отопления»
- 13 Желаемая температура теплоносителя в системе отопления уста-; Параметр bn - «Время стабильного нагрева»; : заданная температура нагрева 65 С°, время стабильного нагрева; Настройка таймера; нагрева; Установка Таймера 2:; метра для Таймера 2.; Установка Таймера 1:
- 14 метра для Таймера 1.; Настройка температуры для Таймера 1:
- 17 Прибор должен быть установлен вертикально без наклона.
- 20 А) Снимите лицевую панель
- 23 Зафиксируйте сетевой кабель.
- 24 Рис 12. Трехфазное подключение прибора; Установка лицевой панели; ыв
- 25 Убедитесь, что котел ровно и прочно закреплен на стене.; Ввод в эксплуатацию; Откройте все краны в системе отопления.; ЗАЩИТА ОТ ЗАМЕРЗАНИЯ
- 33 Рис. 18. Ручное восстановление термостатов; Ручное восстановление термостатов; Соблюдая осторожность, демонтируйте лицевую панель.
- 34 ПОИСК И УСТРАНЕНИЕ НЕИСПРАВНОСТЕЙ; Таблица 2; Неисправность
- 39 Представник виробника в Украiнi:
- 40 ОТМЕТКА О ПРОДАЖЕ; Подпись представителя; ОТМЕТКА ОБ УСТАНОВКЕ; (подпись владельца прибора)
- 43 Технология беспроводной; юща я стабильную многопользователь-; Другие товары с удаленным; Отопление; Водоснабжение
- 44 рядом с Карловыми Варами.; Встречай














Добрый день! Скажите пожалуйста, что означает горящий индикатор с изображением крана?
Добрый ночи, подскажите пожалуйста, как сбросить электро котёл до заводских настроек, есть какие либо кнопки для этого?
Заметил, что котёл стал тяжело набирать температуру, выставлен на 10квт комфорт, при работе выяснил, что один тен 3,5квт не включается, напряжение до реле есть, 5квт тена работает процентов на 30-40, попробовал поднять температуру до 60 градусов и перейти на режим турбо и мощность 12 квт, включилось включились все тены на полную, но после достижения заданий температуры, одна стена включаться перестала, и 5квт перестала работать на полную мощность. Раньше я такого не замечал. Консультации сервисные службы не дают, вызывать, ехать далеко, техподдержка не работает, в интернете информации нет.
Нет в инструкции разъяснения чем отличается режим комфорт от режима турбо и эко, при условии одинаковых заданных параметрах, по логике турбо это более быстрый нагрев, эко более медленный, комфорт это что то среднее, а как на самом деле? Хотелось бы понять алгоритм работы.