Котел Beretta POWER PLUS 100S - инструкция пользователя по применению, эксплуатации и установке на русском языке. Мы надеемся, она поможет вам решить возникшие у вас вопросы при эксплуатации техники.
Если остались вопросы, задайте их в комментариях после инструкции.
"Загружаем инструкцию", означает, что нужно подождать пока файл загрузится и можно будет его читать онлайн. Некоторые инструкции очень большие и время их появления зависит от вашей скорости интернета.

Н
Н
А
А
С
С
Т
Т
Е
Е
Н
Н
Н
Н
Ы
Ы
Е
Е
К
К
О
О
Н
Н
Д
Д
Е
Е
Н
Н
С
С
А
А
Ц
Ц
И
И
О
О
Н
Н
Н
Н
Ы
Ы
Е
Е
К
К
О
О
Т
Т
Л
Л
Ы
Ы
P
P
O
O
W
W
E
E
R
R
P
P
L
L
U
U
S
S
6
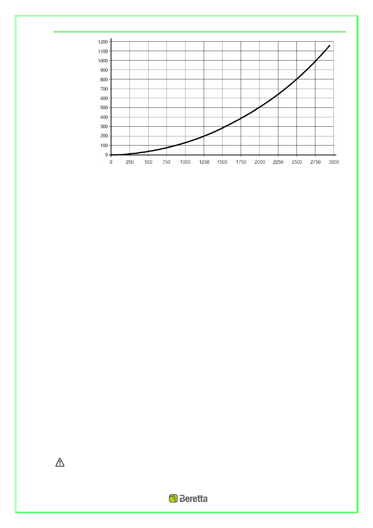
Гидравлическое
соп
роти
вл
ение
(
мба
р
)
Производительность
(
л
/
ч
)
Для
упрощения
процессов
проектирования
и
монтажа
системы
можно
использовать
стандартные
комплекты
циркуляционного
насоса
(
см
.
принадлежности
для
котлов
POWER
PLUS):
-
для
установки
спереди
(
артикул
20009442)
-
для
установки
сзади
(
артикул
20009443)
ТРЕБОВАНИЯ
К
КАЧЕСТВУ
ВОДЫ
И
ЭЛЕМЕНТАМ
СИСТЕМЫ
ТЕПЛОСНАБЖЕНИЯ
Данный
котел
предназначен
для
закрытых
систем
отопления
с
принудительной
циркуляцией
.
Для
обеспечения
длительной
и
эффективной
работы
котла
и
системы
отопления
рекомендуется
выполнять
разводку
системы
отопления
из
полимерной
или
медной
трубы
.
На
входе
воды
из
системы
отопления
в
котел
необходимо
установить
механический
фильтр
(
грязевик
).
В
качестве
приборов
отопления
предпочтительно
использовать
современные
малоинерционные
радиаторы
(
стальные
панельные
,
алюминиевые
,
и
.
т
.
д
.)
В
качестве
теплоносителя
в
системе
отопления
рекомендуется
использовать
воду
.
Качество
используемой
в
системе
отопления
и
ГВС
воды
должно
соответствовать
следующим
параметрам
:
Водородный
показатель
РН
6-8
Жесткость
общая
не
более
4
мг
-
экв
/
л
Содержание
железа
не
более
0,3
мг
/
л
Если
жесткость
исходной
воды
превышает
4
мг
-
экв
/
л
рекомендуется
установить
на
входе
воды
в
котел
полифосфатный
дозатор
,
который
обрабатывает
поступающую
в
котел
воду
,
защищая
теплообменное
оборудование
котла
от
отложения
солей
жесткости
.
Полифосфатный
дозатор
не
входит
в
стандартную
комплектацию
котла
и
поставляется
по
отдельному
заказу
(
артикул
696279
).
Если
жесткость
исходной
воды
превышает
9
мг
-
экв
/
л
следует
использовать
установки
для
умягчения
воды
.
Под
предохранительным
сбросным
клапаном
котла
необходимо
установить
воронку
для
сбора
воды
и
дренажный
трубопровод
на
случай
утечек
воды
при
избыточном
давлении
в
системе
отопления
.
СХЕМА
ОРГАНИЗАЦИИ
СИСТЕМЫ
ТЕПЛОСНАБЖЕНИЯ
Конструкция
котлов
серии
POWER PLUS
подразумевает
возможность
подключения
высокотемпературного
контура
отопления
(80-60
о
С
)
и
/
или
низкотемпературного
контура
отопления
(50-30
о
С
),
а
также
управление
загрузочным
насосом
бойлера
-
аккумулятора
ГВС
.
Ниже
приведены
возможные
схемы
организации
системы
теплоснабжения
.
Следует
учитывать
,
что
при
использовании
низкотемпературного
контура
потребуется
установка
приборов
отопления
с
большей
площадью
теплообмена
,
чем
при
использовании
высокотемпературного
контура
.
Но
при
этом
эффективность
выработки
тепла
(
КПД
)
котлом
будет
выше
.