Котел Beretta EXCLUSIVE 28 CAI - инструкция пользователя по применению, эксплуатации и установке на русском языке. Мы надеемся, она поможет вам решить возникшие у вас вопросы при эксплуатации техники.
Если остались вопросы, задайте их в комментариях после инструкции.
"Загружаем инструкцию", означает, что нужно подождать пока файл загрузится и можно будет его читать онлайн. Некоторые инструкции очень большие и время их появления зависит от вашей скорости интернета.

Н
Н
А
А
С
С
Т
Т
Е
Е
Н
Н
Н
Н
Ы
Ы
Е
Е
Г
Г
А
А
З
З
О
О
В
В
Ы
Ы
Е
Е
К
К
О
О
Т
Т
Л
Л
Ы
Ы
E
E
X
X
C
C
L
L
U
U
S
S
I
I
V
V
E
E
2
РЕЖИМЫ
РАБОТЫ
•
«
ЗИМА
»
Котел
постоянно
работает
в
режиме
отопления
и
при
появлении
запроса
на
нагрев
воды
в
контуре
ГВС
переключается
в
режим
ГВС
.
Активирована
функция
автоматической
регулировки
температуры
теплоносителя
S.A.R.A.
•
«
ЗИМА
КОМФОРТ
»
Котел
постоянно
работает
в
режиме
отопления
и
при
появлении
запроса
на
нагрев
воды
в
контуре
ГВС
переключается
в
режим
ГВС
.
Также
активирована
функции
поддержания
температуры
в
контуре
ГВС
и
функция
S.A.R.A. Booster
.
Данный
режим
имеется
только
в
котлах
Exclusive MIX
с
.s.i.
•
«
ЛЕТО
»
Котел
постоянно
находится
в
ожидании
запроса
на
нагрев
воды
в
контуре
ГВС
(
трехходовой
клапан
находится
в
положении
работы
в
режиме
ГВС
).
При
появлении
запроса
котел
нагревает
воду
для
контура
ГВС
.
Для
котлов
Exclusive MIX r.s.i.
актуален
,
только
если
к
ним
подключен
бойлер
-
аккумулятор
ГВС
.
•
«
ЛЕТО
-
КОМФОРТ
»
Котел
постоянно
находится
в
ожидании
запроса
на
нагрев
воды
в
контуре
ГВС
(
трехходовой
клапан
находится
в
положении
работы
в
режиме
ГВС
).
При
появлении
запроса
котел
нагревает
воду
для
контура
ГВС
.
Активирована
функция
снятия
ограничения
по
температуре
в
контуре
ГВС
.
Данный
режим
имеется
только
в
котлах
Exclusive MIX c.s.i.
•
Выключен
Котел
не
работает
,
но
активированы
функции
контроля
замерзания
теплоносителя
и
блокировки
циркуляционного
насоса
и
трехходового
клапана
.
ФУНКЦИИ
КОНТРОЛЯ
И
УПРАВЛЕНИЯ
•
Контроль
температуры
в
контуре
отопления
и
ГВС
посредством
датчиков
температуры
(NTC).
•
Контроль
давления
в
контуре
отопления
посредством
аналогового
датчика
давления
.
•
Возможность
управления
бойлером
-
аккумулятором
ГВС
(
в
том
числе
,
не
оборудованном
собственным
органом
управления
) (
для
котлов
серии
Exclusive r.s.i.-r.a.i.)
ФУНКЦИИ
КОМФОРТА
И
ЭНЕРГОСБЕРЕЖЕНИЯ
•
Функция
автоматической
регулировки
температуры
теплоносителя
(S.A.R.A.- Sistema Auto
Regolazione Ambienale).
Данная
функция
активируется
при
работе
котла
в
режиме
«
ЗИМА
».
Рекомендуется
использовать
эту
функцию
при
подключенном
регуляторе
комнатной
температуры
.
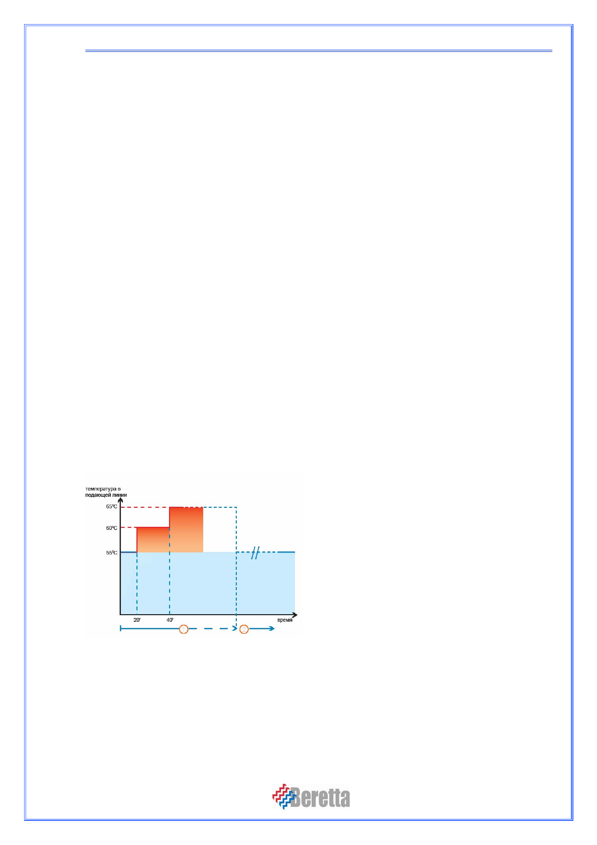
При
установке
регулятора
температуры
воды
в
системе
отопления
на
панели
управления
котла
в
диапазон
от
55
до
65°
С
при
наличие
запроса
от
регулятора
комнатной
температуры
котел
разжигается
и
поддерживает
значение
температуры
теплоносителя
55°
С
.
Если
по
истечении
20
минут
работы
на
этой
температуре
регулятор
комнатной
температуры
не
сработает
(
температура
воздуха
в
помещении
не
достигнет
заданного
на
регуляторе
значения
),
котел
автоматически
увеличит
температуру
теплоносителя
на
5°
С
(
до
60°
С
).
Если
по
истечении
следующих
20
минут
работы
на
этой
температуре
регулятор
комнатной
температуры
не
сработает
,
котел
автоматически
увеличит
температуру
теплоносителя
еще
на
5°
С
(
до
65°
С
).
В
дальнейшем
котел
будет
поддерживать
температуру
теплоносителя
на
уровне
65°
С
до
тех
пор
,
пока
не
сработает
регулятор
комнатной
температуры
.
Срабатывание
регулятора
комнатной
температуры
в
любой
момент
прерывает
цикл
набора
температуры
.
При
появлении
нового
запроса
от
регулятора
комнатной
температуры
котел
установит
температуру
теплоносителя
55°
С
и
начнет
цикл
снова
.
Таким
образом
,
котел
автоматически
определяет
оптимальную
температуру
теплоносителя
для
текущего
момента
,
что
позволяет
получить
дополнительную
экономию
топлива
в
течение
отопительного
периода
.
В
случае
необходимости
данная
функция
может
быть
деактивирована
при
программировании
панели
управления
.
