Котел Beretta CITY 35 C S I - инструкция пользователя по применению, эксплуатации и установке на русском языке. Мы надеемся, она поможет вам решить возникшие у вас вопросы при эксплуатации техники.
Если остались вопросы, задайте их в комментариях после инструкции.
"Загружаем инструкцию", означает, что нужно подождать пока файл загрузится и можно будет его читать онлайн. Некоторые инструкции очень большие и время их появления зависит от вашей скорости интернета.

14
0
1
2
3
4
5
6
7
8
9
10
11
12
13
14
15
16
17
18
19
20
21
22
23
24
25
-
30
-
25
-
20
-
15
-
10
-
5
0
5
10
15
20
УСТАНОВКА
КОНДЕНСАТООТВОДЧИКОВ
При
воздействие
холодного
воздуха
на
внешнюю
поверхность
дымоотвода
внутри
последнего
возможно
образование
конденсата
.
Для
удаления
конденсата
рекомендуется
устанавливать
на
дымоотводе
специальные
устройства
(
конденсатоотводчики
).
Существуют
конденсатоотводчики
для
коаксиальных
дымоотводов
/
воздуховодов
и
для
отдельных
дымоотводов
,
как
для
вертикальной
,
так
и
для
горизонтальной
установки
.
Они
заказываются
отдельно
вместе
с
элементами
дымоотводов
и
воздуховодов
.
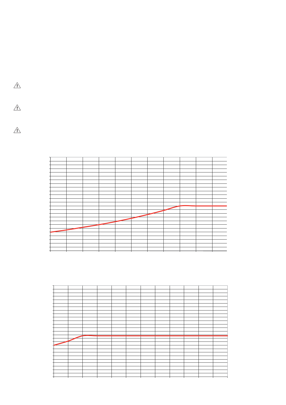
По
графикам
можно
определить
необходимость
установки
конденсатоотводчиков
для
различных
условий
и
систем
дымоудаления
.
В
случае
работы
при
температуре
воды
на
выходе
из
котла
ниже
50°
С
(
например
,
при
использовании
датчика
наружной
температуры
)
требуется
обязательная
установка
конденсатоотводчика
.
Конденсатоотводчик
должен
устанавливаться
на
дымоотводе
в
пределах
0,85
м
от
котла
.
Слив
конденсатоотводчика
необходимо
соединить
с
канализацией
.
Дымоотвод
должен
быть
наклонен
в
сторону
конденсатоотводчика
на
1%.
наружная
температура
(°
С
)
Коаксиальная
система
Ø80
мм
Коаксиальная
система
Ø80/125
мм
наружная
температура
(°
С
)
конденсатоотводчики
не
обязателен
конденсатоотводчики
обязателен
0
0,5
1
1,5
2
2,5
3
3,5
4
4,5
5
5,5
6
6,5
7
7,5
8
8,5
9
9,5
10
10,5
11
11,5
12
12,5
13
-30
-25
-20
-15
-10
-5
0
5
10
15
20
25
30
Длина
дымоо
тв
од
а
/
во
здух
ов
од
а
(
м
)
конденсатоотводчик
не
обязателен
конденсатоотводчик
обязателен
Длина
дымоо
тв
од
а
/
во
здух
ов
од
а
(
м
)
конденсатоотводчик
обязателен
конденсатоотводчик
не
обязателен
Характеристики
Остались вопросы?Не нашли свой ответ в руководстве или возникли другие проблемы? Задайте свой вопрос в форме ниже с подробным описанием вашей ситуации, чтобы другие люди и специалисты смогли дать на него ответ. Если вы знаете как решить проблему другого человека, пожалуйста, подскажите ему :)
