Котел AEG GBA 228 - инструкция пользователя по применению, эксплуатации и установке на русском языке. Мы надеемся, она поможет вам решить возникшие у вас вопросы при эксплуатации техники.
Если остались вопросы, задайте их в комментариях после инструкции.
"Загружаем инструкцию", означает, что нужно подождать пока файл загрузится и можно будет его читать онлайн. Некоторые инструкции очень большие и время их появления зависит от вашей скорости интернета.

ИНСТРУКЦИЯ ПО УСТАНОВКЕ
7
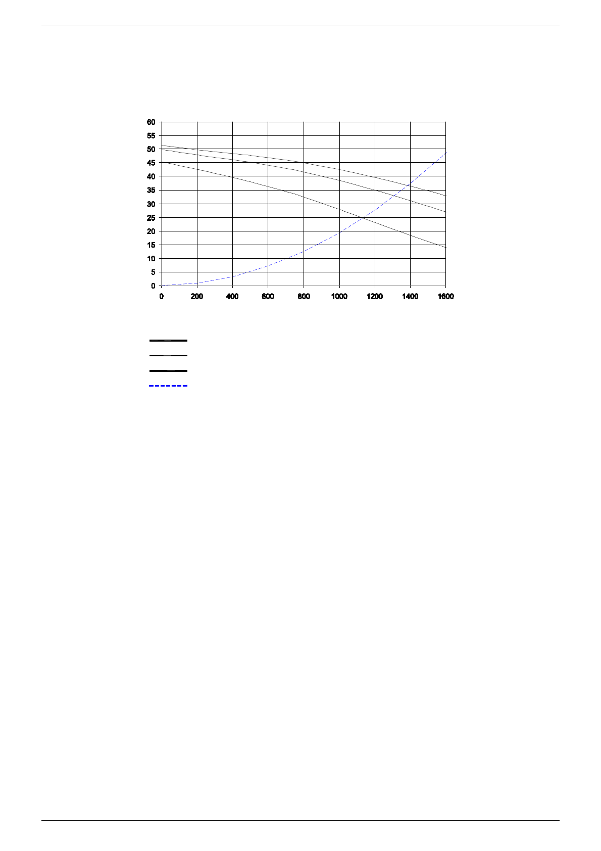
2.4
График
напора
/
потока
циркуляционного
насоса
III
II
I
II
I
III
Н
а
п
о
р
(
кП
а
)
Напор
насоса
при
максимальной
скорости
Напор
насоса
при
максимальной
II
Напор
насоса
при
максимальной
I
Выход
прибора
из
строя
Поток
л
/
ч
Содержание
- 3 Техническое; уполномоченный
- 4 ОБЩАЯ; Общие
- 6 Соответствие; STIEBEL ELTRON AEG; CE; Stiebel Eltron AEG
- 7 ТЕХНИЧЕСКИЕ; Технические
- 8 Размеры
- 9 Внутренние; УСЛОВНЫЕ
- 10 График
- 11 Гидравлическая
- 12 Печатная; Панель
- 13 УСТАНОВКА; IPX4D
- 14 Распаковка; Stiebel
- 15 Установка
- 16 Гидравлические; HWO
- 17 Подключение
- 18 Электрические; Stiebel Eltron AEG.
- 19 Ta; Рис
- 20 Монтаж
- 21 ВВОД; Предварительные
- 22 Заполнение; bar
- 23 Промывка
- 24 Запуск; W INTER
- 25 НАСТРОЙКА; Таблица
- 26 Настройка
- 27 ВЫКЛ
- 31 Регулировка; см; минимального
- 33 Данные; ть
- 34 ТЕХНИЧЕСКОЕ
- 35 Доступ
- 36 Слив; системы; Сброс
- 37 Монтажные
- 38 Пример; Датчик
- 39 TA–TA
- 40 код; тр
- 41 ко
- 42 ПРИМЕЧАНИЕ; Tm
- 44 Диагностика; Коды; Код
- 45 Список; Основные; КОД; SIT
- 48 Почувствовав; Органы
- 49 Нажмите; Управление
- 50 Подпитка
- 51 Обезопасьте












