Кондиционеры Lessar LS-HE55DOA4/LU-HE55UMA4 - инструкция пользователя по применению, эксплуатации и установке на русском языке. Мы надеемся, она поможет вам решить возникшие у вас вопросы при эксплуатации техники.
Если остались вопросы, задайте их в комментариях после инструкции.
"Загружаем инструкцию", означает, что нужно подождать пока файл загрузится и можно будет его читать онлайн. Некоторые инструкции очень большие и время их появления зависит от вашей скорости интернета.

48
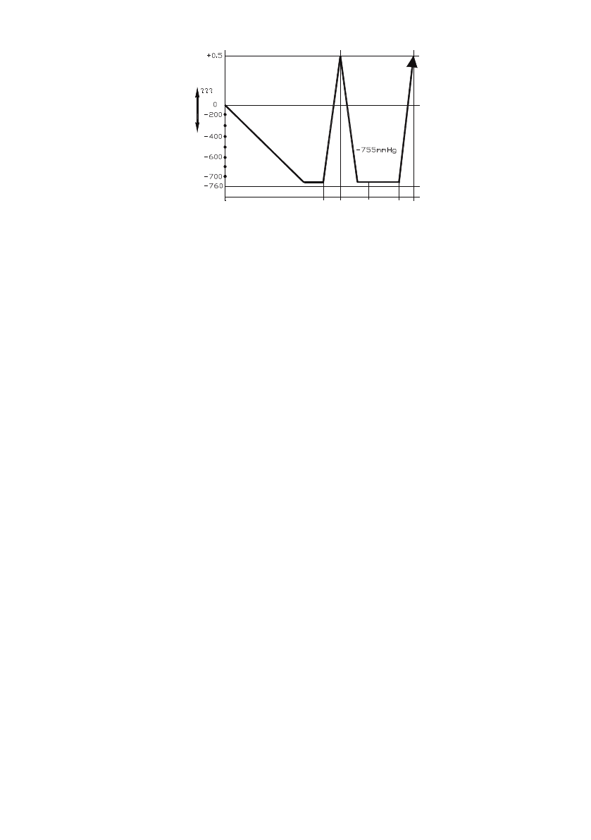
Атмосферное давление
Вакуум
Вакуумная сушка (2 часа)
Тест (1 час)
Добавление хладагента
Добавление азота
Вакуумная сушка (1 час)
Пожалуйста, обратите внимание на следующие моменты. Это важно!
Внимание!
Любая пайка трубопроводов при работе с R410A должна осуществляться
только под азотом! Пайка в воздушной среде запрещена, так как оборудование может
выйти из строя из-за образования окалины на внутренних частях трубопровода!
Внимание!
R410A — негорючий газ; при соприкосновении с пламенем или горячими по
-
верхностями разлагается с образованием высокотоксичных продуктов. Контакт с не
-
которыми активными металлами при определенных условиях (например, при высоких
температурах и/или давлении) может привести к взрыву или возгоранию. Строго со
-
блюдайте правила техники безопасности при работе с хладагентом!
Внимание!
Дозаправка хладагентом должна осуществляться только в жидкой фазе! За
-
правка газом может привезти к выходу оборудования из строя, так как хладагент R410A
является двойной квазиазеотропной смесью гидрофторуглеродов R32 и R125, и заправ
-
ка газом может привести к разбалансировке состава смеси.
Пожалуйста, помните, что сервисные штуцеры на оборудовании с R410A имеют
увеличенный диаметр и требуют специальных шлангов либо переходников для ра
-
боты!
При поиске утечек хладагента R410A бесполезно и небезопасно использовать газо
-
пламенную горелку (течеискатель на основе горения пропана)!
Используйте аппа
-
ратный комплекс для поиска утечек с насадками под нужный газ!
При длине трубопроводов более 5 метров в одну сторону добавьте хладагент
в систему.
Запишите количество заправленного хладагента в инструкцию для дальнейшего
сервисного обслуживания.
Содержание
- 3 Меры предосторожности; Во время эксплуатации
- 5 Правила электробезопасности
- 6 Назначение и принцип работы; осуществляется электронным блоком управления.; Принцип работы кондиционера в режиме охлаждения; работать на охлаждение при низких температурах.; Функция защиты от обмерзания; электромотор, вентилятор, электронный блок
- 7 Принцип работы кондиционера в режиме обогрева; зуйте другие способы обогрева, например, масляный обогреватель.; Принцип работы системы оттаивания кондиционера в режиме
- 8 Спецификация
- 9 Пульт управления LZ-UPW4F; Дисплей; произойдет переключение на режим AUTO.
- 10 Кнопки пульта управления LZ-UPW4F
- 11 Управление кондиционером; Запуск кондиционера; В режиме вентиляции настройка температуры невозможна.
- 12 Режим AUTO; Примечание; В режиме «Авто» выбор скорости работы вентилятора осуществляется; Выбор скорости работы вентилятора; Примечания; Включение функции «Follow Me»; Дополнительный электрический нагреватель является опцией.; Настройка температуры; на в режиме вентиляции.; Настройка таймера; TIMER OFF] для установки времени выключения.
- 13 Функции блокировки и сброса настроек; ра установится на 24 °С.
- 14 Подготовка к эксплуатации; Перед запуском кондиционера проверьте следующие вещи:; Провод заземления подключен правильно и надежно?; Включение питания
- 15 Рекомендации по эксплуатации; Если вы долго не будете пользоваться кондиционером; Перед тем, как на длительное время отключить кондиционер; Перед тем, как включить кондиционер после длительного перерыва; Уход за кондиционером; Очистка внутреннего блока
- 16 Очистка воздушного фильтра; Установите сетку фильтра и воздухозаборную решетку.
- 17 Очистка наружного блока; обслуживание авторизованными специалистами.; дорогостоящих деталей кондиционера!
- 18 Перед обращением в сервисный центр; онера, отключите электропитание и обратитесь в сервисный центр.; (вынули штепсель из розетки) и через 5 –10 секунд включили его снова.
- 19 Ситуации не связанные с неисправностью кондиционера; Режим «Обогрев» только что включился.
- 21 Комплектность сплит-системы
- 22 Рабочая температура; Держите двери и окна в помещении закрытыми.
- 23 Габаритные размеры; Внутренние блоки
- 26 Порядок монтажа сплит-системы
- 27 шее обслуживание наружного блока.; При установке на крышу; предусмотрите маслоподъемные петли через каждые 6 метров.; Установка ветрозащитного экрана; Правильно
- 28 Установка внутреннего блока; Пространство для установки; По подготовке потолка проконсультируйтесь со строителями.; Сервисное пространство; ния работ по сервисному обслуживанию оборудования.; Установка блока; Деревянная конструкция
- 29 Изменение расположения отверстия для забора воздуха; с фланца фильтра и с боковых направляющих.
- 30 выходного отверстия для воздуха, задвиньте внутрь и вверх.
- 31 Подсоединение воздуховодов; нормами и стандартами.
- 32 Установка наружного блока; мальные условия работы блока.; Неправильно; Сервисное пространство для наружного блока
- 33 Шаг болтов; Перемещение и установка
- 34 Слив конденсата с наружного блока; Порт для слива
- 35 Установка трубопровода отвода конденсата; Наружный диаметр патрубка для слива конденсата
- 36 на 75 мм, он не должен находиться в воде.; трубы, как показано на следующем рисунке.; Проверка дренажа; проверку необходимо выполнить до зашивки потолка.
- 37 Гибкий шланг
- 38 Монтаж линии хладагента; туре. Это может привести к взрыву и травмам.; Диаметры трубопроводов; наружный блок заправлен на заводе из расчета длины трубы не более; Маслоподьемные петли; Если внутренний блок установлен выше наружного блока:; вом трубопроводе могут предотвратить это.
- 39 Если наружный блок установлен выше внутреннего блока:; Основные требования к монтажу фреонопровода
- 40 Защитные меры при монтаже; Не кладите трубу прямо на землю или грязную поверхность.
- 41 Подготовка трубы; Аккуратно и качественно выполняйте подготовку труб.; Гибка труб; Примечания по гибке труб
- 42 Развальцовка труб; Медная труба; Отрежьте кромку трубы труборезом.
- 43 был установлен на расстоянии «А».
- 44 Подключение труб; При затяжке трубопроводов используйте два гаечных ключа.; Изоляция трубопроводов; Изоляционный материал
- 45 Изоляция фреонопровода; быть теплоизолированы.; Изоляция мест соединений труб; ции может привести к образованию конденсата.; Изоляция трубопровода отвода конденсата; сти трубы может образовываться конденсат.
- 46 Вакуумирование и проверка на утечку; пенчатым вакуумным насосом!; Назначение вакуумной сушки; привести к выходу из строя системы.; Порядок работы вакуумирования; — применяется при первом монтаже новой системы и при усло-; Специальная вакуумная сушка; Обычное вакуумирование
- 48 Пожалуйста, обратите внимание на следующие моменты. Это важно!; блюдайте правила техники безопасности при работе с хладагентом!
- 49 Дозаправка хладагента; вляется из расчета соединительной трубы равной 5 м.; Хладагент следует заправлять в жидком состоянии.
- 50 Процедура проверки; ки. Точки проверки обозначены на рисунке ниже.
- 51 Электрические соединения; Перед выполнение каких-либо электрических работ
- 52 Схемы подключения; Подключение электропитания к наружному блоку; чтобы снять защитную панель.
- 53 Правила безопасности; ключению до решения всех проблем.
- 54 Подключение пульта управления; Подцепите отверткой крышку пульта ДУ и снимите ее.; Установка на стену; ветствующую середине верхней кромки пульта ДУ.
- 56 Пусконаладка; ние на протяжении 3 минут после отключения.
- 57 Регламентное техническое обслуживание; Регламент технического обслуживания; Чистка теплообменника внутреннего блока.; в гарантийном талоне!
- 59 Кривые расходов воздуха
- 63 ПЛАТА УПРАВЛЕНИЯ
- 65 Класс энергоэффективности оборудования; Дата производства оборудования