Кондиционеры Haier HSU-12HTM103/R3(DB) - инструкция пользователя по применению, эксплуатации и установке на русском языке. Мы надеемся, она поможет вам решить возникшие у вас вопросы при эксплуатации техники.
Если остались вопросы, задайте их в комментариях после инструкции.
"Загружаем инструкцию", означает, что нужно подождать пока файл загрузится и можно будет его читать онлайн. Некоторые инструкции очень большие и время их появления зависит от вашей скорости интернета.
Загружаем инструкцию

.
.
.
.
.
1° .
2°
.
6
.
СОН
СОН
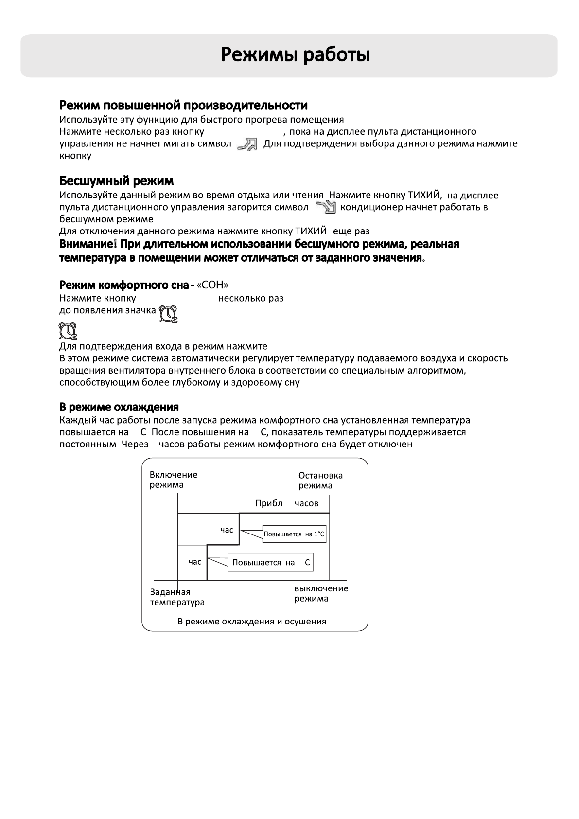
.6
1°
1
1
9
ДОПОЛН. ФУНКЦИИ
ПОДТВ./ВЫХОД.
ДОПОЛН. ФУНКЦИИ
значок будет отображаться мигающим.
ПОДТВ./ВЫХОД.
Содержание
- 3 Рисунок приведен только для наглядности, внешний вид
- 4 Кнопки; управления; ЗДОРОВЬЕ; ТИХИЙ; Установка батареек питания; Закройте крышкой секцию батареек питания.; ВЫХОД
- 5 ТЕПЛО; от
- 6 BLANK; Таймер включения/выключения; Отмена установок таймера
- 7 успешный пуск функции самоочистки; Нажмите кнопку , затем кнопку ,символ; Функция «Здоровье»
- 10 вентиляции режим комфортного сна недоступен.
- 11 Монтаж внутреннего блока; Кондиционер предназначен для работы на; более; более; Необходимые инструменты и
- 14 Уход за кондиционером; Для правильного и эффективного использования кондиционера; Замена дополнительного (опционального) воздушного фильтра
- 15 Меры безопасности; ВНИМАНИЕ; OFF; ПРЕДУПРЕЖДЕНИЕ
- 16 Нижеперечисленные ситуации не требуют обраще
- 17 Храните данное; Предостережения при монтаже наружного блока; менее 3 м
- 19 кг; кг; Меры безопасности при погрузочно-разгрузочных работах,; Безопасность выполнения погрузочно-разгрузочных работ; Инструкции по технике безопасности при монтаже; Меры безопасности при хранении
- 21 Требования к электробезопасности; Требования к квалификации монтажников; Монтаж наружного блока
- 22 Вакуумирование
- 23 Перемещение блока на другую монтажную позицию; Инструкции по обслуживанию; Меры предосторожности при сервисном обслуживании; Требования к квалификации специалистов Сервисной службы
- 24 Проверка зоны обслуживания; Требования к зоне обслуживания; Методы обнаружения утечек
- 25 Инструкции по безопасности; Техническое обслуживание компонентов; Требования к техническому обслуживанию
- 26 Эвакуация и вакуумирование; Пайка; Процедура заправки хладагента; Утилизация и сдача в отходы
- 27 Регенерация хладагента
- 28 Монтажная схема соединения наружного и внутреннего блоков
- 29 Инструкции по технике безопасности; ВНИМАНИЕ!; персонала.
- 31 Проверки перед выполнением монтажа блока
- 32 Перед выполнением тестирования
- 33 Информация, необходимая для ознакомления перед началом монтажа; Необходимые проверки
- 34 Спецификация труб; Тип используемых медных труб (справочная информация); Макс. рабочее давление; Материал труб / толщина стенки трубы; региональным техническим требованиям.; Накидная гайка; Размер B
- 35 Проверка трубопровода хладагента на герметичность; Вакуумный насос с обратным клапаном; Заправка хладагента
- 36 Модель; Установочные размеры; Выбор места установки наружного блока; Монтажные и сервисные зазоры; Монтаж наружного блока
- 37 Монтаж соединительного трубопровода; Диаметр и толщина труб соединительного трубопровода; Чрезмерное усилие затяжки при отсутствии центровки может
- 39 Вакуумирование выполняется с помощью вакуумного насоса.; коллектора, к вакуумному насосу
- 40 Требования при проведении электромонтажных работ; может привести к выходу оборудования из строя.; Электроподключение
- 41 Диагностика неисправностей наружного блока; должен быть включен заранее.
- 42 INVERTOR; TIBIO INVERTOR; Технические характеристики












