Кондиционеры Haier AS12NM6HRA/1U12BR4ERA - инструкция пользователя по применению, эксплуатации и установке на русском языке. Мы надеемся, она поможет вам решить возникшие у вас вопросы при эксплуатации техники.
Если остались вопросы, задайте их в комментариях после инструкции.
"Загружаем инструкцию", означает, что нужно подождать пока файл загрузится и можно будет его читать онлайн. Некоторые инструкции очень большие и время их появления зависит от вашей скорости интернета.
Загружаем инструкцию

.
.
.
.
.
!
.
.
.
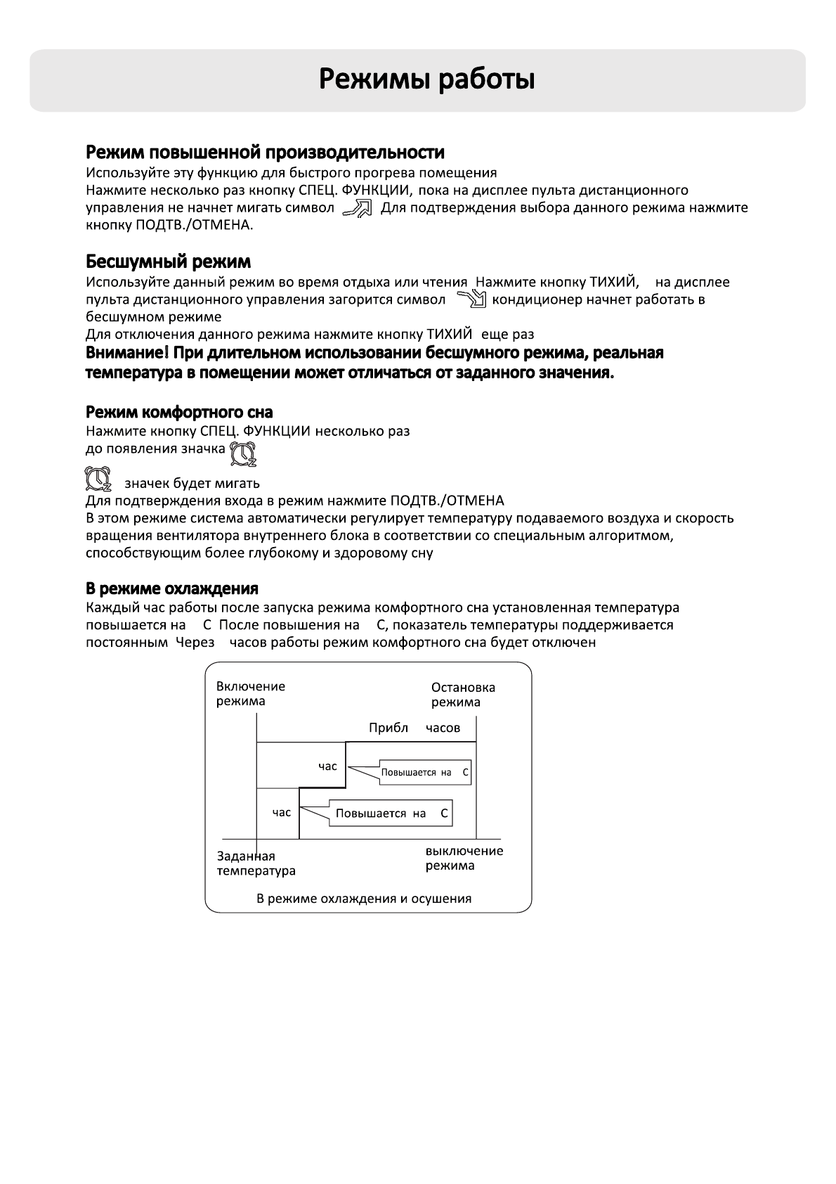
1° .
2°
.
6
.
- «
СОН»
SLEEP
SLEEP
. 6
1°
1°
1
1
14
Содержание
- 7 Индикатор режима работы; FAMILY
- 8 , а также подмес свежего; HEALTH; Кнопка; Кнопка
- 9 подмеса свежего
- 11 ХОЛОД; SWING; АВТО ХОЛОД ОСУШ ТЕПЛО ВЕНТ; ТЕПЛО
- 12 BLANK; TIMER; тобы запустить функцию беспроводной привязки блока; (проверяйте наличии этой опции для вашей модели); Название программы в будущем может быть изменено.
- 13 Нажмите кнопку
- 27 INVERTOR
- 29 TIBIO INVERTOR
- 30 AAA