Компрессоры Aurora Wind 25 - инструкция пользователя по применению, эксплуатации и установке на русском языке. Мы надеемся, она поможет вам решить возникшие у вас вопросы при эксплуатации техники.
Если остались вопросы, задайте их в комментариях после инструкции.
"Загружаем инструкцию", означает, что нужно подождать пока файл загрузится и можно будет его читать онлайн. Некоторые инструкции очень большие и время их появления зависит от вашей скорости интернета.

____________________________________________________________________________________
19
Обратите внимание, что по мере роста давления падает производительность компрессора на
выходе. Например, если заявленная
теоретическая
производительность на входе составляет 400
литров в минуту, то при рабочем давлении на выходе 6 бар, в общем случае, примерная
производительность на выходе будет составлять 50% от значения на входе. Учитывайте это при
расчете подбора
пневмооборудования.
Рекомендации по воздушной магистрали.
При построении воздушной магистрали важно учитывать диаметр и длину, чтобы правильно
рассчитать давление, которое подаётся на рабочий инструмент. Для минимизации падения
давления и пропускной способности рекомендуется использовать воздушный трубопровод без
уменьшения пропускного сечения по всей длине для минимизации падения давления и пропускной
способности.
При использовании гибких рукавов следует учесть, что падение давления в витых
шлангах существенно выше.
Чем меньше диаметр магистрали и больше длина, тем больше падение давления воздуха на
выходе по отношению к давлению на входе. Поэтому, если использовать
слишком длинный и/или
слишком тонкий шланг,
то инструменту может не хватить воздуха. В качестве примера такая
проблема часто встречается с окрасочными пистолетами, особенно системы HVLP. Для примера,
если сравнить два участка трубопровода одинаковой длины
с разными диаметрами, например 1/2"
и 3/4", то в «полудюймовой» трубе падение давления будет выше.
Также необходимо учесть, что падение давления происходит на каждом участке, где есть
дополнительные местные сопротивления: запорная арматура, уголки, тройники, различные
фитинги
и т.п. Падение давления происходит и в оборудовании для подготовки воздуха: при
прохождении через осушитель
-
на 0.2 бар, при прохождении каждого микрофильтра
-
на 0.1~0.15
бар, причем по мере загрязнения фильтрующего элемента падение
давления увеличивается.
При выборе максимального рабочего давления следует учитывать все особенности конструкции
пневматической магистрали и комплектность оборудования для подготовки воздуха.
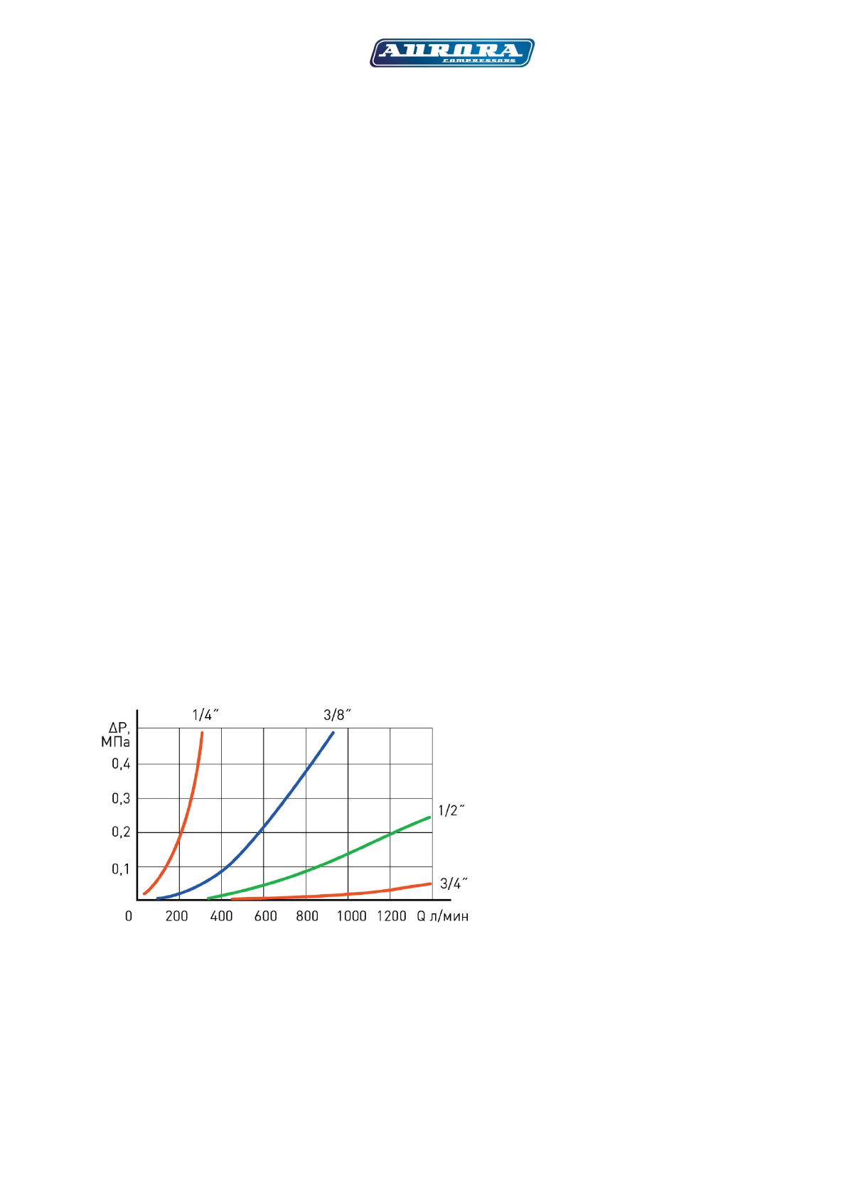
График иллюстрирует
зависимость падения давления в магистрали при разной производительности
компрессора. Четыре кривые иллюстрируют падение давления для гладких труб диаметром 1/4',
3/8', 1/2' и 3/4'. Расчеты приведены для трубы круглого сечения длиной 10
метров.
Ежедневное
обслуживание
Контролируйте уровень масла перед каждым запуском.
Проверяйте нет ли утечки воздуха в соединениях воздухопроводов.
Содержание
- 3 СОДЕРЖАНИЕ
- 5 ВВЕДЕНИЕ
- 6 ПРАВИЛА БЕЗОПАСНОСТИ
- 7 КАТЕГОРИЧЕСКИ ЗАПРЯЩАЕТСЯ!
- 8 ОБЩИЙ ВИД И ОСНОВНЫЕ КОМПОНЕНТЫ; Модель AIR
- 10 ТЕХНИЧЕСКИЕ ХАРАКТЕРИСТИКИ; Модель; – Wind
- 11 КОМПЛЕКТАЦИЯ; список
- 13 Компрессорное масло
- 14 ЭКСПЛУАТАЦИЯ; Реле давления
- 15 Замена масла
- 17 Подключение инструмента
- 18 Пневмоинструмент
- 20 Периодическое техническое обслуживание; * Подробное описание процедуры замены масла указано в пункте; Транспортировка и хранение
- 21 НЕПОЛАДКИ И ИХ УСТРАНЕНИЕ
- 22 ГАРАНТИИ ПРОИЗВОДИТЕЛЯ
- 24 Расшифровка деталировки AIR 25
- 26 Расшифровка деталировки моделей WIND
- 28 Расшифровка деталировки моделей GALE
- 29 ДЛЯ ЗАМЕТОК
Характеристики
Остались вопросы?Не нашли свой ответ в руководстве или возникли другие проблемы? Задайте свой вопрос в форме ниже с подробным описанием вашей ситуации, чтобы другие люди и специалисты смогли дать на него ответ. Если вы знаете как решить проблему другого человека, пожалуйста, подскажите ему :)