Компрессоры Aurora STORM-100 TURBO - инструкция пользователя по применению, эксплуатации и установке на русском языке. Мы надеемся, она поможет вам решить возникшие у вас вопросы при эксплуатации техники.
Если остались вопросы, задайте их в комментариях после инструкции.
"Загружаем инструкцию", означает, что нужно подождать пока файл загрузится и можно будет его читать онлайн. Некоторые инструкции очень большие и время их появления зависит от вашей скорости интернета.

______________________________________________________________________________________
_
18
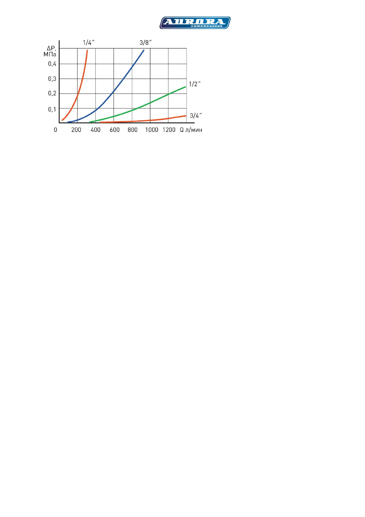
График иллюстрирует зависимость падения давления в магистрали при разной производительности
компрессора. Четыре кривые иллюстрируют падение давления для гладких труб диаметром 1/4',
3/8', 1/2' и 3/4'. Расчеты приведены для трубы круглого сечения длиной 10 метров.
Ежедневное обслуживание
Контролируйте уровень масла перед каждым запуском.
Проверяйте нет ли утечки воздуха в соединениях воздухопроводов.
Очищайте компрессор от грязи и пыли. Пользуйтесь только хлопчатобумажной ветошью.
Сливайте конденсат из ресивера в конце работы.
Транспортировка и хранение
Транспортировка, хранение и эксплуатация компрессора должна осуществляться ТОЛЬКО в
вертикальном положении.
Угол отклонения от вертикали в любом случае не должен быть больше 15°C.
Компрессор следует хранить в закрытых помещениях при температуре от + 5°C до + 50°C и
относительной влажности воздуха 80%.
Содержание пыли, паров кислот и щелочей, агрессивных газов и других вредных
примесей в помещениях, где хранится ресивер, не должно превышать содержание
коррозионно-активных агентов для атмосферы I по ГОСТ 15150.
При длительном хранении рекомендуется использовать оригинальную упаковку.
Содержание
- 3 СОДЕРЖАНИЕ
- 4 ВВЕДЕНИЕ; AURORA TURBO active series
- 5 ПРАВИЛА БЕЗОПАСНОСТИ
- 6 КАТЕГОРИЧЕСКИ ЗАПРЯЩАЕТСЯ!
- 7 ОБЩИЙ ВИД И ОСНОВНЫЕ КОМПОНЕНТЫ
- 8 ТЕХНИЧЕСКИЕ ХАРАКТЕРИСТИКИ; Модель
- 9 КОМПЛЕКТАЦИЯ
- 10 ПОДГОТОВКА К ЗАПУСКУ; Компрессорное масло
- 12 ЭКСПЛУАТАЦИЯ; Реле давления
- 14 Проверка натяжения ремней привода
- 15 Тепловая защита
- 16 Производительность компрессора и подключение инструмента; Пневмоинструмент
- 17 Рекомендации по воздушной магистрали.
- 18 Ежедневное обслуживание; Транспортировка и хранение
- 19 НЕПОЛАДКИ И ИХ УСТРАНЕНИЕ *
- 20 ГАРАНТИИ ПРОИЗВОДИТЕЛЯ
Характеристики
Остались вопросы?Не нашли свой ответ в руководстве или возникли другие проблемы? Задайте свой вопрос в форме ниже с подробным описанием вашей ситуации, чтобы другие люди и специалисты смогли дать на него ответ. Если вы знаете как решить проблему другого человека, пожалуйста, подскажите ему :)