Кофемашина Nuova Simonelli Appia II Compact 2 Gr S - инструкция пользователя по применению, эксплуатации и установке на русском языке. Мы надеемся, она поможет вам решить возникшие у вас вопросы при эксплуатации техники.
Если остались вопросы, задайте их в комментариях после инструкции.
"Загружаем инструкцию", означает, что нужно подождать пока файл загрузится и можно будет его читать онлайн. Некоторые инструкции очень большие и время их появления зависит от вашей скорости интернета.

Выньте фильтродержатель со слепым фильтром и сделайте
несколько проливов без него.
Промойте слепой фильтр чистой водой, чтобы удалить
остатки чистящего порошка. Вставьте слепой фильтр обратно
в группу и повторите проливы кофе по 10 секунд с паузой.
Снимите фильтродержатели и сделайте несколько проливов
через группы, чтобы удалить частички чистящего средства.
8.5
Чистка фильтров и фильтродержателей.
Чтобы почистить фильтры, растворите 2 столовые ложки
специального чистящего средства в половине литра горячей
воды и погрузите в него фильтры (пластиковые ручки не
должны находиться в растворе) и оставьте отмыкать на 10-15
минут. Затем тщательно промойте чистой водой.
8.6
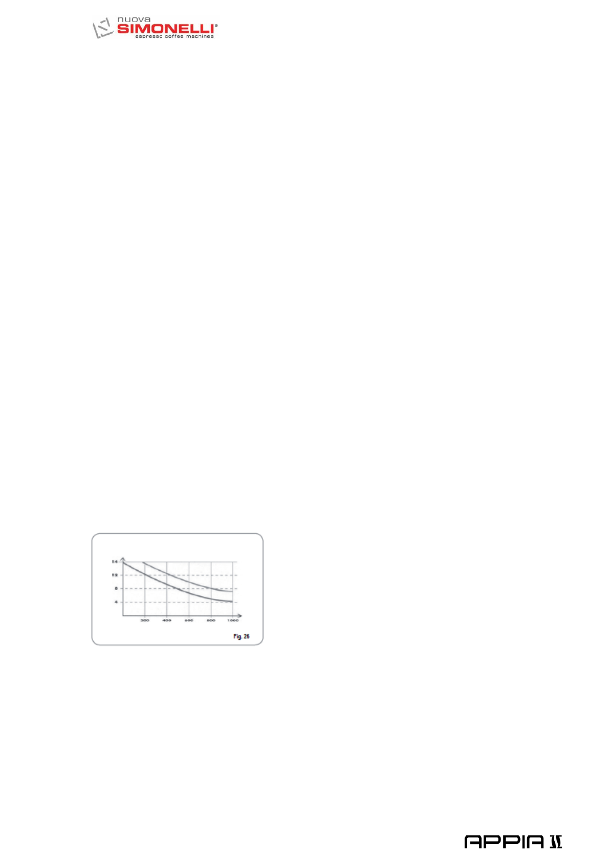
Регенерация смягчителя водопроводной воды.
Чтобы избежать отложений накипи внутри бойлера и на
нагревательных элементах необходимо, чтобы смягчитель
воды всегда работал эффективно. Поэтому ионная смола в
нем должна регулярно регенерироваться. Время регенерации
устанавливается в зависимости от количества проливов кофе
в день и жесткости используемой воды. Это видно на
диаграмме на данном рисунке:
Процедура регенерации выполняется следующим образом:
1)
Выключите кофемашину и поставьте емкость (не менее
5 литров) под трубку E. Поверните кран С и D слева
направо. Открутите винт, снимите крышку и насыпьте
внутрь 1кг обычной столовой соли.
Характеристики
Остались вопросы?Не нашли свой ответ в руководстве или возникли другие проблемы? Задайте свой вопрос в форме ниже с подробным описанием вашей ситуации, чтобы другие люди и специалисты смогли дать на него ответ. Если вы знаете как решить проблему другого человека, пожалуйста, подскажите ему :)