Измерительные приборы Fluke 805 - инструкция пользователя по применению, эксплуатации и установке на русском языке. Мы надеемся, она поможет вам решить возникшие у вас вопросы при эксплуатации техники.
Если остались вопросы, задайте их в комментариях после инструкции.
"Загружаем инструкцию", означает, что нужно подождать пока файл загрузится и можно будет его читать онлайн. Некоторые инструкции очень большие и время их появления зависит от вашей скорости интернета.

805/805 FC
Руководство
пользователя
18
Crest Factor + (
Высокочастотное
измерение
)
Амплитудный
фактор
—
это
соотношение
пикового
значения
к
среднеквадратическому
значению
сигнала
вибрации
в
течение
интервала
времени
.
Специалисты
,
выполняющие
анализ
вибраций
,
используют
это
отношение
для
обнаружения
неисправностей
в
подшипниках
.
Однако
,
метод
амплитудного
фактора
имеет
существенное
ограничение
.
Амплитудный
фактор
возрастает
во
время
начального
ухудшения
характеристик
подшипника
,
когда
растет
пиковое
значение
.
Затем
,
по
мере
прогрессирования
повреждения
подшипника
,
он
уменьшается
,
и
возрастает
среднеквадратическое
значение
.
Низкое
значение
амплитудного
фактора
может
соответствовать
подшипнику
в
хорошем
состоянии
или
значительно
поврежденному
подшипнику
.
Трудность
заключается
в
том
,
чтобы
увидеть
разницу
между
этими
двумя
состояниями
.
Для
преодоления
данного
ограничения
Измеритель
использует
свой
уникальный
алгоритм
, Crest Factor +
(CF+).
Для
упрощения
прочтения
результатов
значение
CF+
отображает
диапазон
жесткости
.
Чем
выше
значение
CF+,
тем
больше
повреждение
подшипника
.
В
таблице
5
показано
соотношение
между
значениями
CF+
и
жесткостью
вибрации
.
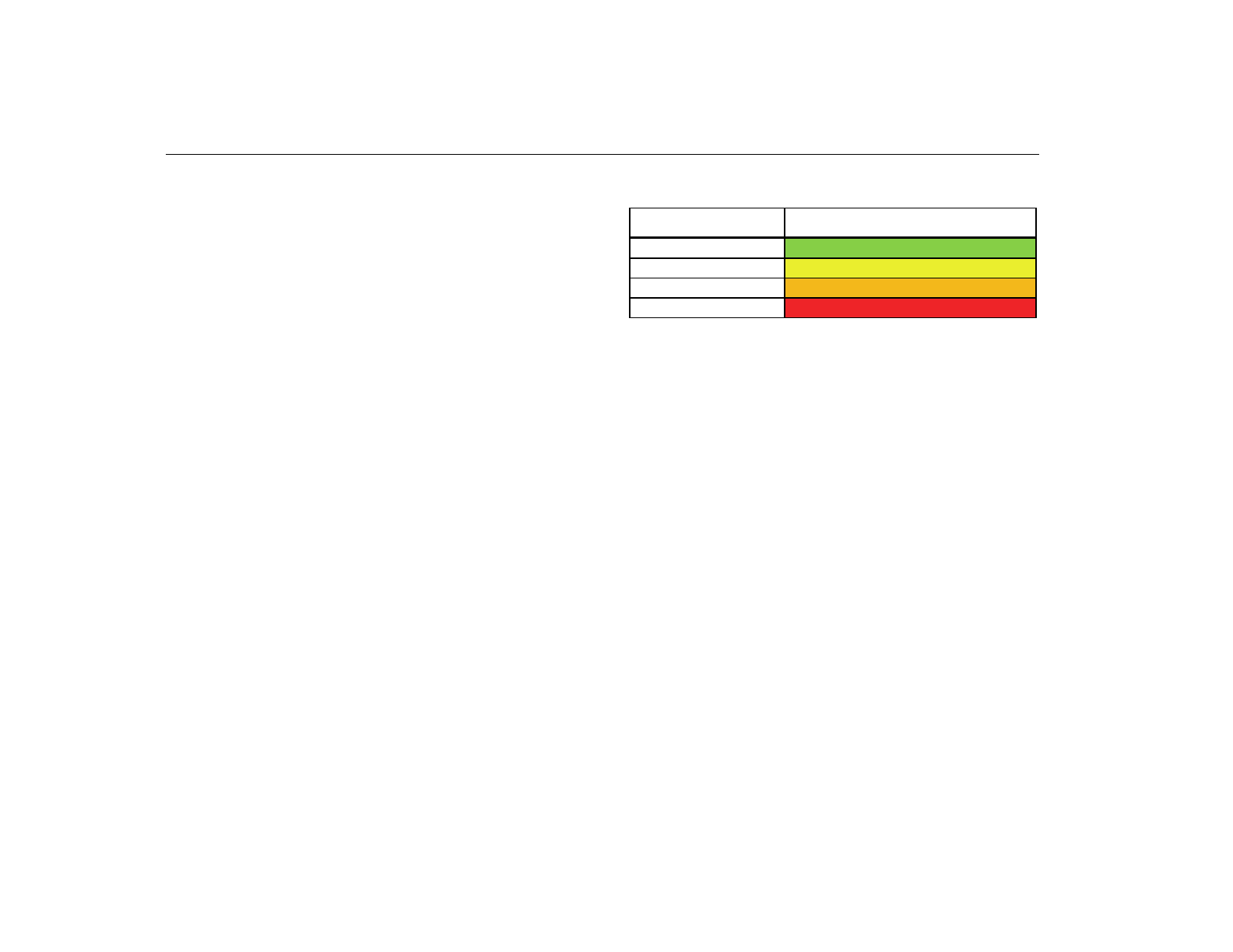
Таблица
5. Crest Factor+
CF+
Жесткость
вибрации
от
1
до
5
Хорошо
От
6
до
10
Удовлетворительно
от
11
до
15
Неудовлетворительно
выше
15
Неприемлемо
Значение
CF+
отображается
для
каждого
измерения
в
поле
Подшипник
на
дисплее
Измерителя
.
Нажмите
и
для
переключения
между
значением
CF+
и
уровнем
высокочастотных
вибраций
в
единицах
измерения
ускорения
.
Содержание
- 3 Содержание; Название
- 4 ii
- 5 Vibration Meter; iii
- 7 Таблица
- 9 vii; Список; Рисунке
- 11 Введение; MS; Как; Fluke
- 12 Информация
- 13 Символы; Дополнительные; PN; Технические
- 15 Перед; Распаковка; При
- 16 Органы
- 17 Светодиодный
- 18 Yes
- 19 Навигация; Setup; Настройки
- 20 Единицы; Время; am
- 23 Device Settings; USB
- 24 — SMB (Subminiature
- 25 Аудио; Рис
- 27 Об; Дисплей
- 28 Высокочастотное
- 29 Быстрое
- 31 Категория
- 32 Создание; Create NEW Setup
- 33 RPM; Диапазон
- 34 Добавить; Подключение
- 35 Автосохранение
- 37 View
- 38 Просмотр; View ALL Data
- 39 Доступ; Edit Setups
- 40 Стереть; Clear ALL Data
- 41 Интерпретация; Шкала
- 42 Стандарты; Тенденции; Экспорт; Excel; Ключевые; Класс
- 44 Microsoft Excel
- 47 Общее; Меры
- 49 Обновление

