Ikea OV A01 S- Инструкция по эксплуатации

Ikea OV A01 S

Ikea OV A01 S- инструкция пользователя по применению, эксплуатации и установке на русском языке. Мы надеемся, она поможет вам решить возникшие у вас вопросы при эксплуатации техники.

Если остались дополнительные вопросы — свяжитесь с нами через контактную форму.

1 Страница 1
2 Страница 2
3 Страница 3
4 Страница 4
5 Страница 5
6 Страница 6
7 Страница 7
8 Страница 8
9 Страница 9
10 Страница 10
11 Страница 11
12 Страница 12
13 Страница 13
14 Страница 14
15 Страница 15
16 Страница 16
17 Страница 17
18 Страница 18
19 Страница 19
20 Страница 20
21 Страница 21
22 Страница 22
23 Страница 23
24 Страница 24
Страница: / 24

Содержание:

  • Страница 5 – РУССКИЙ; Утилизация старых электробытовых
  • Страница 6 – Принадлежности
  • Страница 7 – Использование духовки; Повседневная эксплуатация
  • Страница 9 – Блюдо
  • Страница 12 – Снятие дверцы
  • Страница 13 – Неисправность
  • Страница 15 – Подготовка мебели к установке; Установка
  • Страница 16 – Устройство блокировки дверцы; снабженную устройством блокировки
  • Страница 17 – Утилизация упаковочных материалов; Рекомендации по охране окружающей среды
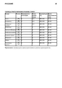
  • Страница 19 – РУCCКИЙ
Загрузка инструкции

FRAMTID

OV 3

PL

RU

TR

SK

"Загрузка инструкции" означает, что нужно подождать пока файл загрузится и можно будет его читать онлайн. Некоторые инструкции очень большие и время их появления зависит от вашей скорости интернета.

Краткое содержание

Страница 5 - РУССКИЙ; Утилизация старых электробытовых

РУССКИЙ 36 других целей (например, для обогрева помещения). Изготовитель снимает с себя всякую ответственность в случае ненадлежащего использования прибора или неправильной настройки органов управления. - Не разрешается использование данного прибора лицами (включая детей) со сниженными физическими, ...

Страница 6 - Принадлежности

РУССКИЙ 37 Описание изделия 1 Панель управления 2 Охлаждающий вентилятор (не виден) 3 Верхний нагревательный элемент 4 Нагревательный элемент гриля 5 Задняя лампочка освещения духовки 6 Вентилятор духовки 7 Нижний нагревательный элемент 8 Дверца духовки Принадлежности Противень для выпечки 1x Решетк...

Страница 7 - Использование духовки; Повседневная эксплуатация

РУССКИЙ 38 A B C D Панель управления Использование духовки • Поверните ручку выбора режима в положение, соответствующее нужному режиму. При этом загорится лампочка освещения духовки. • Поверните ручку термостата по часовой стрелке на нужную температуру. При этом загорится красный светодиодный индика...

Характеристики

Другие модели - Ikea

Все другое Ikea